Skip to ContentGo to accessibility pageKeyboard shortcuts menu
OpenStax Logo
Organic Chemistry

Why This Chapter?

Organic ChemistryWhy This Chapter?
Search for key terms or text.

A photo shows saffron crocus flowers having purple petals and yellow stigmas.
Figure 14.1 Saffron, derived from stigmas of the saffron crocus, is the world’s most expensive spice. Its color is caused by the presence of alternating single and double bonds. (credit: modification of work “Welcome to My World! ~ Huron River Watershed” by j van cise photos/Flickr, CC BY 2.0)

14 • Why This Chapter?

Conjugated compounds of many different sorts are common in nature. Many of the pigments responsible for the brilliant colors of fruits, flowers, and even animals have numerous alternating single and double bonds. β-Carotene, for instance, the orange pigment responsible for the color of carrots and an important source of vitamin A, is a conjugated polyene with 11 double bonds. Conjugated enones (alkene + ketone) are common structural features of many biologically important molecules such as progesterone, the hormone that prepares the uterus for implantation of a fertilized ovum. Cyclic conjugated molecules such as benzene are a major field of study in themselves. In this chapter, we’ll look at some of the distinctive properties of conjugated molecules and at the reasons for those properties.

The structures of lycopene, a conjugated polyene, progesterone, a conjugated enone, and benzene, a cyclic conjugated molecule.

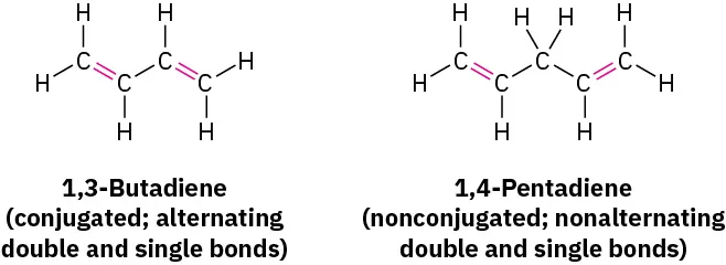
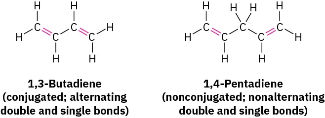
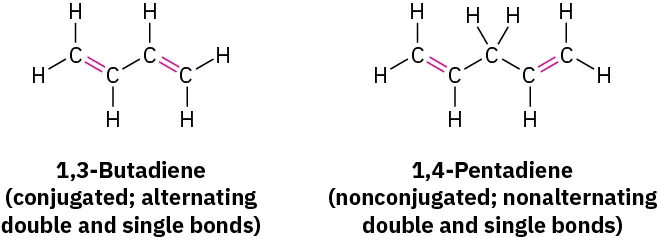
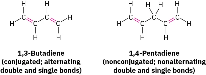
Most of the unsaturated compounds we looked at in the chapters on Alkenes: Structure and Reactivity and Alkenes: Reactions and Synthesis had only one double bond, but many compounds have numerous sites of unsaturation. If the different unsaturations are well separated in a molecule, they react independently, but if they’re close together, they may interact. In particular, compounds that have alternating single and double bonds—so-called conjugated compounds—have some distinctive characteristics. The conjugated diene 1,3-butadiene, for instance, has some properties quite different from those of the nonconjugated 1,4-pentadiene.

The structures of 1, 3-butadiene (conjugated, alternating double and single bonds) and 1,4-pentadiene (nonconjugated; nonalternating double and single bonds).
Citation/Attribution

This book may not be used in the training of large language models or otherwise be ingested into large language models or generative AI offerings without OpenStax's permission.

Want to cite, share, or modify this book? This book uses the Creative Commons Attribution-NonCommercial-ShareAlike License and you must attribute OpenStax.

Attribution information
  • If you are redistributing all or part of this book in a print format, then you must include on every physical page the following attribution:

    Access for free at https://openstax.org/books/organic-chemistry/pages/1-why-this-chapter

  • If you are redistributing all or part of this book in a digital format, then you must include on every digital page view the following attribution:

    Access for free at https://openstax.org/books/organic-chemistry/pages/1-why-this-chapter

Citation information

© Jul 9, 2025 OpenStax. Textbook content produced by OpenStax is licensed under a Creative Commons Attribution-NonCommercial-ShareAlike License . The OpenStax name, OpenStax logo, OpenStax book covers, OpenStax CNX name, and OpenStax CNX logo are not subject to the Creative Commons license and may not be reproduced without the prior and express written consent of Rice University.