Skip to ContentGo to accessibility pageKeyboard shortcuts menu
OpenStax Logo
Organic Chemistry

10.3 Preparing Alkyl Halides from Alkenes: Allylic Bromination

Organic Chemistry10.3 Preparing Alkyl Halides from Alkenes: Allylic Bromination
Search for key terms or text.

10.3 • Preparing Alkyl Halides from Alkenes: Allylic Bromination

We’ve already seen several methods for preparing alkyl halides from alkenes, including the reactions of HX and X2 with alkenes in electrophilic addition reactions (Section 7.7 and Section 8.2). The hydrogen halides HCl, HBr, and HI react with alkenes by a polar mechanism to give the product of Markovnikov addition. Bromine and chlorine undergo anti addition through halonium ion intermediates to give 1,2-dihalogenated products.

Two reactions of an alkene. Alkene and HX give a halogenated product (X is Cl, Br, or I). Alkene and X2 give a dihalogenated product (X is Cl or Br).

Another laboratory method for preparing alkyl halides from alkenes is by reaction with N-bromosuccinimide (abbreviated NBS), in the presence of ultraviolet light, to give products resulting from substitution of hydrogen by bromine at the position next to the double bond—the allylic position. Cyclohexene, for example, gives 3-bromocyclohexene.

The reaction of cyclohexene in the presence of N-bromosuccinimide, light, and carbon tetrachloride forms 3-bromocyclohexene (85%) and succinimide. C3 and C6 in cyclohexene are labeled as allylic positions.

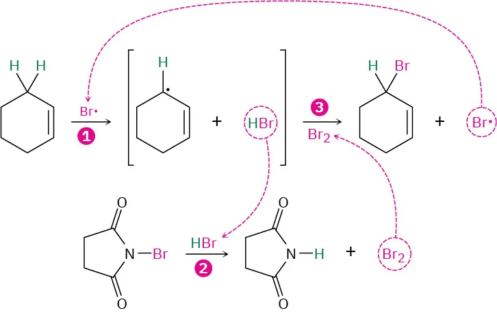
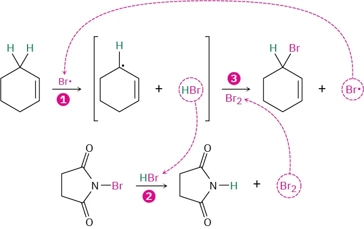
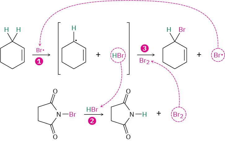
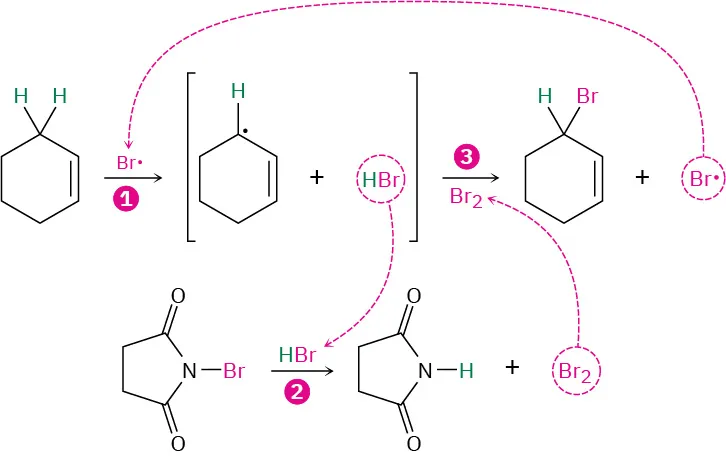
This allylic bromination with NBS is analogous to the alkane chlorination reaction discussed in the previous section and occurs by a radical chain-reaction pathway (Figure 10.3). As in alkane halogenation, a Br· radical abstracts an allylic hydrogen atom, forming an allylic radical plus HBr. The HBr then reacts with NBS to form Br2, which in turn reacts with the allylic radical to yield the brominated product and a Br· radical that cycles back into the first step and carries on the chain.

The mechanism of allylic bromination of an alkene with N B S involving three steps. Bromoalkene and a Br radical are the final products.
Figure 10.3 Mechanism of allylic bromination of an alkene with NBS. The process is a radical chain reaction in which (1) a Br· radical abstracts an allylic hydrogen atom of the alkene and gives an allylic radical plus HBr. (2) The HBr then reacts with NBS to form Br2, which (3) reacts with the allylic radical to yield the bromoalkene product and a Br· radical that continues the chain.

Why does bromination with NBS occur exclusively at an allylic position rather than elsewhere in the molecule? The answer, once again, is found by looking at bond dissociation energies to see the relative stabilities of various kinds of radicals. Although a typical secondary alkyl C−H bond has a strength of about 410 kJ/mol (98 kcal/mol) and a typical vinylic C−H bond has a strength of 465 kJ/mol (111 kcal/mol), an allylic C−H bond has a strength of only about 370 kJ/mol (88 kcal/mol). An allylic radical is therefore more stable than a typical alkyl radical with the same substitution by about 40 kJ/mol (9 kcal/mol).

The structure of cyclohexene, with strengths of specific CH bonds. Alkyl, allylic, and vinylic C-H bonds are 410, 370, and 465 kJ/mol, respectively. Strengths in kcal/mol are also provided.

We can thus expand the stability ordering to include vinylic and allylic radicals.

The structures of six radicals in order of increasing stability: vinylic, methyl, primary, secondary, tertiary, and allylic.
Citation/Attribution

This book may not be used in the training of large language models or otherwise be ingested into large language models or generative AI offerings without OpenStax's permission.

Want to cite, share, or modify this book? This book uses the Creative Commons Attribution-NonCommercial-ShareAlike License and you must attribute OpenStax.

Attribution information
  • If you are redistributing all or part of this book in a print format, then you must include on every physical page the following attribution:

    Access for free at https://openstax.org/books/organic-chemistry/pages/1-why-this-chapter

  • If you are redistributing all or part of this book in a digital format, then you must include on every digital page view the following attribution:

    Access for free at https://openstax.org/books/organic-chemistry/pages/1-why-this-chapter

Citation information

© Jul 9, 2025 OpenStax. Textbook content produced by OpenStax is licensed under a Creative Commons Attribution-NonCommercial-ShareAlike License . The OpenStax name, OpenStax logo, OpenStax book covers, OpenStax CNX name, and OpenStax CNX logo are not subject to the Creative Commons license and may not be reproduced without the prior and express written consent of Rice University.