Skip to ContentGo to accessibility pageKeyboard shortcuts menu
OpenStax Logo
Organic Chemistry

14.2 Electrophilic Additions to Conjugated Dienes: Allylic Carbocations

Organic Chemistry14.2 Electrophilic Additions to Conjugated Dienes: Allylic Carbocations
Search for key terms or text.

14.2 • Electrophilic Additions to Conjugated Dienes: Allylic Carbocations

One of the most striking differences between conjugated dienes and typical alkenes is their behavior in electrophilic addition reactions. To review briefly, the addition of an electrophile to a carbon–carbon double bond is a general reaction of alkenes (Section 7.7). Markovnikov regiochemistry is observed because the more stable carbocation is formed as an intermediate. Thus, addition of HCl to 2-methylpropene yields 2-chloro-2-methylpropane rather than 1-chloro-2-methylpropane, and addition of 2 equivalents of HCl to the nonconjugated diene 1,4-pentadiene yields 2,4-dichloropentane.

2-methylpropene reacts with hydrogen chloride in ether to yield a tertiary carbocation that further yields 2-chloro-2-methylpropane. 1,4-Pentadiene (nonconjugated) reacts with hydrogen chloride in ether to yield 2,4-dichloropentane.

Conjugated dienes also undergo electrophilic addition reactions readily, but mixtures of products are invariably obtained. Addition of HBr to 1,3-butadiene, for instance, yields a mixture of two products (not counting cis–trans isomers). 3-Bromo-1-butene is the typical Markovnikov product of 1,2-addition to a double bond, but 1-bromo-2-butene seems unusual. The double bond in this product has moved to a position between carbons 2 and 3, and HBr has added to carbons 1 and 4, a result described as 1,4-addition.

In a reaction, 1,3-butadiene reacts with hydrogen bromide to yield 3-bromo-1-butene (71 percent) through 1,2-addition and 1-bromo-2-butene (29 percent) through 1,4-addition.

Many other electrophiles besides HBr add to conjugated dienes, and mixtures of products are usually formed. For example, Br2 adds to 1,3-butadiene to give a mixture of 3,4-dibromo-1-butene and 1,4-dibromo-2-butene.

In a reaction, 1,3-butadiene reacts with bromine at 20 degrees Celsius to yield 3,4-dibromo-1-butene (55 percent) through 1,2-addition and 1,4-dibromo-2-butene (45 percent) through 1,4-addition.

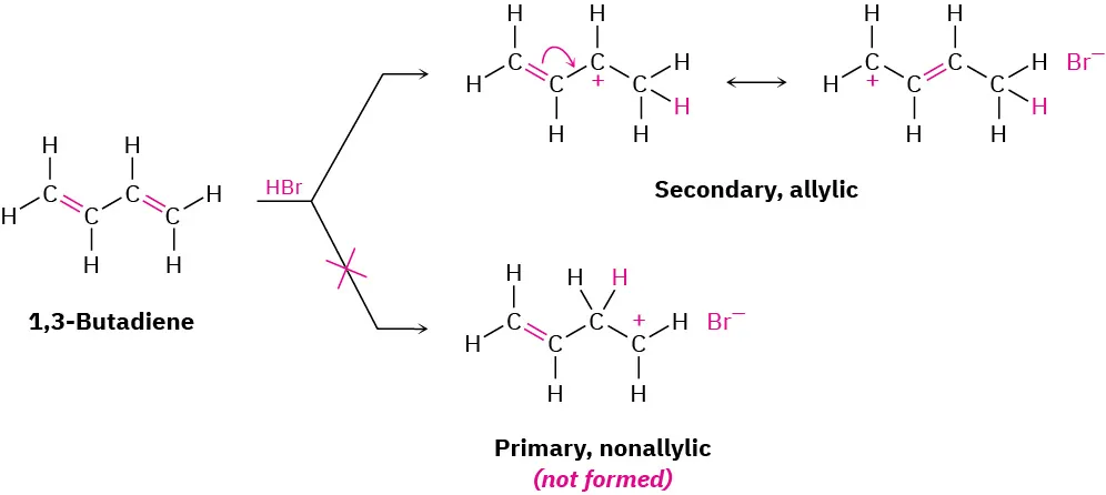
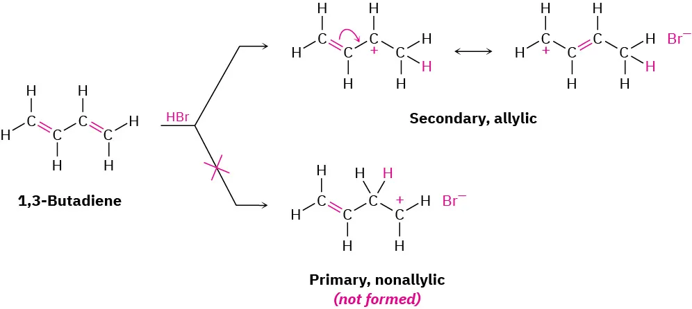
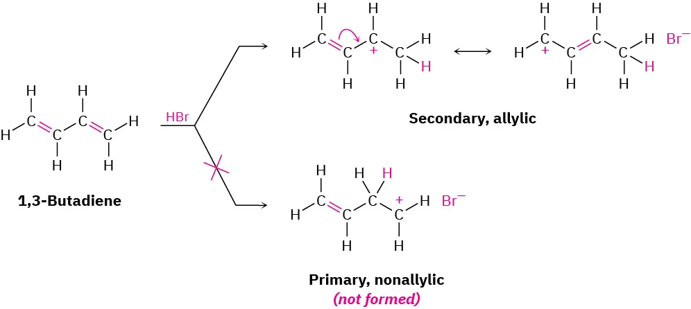
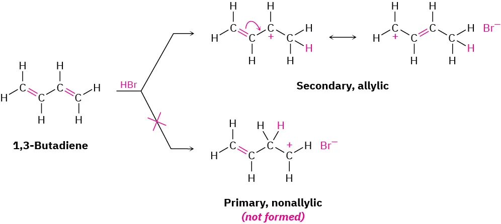
How can we account for the formation of 1,4-addition products? The answer is that allylic carbocations are involved as intermediates (recall that the word allylic means “next to a double bond”). When 1,3-butadiene reacts with an electrophile such as H+, two carbocation intermediates are possible—a primary nonallylic carbocation and a secondary allylic cation. Because an allylic cation is stabilized by resonance between two forms (Section 11.5), it is more stable and forms faster than a nonallylic carbocation.

A reaction shows 1,3-butadiene reacting with hydrogen bromide to yield two resonance structures of secondary, allylic carbocations. Primary, nonallylic carbocation is not formed.

When the allylic cation reacts with Br to complete the electrophilic addition, the reaction can occur either at C1 or at C3 because both carbons share the positive charge (Figure 14.5). Thus, a mixture of 1,2- and 1,4-addition products results. You might recall that a similar product mixture was seen for NBS bromination of alkenes in Section 10.3, a reaction that proceeds through an allylic radical.

Two resonance structures of allylic carbocations reacts with bromide ion form 1,4-addition (29 percent) and 1,2-addition (71 percent) products. The electrostatic potential map along with ball-and-stick model of carbocation is depicted.
Figure 14.5 An electrostatic potential map of the allylic carbocation produced by protonation of 1,3-butadiene shows that the positive charge is shared by carbons 1 and 3. Reaction of Br with the more positive carbon (C3) predominantly yields the 1,2-addition product.

Worked Example 14.1

Predicting the Product of an Electrophilic Addition Reaction of a Conjugated Diene

Give the structures of the likely products from reaction of 1 equivalent of HCl with 2-methyl-1,3-cyclohexadiene. Show both 1,2 and 1,4 adducts.

Strategy

Electrophilic addition of HCl to a conjugated diene involves the formation of allylic carbocation intermediate. Thus, the first step is to protonate the two ends of the diene and draw the resonance forms of the two allylic carbocations that result. Then, allow each resonance form to react with Cl, generating a maximum of four possible products.

In the present instance, protonation of the C1–C2 double bond gives a carbocation that can react further to give the 1,2 adduct 3-chloro-3-methylcyclohexene and the 1,4 adduct 3-chloro-1-methylcyclohexene. Protonation of the C3–C4 double bond gives a symmetrical carbocation, whose two resonance forms are equivalent. Thus, the 1,2 adduct and the 1,4 adduct have the same structure: 6-chloro-1-methylcyclohexene. Of the two possible modes of protonation, the first is more likely because it yields a more stable, tertiary allylic cation rather than a less-stable, secondary allylic cation.

Solution

The reaction of 2-methyl-1,3-cyclohexadiene with hydrogen chloride gives three different products, 3-chloro-3-methylcyclohexene, 3-chloro-1-methylcyclohexene, and 6-chloro-1-methylcyclohexene via 1-2, 1-4, and 1-2 and 1-4 additions, respectively.
Problem 14-2
Give the structures of both 1,2 and 1,4 adducts resulting from reaction of 1 equivalent of HCl with 1,3-pentadiene.
Problem 14-3
Look at the possible carbocation intermediates produced during addition of HCl to 1,3-pentadiene (Problem 14-2), and predict which 1,2 adduct predominates. Which 1,4 adduct predominates?
Problem 14-4

Give the structures of both 1,2 and 1,4 adducts resulting from reaction of 1 equivalent of HBr with the following compound:

The ball-and-stick model shows a cyclohexadiene ring. C 2 and C 3 are each bonded to a methyl group. The gray and white spheres represent carbon and hydrogen atoms, respectively.
Citation/Attribution

This book may not be used in the training of large language models or otherwise be ingested into large language models or generative AI offerings without OpenStax's permission.

Want to cite, share, or modify this book? This book uses the Creative Commons Attribution-NonCommercial-ShareAlike License and you must attribute OpenStax.

Attribution information
  • If you are redistributing all or part of this book in a print format, then you must include on every physical page the following attribution:

    Access for free at https://openstax.org/books/organic-chemistry/pages/1-why-this-chapter

  • If you are redistributing all or part of this book in a digital format, then you must include on every digital page view the following attribution:

    Access for free at https://openstax.org/books/organic-chemistry/pages/1-why-this-chapter

Citation information

© Jul 9, 2025 OpenStax. Textbook content produced by OpenStax is licensed under a Creative Commons Attribution-NonCommercial-ShareAlike License . The OpenStax name, OpenStax logo, OpenStax book covers, OpenStax CNX name, and OpenStax CNX logo are not subject to the Creative Commons license and may not be reproduced without the prior and express written consent of Rice University.