Skip to ContentGo to accessibility pageKeyboard shortcuts menu
OpenStax Logo
Organic Chemistry

Additional Problems

Organic ChemistryAdditional Problems
Search for key terms or text.

8 • Additional Problems

8 • Additional Problems

Visualizing Chemistry

Problem 8-22
Name the following alkenes, and predict the products of their reaction with (1) meta-chloroperoxybenzoic acid, (2) KMnO4 in aqueous acid, (3) O3, followed by Zn in acetic acid:
(a)
The ball-and-stick model has a 7-carbon chain. C2 is bonded to a methyl group and double bonded to C3. C5 is bonded to a methyl group.
(b)
The ball-and-stick model has a cyclopentene ring. C3 is bonded to two methyl groups.
Problem 8-23
Draw the structures of alkenes that would yield the following alcohols on hydration (red = O). Tell in each case whether you would use hydroboration–oxidation or oxymercuration–demercuration.
(a)
The ball-and-stick model has a 5-carbon chain. C2 is bonded to a methyl group. C3 is bonded to a hydroxyl group and a methyl group. The red sphere denotes oxygen.
(b)
The ball-and-stick model has a cyclopentane ring. C1 is bonded to a hydroxyl group. C3 is bonded to two methyl groups. The red sphere denotes oxygen.
Problem 8-24

The following alkene undergoes hydroboration–oxidation to yield a single product rather than a mixture. Explain the result, and draw the product showing its stereochemistry.

The ball-and-stick model shows twisted cyclohexane with a double bond between C2-C3. C1 and C4 are connected by a 2-carbon chain, with one carbon bonded to a methyl.
Problem 8-25

From what alkene was the following 1,2-diol made, and what method was used, epoxide hydrolysis or OsO4?

The ball-and-stick model has a cyclohexane ring. C1 and C2 are each bonded to an equatorial hydroxyl group. C5 is bonded to a methyl group. The red sphere denotes oxygen.

Mechanism Problems

Problem 8-26
Predict the products for the following reactions, showing the complete mechanism and appropriate stereochemistry:
(a)
A reaction shows cyclohexene with C1 and C2 each bonded to a methyl group reacting with molecular bromine to form unknown product(s), depicted by a question mark.
(b)
A reaction shows benzene bonded to ethylene reacting with molecular chlorine to form unknown product(s), depicted by a question mark.
(c)
A reaction shows but-2-ene reacting with molecular chlorine to form unknown product(s), depicted by a question mark.
Problem 8-27
Draw the structures of the organoboranes formed when borane reacts with the following alkenes, including the regiochemistry and stereochemistry as appropriate. Propose a mechanism for each reaction.
(a)
The structure has a cyclobutene ring. C1 is bonded to a methyl group.
(b)
The structure has a 4-carbon chain. C1 is double bonded to C2.
(c)
The structure has a 2-carbon chain with a double bond   bonded to a benzene ring.
Problem 8-28
meta-Chloroperbenzoic acid is not the only peroxyacid capable of epoxide formation. For each reaction below, predict the products and show the mechanism.
(a)
A   reaction shows  cyclohexene reacting with a methyl group at C1 reacts with C F 3 C O 3 H to form unknown product(s), depicted by a question mark.
(b)
A reaction shows  but-2-ene reacting with benzene that has C O 3 H group at C1 to form unknown product(s), depicted by a question mark.
Problem 8-29
Give the mechanism and products for the following acid-catalyzed epoxide-opening reactions, including appropriate stereochemistry.
(a)
A reaction shows cyclopentane reacting with C1 and C2 dash bonded to common oxygen reacts with hydronium ion to form unknown product(s), depicted by a question mark.
(b)
A reaction shows an oxirane ring with wedge-bonded methyl groups at C2 and C3 reacting with hydronium ion to form unknown product(s), depicted by a question mark.
(c)
A reaction shows an oxirane ring with dash bonded isopropyl at C2 and single bonded methyl group at C3 reacting with hydronium to form unknown product(s), depicted by question mark.
Problem 8-30

Which of the reactions below would result in a product mixture that would rotate plane-polarized light?

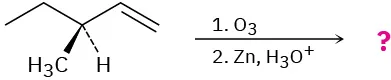
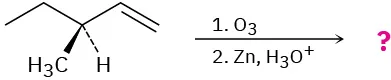
(a)Cyclohexane ring with double bonded methylene at C1 and dash bonded methyl at C4 reacting with hydrogen, palladium on carbon to form unknown product(s), depicted by question mark. (b)A reaction shows an oxirane with dash bonded methyl at C2 and wedge bonded methyl group at C3 reacting with hydronium to form unknown product(s), depicted by a question mark.
(c)A reaction shows 1-pentene with wedge-bonded methyl at C3 reactingwith ozone in first step and zinc, hydronium ion in the second step to form unknown product(s), depicted by question mark.

Problem 8-31
Reaction of 2-methylpropene with CH3OH in the presence of H2SO4 catalyst yields methyl tert-butyl ether, CH3OC(CH3)3, by a mechanism analogous to that of acid-catalyzed alkene hydration. Write the mechanism, using curved arrows for each step.
Problem 8-32

Iodine azide, IN3, adds to alkenes by an electrophilic mechanism similar to that of bromine. If a monosubstituted alkene such as 1-butene is used, only one product results:

A reaction shows 1-butene reacting with iodine azide to form product where C1 of butane is bonded to iodine an C2 is bonded to the azide group.
(a)
Add lone-pair electrons to the structure shown for IN3, and draw a second resonance form for the molecule.
(b)
Calculate formal charges for the atoms in both resonance structures you drew for IN3 in part (a).
(c)
In light of the result observed when IN3 adds to 1-butene, what is the polarity of the I − N3 bond? Propose a mechanism for the reaction using curved arrows to show the electron flow in each step.
Problem 8-33

10-Bromo-α-chamigrene, a compound isolated from marine algae, is thought to be biosynthesized from γ-bisabolene by the following route:

A 3-step reaction shows the formation of 10-bromo-alpha-chamigrene from gamma-bisabolene.

Draw the structures of the intermediate bromonium and cyclic carbocation, and propose mechanisms for all three steps.

Problem 8-34

Isolated from marine algae, prelaureatin is thought to be biosynthesized from laurediol by the following route. Propose a mechanism.

A reaction shows laurediol reacting with Br plus in the presence of bromoperoxidase to form prelaureatin.
Problem 8-35

Dichlorocarbene can be generated by heating sodium trichloroacetate. Propose a mechanism for the reaction, and use curved arrows to indicate the movement of electrons in each step. What relationship does your mechanism bear to the base-induced elimination of HCl from chloroform?

A reaction shows sodium trichloroacetate heated at 70 degrees Celsius to form dichlorocarbene, carbon dioxide, and sodium chloride.
Problem 8-36

Reaction of cyclohexene with mercury(II) acetate in CH3OH rather than H2O, followed by treatment with NaBH4, yields cyclohexyl methyl ether rather than cyclohexanol. Suggest a mechanism.

A reaction shows cyclohexene reacting with mercury (II) acetate in the presence of methanol and sodium borohydride to form cyclohexyl methyl ether.
Problem 8-37

Use your general knowledge of alkene chemistry to suggest a mechanism for the following reaction.

A reaction shows C15 sesquiterpene reacting with mercury (II) acetate to form a substituted decalin ring.
Problem 8-38

Treatment of 4-penten-1-ol with aqueous Br2 yields a cyclic bromo ether rather than the expected bromohydrin. Suggest a mechanism, using curved arrows to show electron movement.

A reaction shows 4-penten-1-ol reacting with molecular bromine in the presence of water to form 2-(bromomethyl)tetrahydrofuran.
Problem 8-39

Hydroboration of 2-methyl-2-pentene at 25 °C, followed by oxidation with alkaline H2O2, yields 2-methyl-3-pentanol, but hydroboration at 160 °C followed by oxidation yields 4-methyl-1-pentanol. Suggest a mechanism.

A 2-pathway reaction shows the formation of 2-methyl-3-pentanol and 4-methyl-1-pentanol from 2-methyl-2-pentene at slightly different reaction temperaures.

Reactions of Alkenes

Problem 8-40

Predict the products of the following reactions (the aromatic ring is unreactive in all cases). Indicate regiochemistry when relevant.

A  reaction shows styrene reacting with either  hydrogen-palladium, bromine, osmium tetroxide, aqueous chlorine, diiodomethane, or  meta-chloroperoxy-benzoic acid to form products, depicted by question marks.
Problem 8-41
Suggest structures for alkenes that give the following reaction products. There may be more than one answer for some cases.
(a)
A reaction shows an unknown reactant  reacting with hydrogen on palladium catalyst to form a 6-carbon chain with a methyl group at C2.
(b)
A reaction shows an unknown reactant reacting with hydrogen on palladium to form cyclohexane ring, in which C1 is bonded to two methyl groups.
(c)
A reaction shows an unknown reactant reacting with molecular bromine to form a product with 6-carbon chain. C2 and C3 each bond to bromine atom. C5 bonds to methyl group.
(d)
A reaction shows an unknown reactant reacting with HCl to form a product with a 7-carbon chain. C2 is bonded to chlorine atom. C3 is bonded to a methyl group.
(e)
A reaction shows an unknown reactant reacting with mercury (II) acetate in water and sodium borohydride to form 5-carbon chain, in which C2 is bonded to a hydroxyl group.
(f)
A reaction shows an unknown reactant reacting  with diiodomethane in presence of zinc-copper to form cyclohexane fused to cyclopropane.
Problem 8-42
Predict the products of the following reactions, showing both regiochemistry and stereochemistry where appropriate:
(a)
Cyclohexene with a methyl group at C1 reacts with ozone in step 1 and zinc in hydronium ion in step 2 to form unknown product(s), depicted by a question mark.
(b)
Cyclohexene reacts with potassium permanganate in presence of hydronium ion to form unknown product(s), depicted by a question mark.
(c)
Cyclohexene with methyl group at C1 reacts with borane in step 1 and hydrogen peroxide in hydroxide ion in step 2 to form unknown product(s), depicted by a question mark.
(d)
Cyclohexene with methyl group at C1 reacts with mercury (II) acetate in water in step 1 and sodium borohydride in step 2 to form unknown product(s), depicted by question mark.
Problem 8-43
Which reaction would you expect to be faster, addition of HBr to cyclohexene or to 1-methylcyclohexene? Explain.
Problem 8-44
What product will result from hydroboration–oxidation of 1-methylcyclopentene with deuterated borane, BD3? Show both the stereochemistry (spatial arrangement) and the regiochemistry (orientation) of the product.
Problem 8-45

The cis and trans isomers of 2-butene give different cyclopropane products in the Simmons–Smith reaction. Show the structures of both, and explain the difference.

cis-2-Butene reacts with diiodomethane and copper-zinc catalyst to form unknown product(s). trans-2-Butene also reacts with the same reagent and catalyst to form unknown product(s). Products are depicted by question marks.
Problem 8-46

Predict the products of the following reactions. Don’t worry about the size of the molecule; concentrate on the functional groups.

Cholesterol undergoes multiple reactions with different sets of reagents to form five different unknown product(s), labeled A through E.
Problem 8-47

Addition of HCl to 1-methoxycyclohexene yields 1-chloro-1-methoxycyclohexane as a sole product. Use resonance structures of the carbocation intermediate to explain why none of the alternate regioisomer is formed.

A reaction shows 1-methoxycyclohexene reacting with hydrochloric acid to form 1-chloro-1-methoxycyclohexene.

Synthesis Using Alkenes

Problem 8-48
How would you carry out the following transformations? What reagents would you use in each case?
(a)
Cyclopentene reacts with unknown reagent(s), depicted by a question mark to form cyclopentane, in which C1 and C2 are dash-bonded to a hydrogen atom and wedge-bonded to a hydroxyl group.
(b)
Cyclopentene reacts with unknown reagent(s), depicted by a question mark, to form cyclopentane, in which C1 is bonded to a hydroxyl group.
(c)
Cyclopentene reacts with unknown reagent(s), depicted by a question mark, to form cyclopentane fused to cyclopropane, in which C1 is bonded to two chlorine atoms.
(d)
Cyclohexane with a methyl and hydroxyl group at C1 reacts with unknown reagent(s), depicted by a question mark to form cyclohexene, in which C1 is bonded to a methyl group.
(e)
A reaction shows 3-methyl-2-pentene reacting with unknown reagent(s) to form acetaldehyde and a 3-carbon chain with double-bonded oxygen at C1 and methyl at C2.
(f)
A reaction shows 2-methylpropene reacting with unknown reagent(s)  to form a 3-carbon chain, in which C1 and C2 are bonded to hydroxyl and methyl, respectively.
Problem 8-49
Draw the structure of an alkene that yields only acetone, (CH3)2C = O, on ozonolysis followed by treatment with Zn.
Problem 8-50
Show the structures of alkenes that give the following products on oxidative cleavage with KMnO4 in acidic solution:
(a)
The condensed formulas of two products, propionic acid and carbon dioxide.
(b)
The condensed formulas of two products, acetone and butyric acid.
(c)
The condensed formulas of two products, cyclohexanone  and acetone.
(d)
The condensed structural formula has an 8-carbon chain. C1 is a carboxylic acid group. C6 is a carbonyl group.
Problem 8-51
In planning the synthesis of one compound from another, it’s just as important to know what not to do as to know what to do. The following reactions all have serious drawbacks to them. Explain the potential problems of each.
(a)
A reaction shows 2-methyl-2-butene reacting with hydrogen iodide to form a 4-carbon chain, in which C2 is bonded to iodine and C3 is bonded to a methyl group.
(b)
A reaction shows cyclopentene reacting with osmium tetroxide and sodium bicarbonate to form cyclopentane, in which C1 is wedge bonded to hydroxyl. C2 is dash bonded to hydroxyl group.
(c)
A reaction shows yclohexadiene reacting with ozone and zinc to form a 6-carbon chain, in which C1 and C6 are aldehyde groups. C3 is double bonded to C4.
(d)
A reaction shows 1-methylcyclohexene reacting with borane and basic hydrogen peroxide to form a cyclohexanol in which  C1 is wedge bonded to methyl and C2 is wedge bonded to hydroxyl.
Problem 8-52

Which of the following alcohols could not be made selectively by hydroboration–oxidation of an alkene? Explain.

(a)The condensed structural formula has a 5-carbon chain. C2 is bonded to a hydroxyl group.(b)The condensed structural formula has a 4-carbon chain. C2 is bonded to a hydroxyl group and C1 and C4 to methyl groups(c)The structure has a cyclohexane ring. C1 is wedge bonded to a methyl group. C2 is wedge bonded to a hydroxyl group.(d)The structure has a cyclohexane ring. C1 is wedge bonded to a methyl group and dash bonded to a hydroxyl group.

Polymers

Problem 8-53

Plexiglas, a clear plastic used to make many molded articles, is made by polymerization of methyl methacrylate. Draw a representative segment of Plexiglas.

The structure of methyl methacrylate.
Problem 8-54

Poly(vinyl pyrrolidone), prepared from N-vinylpyrrolidone, is used both in cosmetics and as a component of a synthetic substitute for blood. Draw a representative segment of the polymer.

The structure of N-vinylpyrrolidone.
Problem 8-55

When a single alkene monomer, such as ethylene, is polymerized, the product is a homopolymer. If a mixture of two alkene monomers is polymerized, however, a copolymer often results. The following structure represents a segment of a copolymer called Saran. What two monomers were copolymerized to make Saran?

Saran is a copolymer with a repeating  4-carbon chain containing two chlorine atoms bonded to C2  bonded and one chlorine atom bonded to C4.

General Problems

Problem 8-56
Compound A has the formula C10H16. On catalytic hydrogenation over palladium, it reacts with only 1 molar equivalent of H2. Compound A also undergoes reaction with ozone, followed by zinc treatment, to yield a symmetrical diketone, B (C10H16O2).
(a)
How many rings does A have?
(b)
What are the structures of A and B?
(c)
Write the reactions.
Problem 8-57
An unknown hydrocarbon A with the formula C6H12 reacts with 1 molar equivalent of H2 over a palladium catalyst. Hydrocarbon A also reacts with OsO4 to give diol B. When oxidized with KMnO4 in acidic solution, A gives two fragments. One fragment is propanoic acid, CH3CH2CO2H, and the other fragment is ketone C. What are the structures of A, B, and C? Write all reactions.
Problem 8-58

Using an oxidative cleavage reaction, explain how you would distinguish between the following two isomeric dienes:

The figure shows two isomeric dienes. Cyclohexadiene has double bonds at C1 and C3. Another cyclohexadiene has double bonds at C1 and C4.
Problem 8-59

Compound A, C10H18O, undergoes reaction with dilute H2SO4 at 50 °C to yield a mixture of two alkenes, C10H16. The major alkene product, B, gives only cyclopentanone after ozone treatment followed by reduction with zinc in acetic acid. Identify A and B, and write the reactions.

The structure of cyclopentanone.
Problem 8-60

Draw the structure of a hydrocarbon that absorbs 2 molar equivalents of H2 on catalytic hydrogenation and gives only butanedial on ozonolysis.

The structure of butanedial.
Problem 8-61
Simmons–Smith reaction of cyclohexene with diiodomethane gives a single cyclopropane product, but the analogous reaction of cyclohexene with 1,1-diiodoethane gives (in low yield) a mixture of two isomeric methylcyclopropane products. What are the two products, and how do they differ?
Problem 8-62
The sex attractant of the common housefly is a hydrocarbon with the formula C23H46. On treatment with aqueous acidic KMnO4, two products are obtained, CH3(CH2)12CO2H and CH3(CH2)7CO2H. Propose a structure.
Problem 8-63
Compound A has the formula C8H8. It reacts rapidly with KMnO4 to give CO2 and a carboxylic acid, B (C7H6O2), but reacts with only 1 molar equivalent of H2 on catalytic hydrogenation over a palladium catalyst. On hydrogenation under conditions that reduce aromatic rings, 4 equivalents of H2 are taken up and hydrocarbon C (C8H16) is produced. What are the structures of A, B, and C? Write the reactions.
Problem 8-64
How would you distinguish between the following pairs of compounds using simple chemical tests? Tell what you would do and what you would see.
(a)
Cyclopentene and cyclopentane
(b)
2-Hexene and benzene
Problem 8-65

α-Terpinene, C10H16, is a pleasant-smelling hydrocarbon that has been isolated from oil of marjoram. On hydrogenation over a palladium catalyst, α-terpinene reacts with 2 molar equivalents of H2 to yield a hydrocarbon, C10H20. On ozonolysis, followed by reduction with zinc and acetic acid, α-terpinene yields two products, glyoxal and 6-methyl-2,5-heptanedione.

The structures of glyoxal and 6-methyl-2,5-heptanedione.
(a)
How many degrees of unsaturation does α-terpinene have?
(b)
How many double bonds and how many rings does it have?
(c)
Propose a structure for α-terpinene.
Problem 8-66

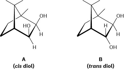
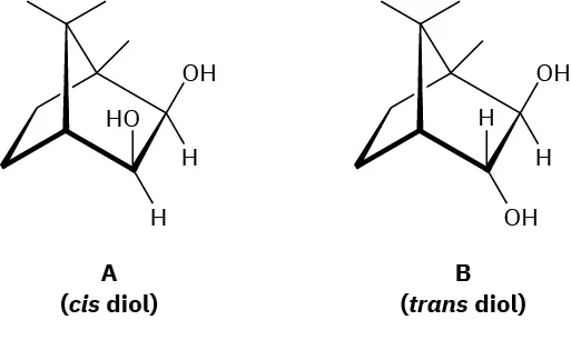
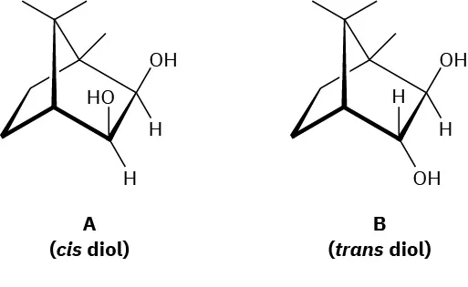
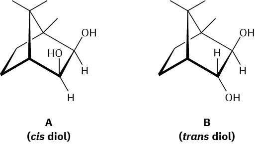
Evidence that cleavage of 1,2-diols by HIO4 occurs through a five-membered cyclic periodate intermediate is based on the measurement of reaction rates. When diols A and B were prepared and the rates of their reaction with HIO4 were measured, it was found that diol A cleaved approximately 1 million times faster than diol B. Make molecular models of A and B and of potential cyclic periodate intermediates, and then explain the results.

Structure A (cis diol) shows bicyclic heptane with hydroxyls at the top of C2 and C3. Structure B (trans diol) shows a hydroxyl group at the bottom of C 2.
Problem 8-67

Reaction of HBr with 3-methylcyclohexene yields a mixture of four products: cis- and trans-1-bromo-3-methylcyclohexane and cis- and trans-1-bromo-2-methylcyclohexane. The analogous reaction of HBr with 3-bromocyclohexene yields trans-1,2-dibromocyclohexane as the sole product. Draw structures of the possible intermediates, and then explain why only a single product is formed in this reaction.

A reaction shows  3-methylcyclohexene reacting with hydrogen bromide to form two cis, trans products. 3-Bromocyclohexene reacting with hydrogen bromide to form a dibromocyclohexane.
Problem 8-68

We’ll see in the next chapter that alkynes undergo many of the same reactions that alkenes do. What product might you expect from each of the following reactions?

A reaction shows 5-methyl-1-hexyne reacting with bromine, hydrogen on palladium-carbon, and hydrogen bromide to yield unknown product(s), depicted by question marks.
Problem 8-69
Hydroxylation of cis-2-butene with OsO4 yields a different product than hydroxylation of trans-2-butene. Draw the structure, show the stereochemistry of each product, and explain the difference between them.
Problem 8-70
Compound A, C11H16O, was found to be an optically active alcohol. Despite its apparent unsaturation, no hydrogen was absorbed on catalytic reduction over a palladium catalyst. On treatment of A with dilute sulfuric acid, dehydration occurred and an optically inactive alkene B, C11H14, was the major product. Alkene B, on ozonolysis, gave two products. One product was identified as propanal, CH3CH2CHO. Compound C, the other product, was shown to be a ketone, C8H8O. How many degrees of unsaturation does A have? Write the reactions, and identify A, B, and C.
Citation/Attribution

This book may not be used in the training of large language models or otherwise be ingested into large language models or generative AI offerings without OpenStax's permission.

Want to cite, share, or modify this book? This book uses the Creative Commons Attribution-NonCommercial-ShareAlike License and you must attribute OpenStax.

Attribution information
  • If you are redistributing all or part of this book in a print format, then you must include on every physical page the following attribution:

    Access for free at https://openstax.org/books/organic-chemistry/pages/1-why-this-chapter

  • If you are redistributing all or part of this book in a digital format, then you must include on every digital page view the following attribution:

    Access for free at https://openstax.org/books/organic-chemistry/pages/1-why-this-chapter

Citation information

© Jul 9, 2025 OpenStax. Textbook content produced by OpenStax is licensed under a Creative Commons Attribution-NonCommercial-ShareAlike License . The OpenStax name, OpenStax logo, OpenStax book covers, OpenStax CNX name, and OpenStax CNX logo are not subject to the Creative Commons license and may not be reproduced without the prior and express written consent of Rice University.