Skip to ContentGo to accessibility pageKeyboard shortcuts menu
OpenStax Logo
College Physics for AP® Courses

Problems & Exercises

College Physics for AP® CoursesProblems & Exercises
Search for key terms or text.

15.1 The First Law of Thermodynamics

1.

What is the change in internal energy of a car if you put 12.0 gal of gasoline into its tank? The energy content of gasoline is 1 . 3 × 10 8 J/gal 1 . 3 × 10 8 J/gal size 12{1 "." 3 times "10" rSup { size 8{8} } " J/gal"} {} . All other factors, such as the car's temperature, are constant.

2.

How much heat transfer occurs from a system, if its internal energy decreased by 150 J while it was doing 30.0 J of work?

3.

A system does 1.80×108 J1.80×108 J size 12{1 "." "80"´"10" rSup { size 8{8} } " J"} {} of work while 7.50×108 J7.50×108 J size 12{7 "." "50"´"10" rSup { size 8{8} } " J"} {} of heat transfer occurs to the environment. What is the change in internal energy of the system assuming no other changes (such as in temperature or by the addition of fuel)?

4.

What is the change in internal energy of a system which does 4.50×105 J4.50×105 J size 12{4 "." "50"´"10" rSup { size 8{5} } " J"} {} of work while 3.00×106 J3.00×106 J size 12{3 "." "00"´"10" rSup { size 8{6} } " J"} {} of heat transfer occurs into the system, and 8.00×106 J8.00×106 J size 12{8 "." "00"´"10" rSup { size 8{6} } " J"} {} of heat transfer occurs to the environment?

5.

Suppose a woman does 500 J of work and 9500 J of heat transfer occurs into the environment in the process. (a) What is the decrease in her internal energy, assuming no change in temperature or consumption of food? (That is, there is no other energy transfer.) (b) What is her efficiency?

6.

(a) How much food energy will a man metabolize in the process of doing 35.0 kJ of work with an efficiency of 5.00%? (b) How much heat transfer occurs to the environment to keep his temperature constant? Explicitly show how you follow the steps in the Problem-Solving Strategy for thermodynamics found in Problem-Solving Strategies for Thermodynamics.

7.

(a) What is the average metabolic rate in watts of a man who metabolizes 10,500 kJ of food energy in one day? (b) What is the maximum amount of work in joules he can do without breaking down fat, assuming a maximum efficiency of 20.0%? (c) Compare his work output with the daily output of a 187-W (0.250-horsepower) motor.

8.

(a) How long will the energy in a 1470-kJ (350-kcal) cup of yogurt last in a woman doing work at the rate of 150 W with an efficiency of 20.0% (such as in leisurely climbing stairs)? (b) Does the time found in part (a) imply that it is easy to consume more food energy than you can reasonably expect to work off with exercise?

9.

(a) A woman climbing the Washington Monument metabolizes 6 . 00 × 10 2 kJ 6 . 00 × 10 2 kJ size 12{6 "." "00" times "10" rSup { size 8{2} } " kJ"} {} of food energy. If her efficiency is 18.0%, how much heat transfer occurs to the environment to keep her temperature constant? (b) Discuss the amount of heat transfer found in (a). Is it consistent with the fact that you quickly warm up when exercising?

15.2 The First Law of Thermodynamics and Some Simple Processes

10.

A car tire contains 0.0380m30.0380m3 size 12{0 "." "0380"" m" rSup { size 8{3} } } {} of nitrogen at a pressure of 2.20×105 N/m22.20×105 N/m2 size 12{2 "." "20"´"10" rSup { size 8{5} } " N/m" rSup { size 8{2} } } {} (about 32 psi). How much more internal energy does this gas have than the same volume has at zero gauge pressure (which is equivalent to normal atmospheric pressure)?

11.

A helium-filled toy balloon has a gauge pressure of 0.200 atm and a volume of 10.0 L. How much greater is the internal energy of the helium in the balloon than it would be at zero gauge pressure?

12.

Steam to drive an old-fashioned steam locomotive is supplied at a constant gauge pressure of 1.75×106 N/m21.75×106 N/m2 size 12{1 "." "75"´"10" rSup { size 8{6} } " N/m" rSup { size 8{2} } } {} (about 250 psi) to a piston with a 0.200-m radius. (a) By calculating PΔVPΔV size 12{PDV} {}, find the work done by the steam when the piston moves 0.800 m. Note that this is the net work output, since gauge pressure is used. (b) Now find the amount of work by calculating the force exerted times the distance traveled. Is the answer the same as in part (a)?

13.

A hand-driven tire pump has a piston with a 2.50-cm diameter and a maximum stroke of 30.0 cm. (a) How much work do you do in one stroke if the average gauge pressure is 2.40×105 N/m22.40×105 N/m2 size 12{2 "." "40"´"10" rSup { size 8{5} } " N/m" rSup { size 8{2} } } {} (about 35 psi)? (b) What average force do you exert on the piston, neglecting friction and gravitational force?

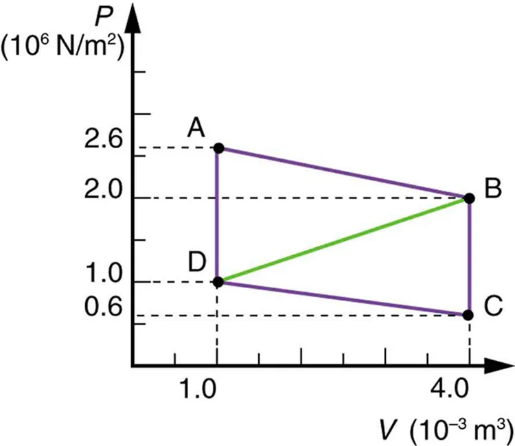
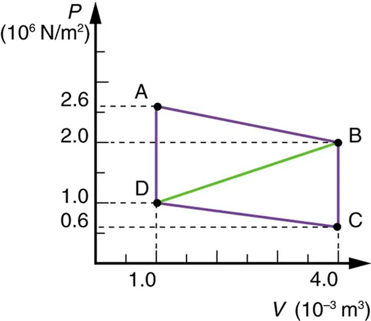
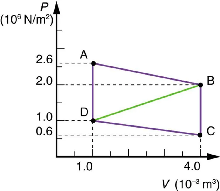
14.

Calculate the net work output of a heat engine following path ABCDA in the figure below.

A graph is shown of pressure versus volume, with pressure on the Y axis and volume on the X axis. A parallelogram connects four points are on the graph, A, B, C, and D. A is at y equals 2 point 6 times 10 to the six newtons per meter squared and x equals 1 point zero times ten to the minus three meters cubed. A downward sloping line connects A to B. B is at y equals 2 point zero, x equals four. A vertical line connects B to C. C is at y equals zero point 6, x equals 4. A line connects C to D. D is at y equals one point zero, x equals one point zero. A vertical line connects D to A. A diagonal line also connects D and B.
Figure 15.43
15.

What is the net work output of a heat engine that follows path ABDA in the figure above, with a straight line from B to D? Why is the work output less than for path ABCDA? Explicitly show how you follow the steps in the Problem-Solving Strategies for Thermodynamics.

16.

Unreasonable Results

What is wrong with the claim that a cyclical heat engine does 4.00 kJ of work on an input of 24.0 kJ of heat transfer while 16.0 kJ of heat transfers to the environment?

17.

(a) A cyclical heat engine, operating between temperatures of 450º C450º C size 12{"450"°C} {} and 150º C150º C size 12{"150"°C} {} produces 4.00 MJ of work on a heat transfer of 5.00 MJ into the engine. How much heat transfer occurs to the environment? (b) What is unreasonable about the engine? (c) Which premise is unreasonable?

18.

Construct Your Own Problem

Consider a car's gasoline engine. Construct a problem in which you calculate the maximum efficiency this engine can have. Among the things to consider are the effective hot and cold reservoir temperatures. Compare your calculated efficiency with the actual efficiency of car engines.

19.

Construct Your Own Problem

Consider a car trip into the mountains. Construct a problem in which you calculate the overall efficiency of the car for the trip as a ratio of kinetic and potential energy gained to fuel consumed. Compare this efficiency to the thermodynamic efficiency quoted for gasoline engines and discuss why the thermodynamic efficiency is so much greater. Among the factors to be considered are the gain in altitude and speed, the mass of the car, the distance traveled, and typical fuel economy.

15.3 Introduction to the Second Law of Thermodynamics: Heat Engines and Their Efficiency

20.

A certain heat engine does 10.0 kJ of work and 8.50 kJ of heat transfer occurs to the environment in a cyclical process. (a) What was the heat transfer into this engine? (b) What was the engine's efficiency?

21.

With 2.56×106J2.56×106J size 12{2 "." "56"´"10" rSup { size 8{6} } " J"} {} of heat transfer into this engine, a given cyclical heat engine can do only 1.50×105J1.50×105J size 12{1 "." "50"´"10" rSup { size 8{5} } " J"} {} of work. (a) What is the engine's efficiency? (b) How much heat transfer to the environment takes place?

22.

(a) What is the work output of a cyclical heat engine having a 22.0% efficiency and 6.00×109 J6.00×109 J size 12{6 "." "00"´"10" rSup { size 8{9} } " J"} {} of heat transfer into the engine? (b) How much heat transfer occurs to the environment?

23.

(a) What is the efficiency of a cyclical heat engine in which 75.0 kJ of heat transfer occurs to the environment for every 95.0 kJ of heat transfer into the engine? (b) How much work does it produce for 100 kJ of heat transfer into the engine?

24.

The engine of a large ship does 2.00×108 J2.00×108 J size 12{2 "." "00"´"10" rSup { size 8{8} } " J"} {} of work with an efficiency of 5.00%. (a) How much heat transfer occurs to the environment? (b) How many barrels of fuel are consumed, if each barrel produces 6.00×109 J6.00×109 J size 12{6 "." "00"´"10" rSup { size 8{9} } " J"} {} of heat transfer when burned?

25.

(a) How much heat transfer occurs to the environment by an electrical power station that uses 1.25×1014 J1.25×1014 J size 12{1 "." "25"´"10" rSup { size 8{"14"} } " J"} {} of heat transfer into the engine with an efficiency of 42.0%? (b) What is the ratio of heat transfer to the environment to work output? (c) How much work is done?

26.

Assume that the turbines at a coal-powered power plant were upgraded, resulting in an improvement in efficiency of 3.32%. Assume that prior to the upgrade the power station had an efficiency of 36% and that the heat transfer into the engine in one day is still the same at 2.50×1014 J2.50×1014 J size 12{2 "." "50"´"10" rSup { size 8{"14"} } " J"} {}. (a) How much more electrical energy is produced due to the upgrade? (b) How much less heat transfer occurs to the environment due to the upgrade?

27.

This problem compares the energy output and heat transfer to the environment by two different types of nuclear power stations—one with the normal efficiency of 34.0%, and another with an improved efficiency of 40.0%. Suppose both have the same heat transfer into the engine in one day, 2.50×1014 J2.50×1014 J size 12{2 "." "50"´"10" rSup { size 8{"14"} } " J"} {}. (a) How much more electrical energy is produced by the more efficient power station? (b) How much less heat transfer occurs to the environment by the more efficient power station? (One type of more efficient nuclear power station, the gas-cooled reactor, has not been reliable enough to be economically feasible in spite of its greater efficiency.)

15.4 Carnot’s Perfect Heat Engine: The Second Law of Thermodynamics Restated

28.

A certain gasoline engine has an efficiency of 30.0%. What would the hot reservoir temperature be for a Carnot engine having that efficiency, if it operates with a cold reservoir temperature of 200ºC200ºC size 12{2"00"°C} {}?

29.

A gas-cooled nuclear reactor operates between hot and cold reservoir temperatures of 700ºC700ºC size 12{"700"°C} {} and 27.0ºC27.0ºC size 12{"27" "." 0°C} {}. (a) What is the maximum efficiency of a heat engine operating between these temperatures? (b) Find the ratio of this efficiency to the Carnot efficiency of a standard nuclear reactor (found in Example 15.4).

30.

(a) What is the hot reservoir temperature of a Carnot engine that has an efficiency of 42.0% and a cold reservoir temperature of 27.0ºC27.0ºC size 12{"27" "." 0°C} {}? (b) What must the hot reservoir temperature be for a real heat engine that achieves 0.700 of the maximum efficiency, but still has an efficiency of 42.0% (and a cold reservoir at 27.0ºC27.0ºC size 12{"27" "." 0°C} {})? (c) Does your answer imply practical limits to the efficiency of car gasoline engines?

31.

Steam locomotives have an efficiency of 17.0% and operate with a hot steam temperature of 425ºC425ºC size 12{"425"°C} {}. (a) What would the cold reservoir temperature be if this were a Carnot engine? (b) What would the maximum efficiency of this steam engine be if its cold reservoir temperature were 150ºC150ºC size 12{"150"°C} {}?

32.

Practical steam engines utilize 450ºC450ºC size 12{"450"°C} {} steam, which is later exhausted at 270ºC270ºC size 12{"270"°C} {}. (a) What is the maximum efficiency that such a heat engine can have? (b) Since 270ºC270ºC size 12{"270"°C} {} steam is still quite hot, a second steam engine is sometimes operated using the exhaust of the first. What is the maximum efficiency of the second engine if its exhaust has a temperature of 150ºC150ºC size 12{"150"°C} {}? (c) What is the overall efficiency of the two engines? (d) Show that this is the same efficiency as a single Carnot engine operating between 450ºC450ºC size 12{"450"°C} {} and 150ºC150ºC size 12{"150"°C} {}. Explicitly show how you follow the steps in the [link].

33.

A coal-fired electrical power station has an efficiency of 38%. The temperature of the steam leaving the boiler is 550ºC550ºC size 12{"550"°C} {}. What percentage of the maximum efficiency does this station obtain? (Assume the temperature of the environment is 20ºC20ºC size 12{"20"°C} {}.)

34.

Would you be willing to financially back an inventor who is marketing a device that she claims has 25 kJ of heat transfer at 600 K, has heat transfer to the environment at 300 K, and does 12 kJ of work? Explain your answer.

35.

Unreasonable Results

(a) Suppose you want to design a steam engine that has heat transfer to the environment at 270ºC 270ºC and has a Carnot efficiency of 0.800. What temperature of hot steam must you use? (b) What is unreasonable about the temperature? (c) Which premise is unreasonable?

36.

Unreasonable Results

Calculate the cold reservoir temperature of a steam engine that uses hot steam at 450ºC450ºC size 12{"450"°C} {} and has a Carnot efficiency of 0.700. (b) What is unreasonable about the temperature? (c) Which premise is unreasonable?

15.5 Applications of Thermodynamics: Heat Pumps and Refrigerators

37.

What is the coefficient of performance of an ideal heat pump that has heat transfer from a cold temperature of 25.0ºC25.0ºC size 12{-"25" "." 0°C} {} to a hot temperature of 40.0ºC40.0ºC size 12{"40" "." 0°C} {}?

38.

Suppose you have an ideal refrigerator that cools an environment at 20.0ºC20.0ºC size 12{-"20" "." 0°C} {} and has heat transfer to another environment at 50.0ºC50.0ºC size 12{"50" "." 0°C} {}. What is its coefficient of performance?

39.

What is the best coefficient of performance possible for a hypothetical refrigerator that could make liquid nitrogen at 200ºC200ºC size 12{-"200"°C} {} and has heat transfer to the environment at 35.0ºC35.0ºC size 12{"35" "." 0°C} {}?

40.

In a very mild winter climate, a heat pump has heat transfer from an environment at 5.00ºC5.00ºC size 12{5 "." "00"°C} {} to one at 35.0ºC35.0ºC size 12{"35" "." 0°C} {}. What is the best possible coefficient of performance for these temperatures? Explicitly show how you follow the steps in the Problem-Solving Strategies for Thermodynamics.

41.

(a) What is the best coefficient of performance for a heat pump that has a hot reservoir temperature of 50.0ºC50.0ºC and a cold reservoir temperature of 20.0ºC20.0ºC? (b) How much heat transfer occurs into the warm environment if 3.60×107 J3.60×107 J of work (10.0 kWh10.0 kWh) is put into it? (c) If the cost of this work input is 10.0 cents/kWh10.0 cents/kWh, how does its cost compare with the direct heat transfer achieved by burning natural gas at a cost of 85.0 cents per therm. (A therm is a common unit of energy for natural gas and equals 1.055×108 J1.055×108 J size 12{1 "." "055"´"10" rSup { size 8{8} } " J"} {}.)

42.

(a) What is the best coefficient of performance for a refrigerator that cools an environment at 30.0ºC30.0ºC size 12{-"30" "." 0°C} {} and has heat transfer to another environment at 45.C45.C size 12{"45" "." 0°C} {}? (b) How much work in joules must be done for a heat transfer of 4186 kJ from the cold environment? (c) What is the cost of doing this if the work costs 10.0 cents per 3.60×106 J3.60×106 J size 12{3 "." "60"´"10" rSup { size 8{6} } " J"} {} (a kilowatt-hour)? (d) How many kJ of heat transfer occurs into the warm environment? (e) Discuss what type of refrigerator might operate between these temperatures.

43.

Suppose you want to operate an ideal refrigerator with a cold temperature of 10.C10.C size 12{-"10" "." 0°C} {}, and you would like it to have a coefficient of performance of 7.00. What is the hot reservoir temperature for such a refrigerator?

44.

An ideal heat pump is being considered for use in heating an environment with a temperature of 22.0ºC22.0ºC size 12{"22" "." 0°C} {}. What is the cold reservoir temperature if the pump is to have a coefficient of performance of 12.0?

45.

A 4-ton air conditioner removes 5.06×107 J5.06×107 J (48,000 British thermal units) from a cold environment in 1.00 h. (a) What energy input in joules is necessary to do this if the air conditioner has an energy efficiency rating ( EER EER ) of 12.0? (b) What is the cost of doing this if the work costs 10.0 cents per 3.60×106 J3.60×106 J size 12{3 "." "60"´"10" rSup { size 8{6} } " J"} {} (one kilowatt-hour)? (c) Discuss whether this cost seems realistic. Note that the energy efficiency rating ( EER EER size 12{ ital "EER"} {} ) of an air conditioner or refrigerator is defined to be the number of British thermal units of heat transfer from a cold environment per hour divided by the watts of power input.

46.

Show that the coefficients of performance of refrigerators and heat pumps are related by COPref=COPhp1COPref=COPhp1 size 12{ ital "COP" rSub { size 8{"ref"} } = ital "COP" rSub { size 8{"hp"} } -1} {}.

Start with the definitions of the COPCOP size 12{ ital "COP"} {} s and the conservation of energy relationship between QhQh size 12{Q rSub { size 8{h} } } {}, QcQc size 12{Q rSub { size 8{c} } } {}, and WW size 12{W} {}.

15.6 Entropy and the Second Law of Thermodynamics: Disorder and the Unavailability of Energy

47.

(a) On a winter day, a certain house loses 5.00×108 J5.00×108 J size 12{5 "." "00"´"10" rSup { size 8{8} } " J"} {} of heat to the outside (about 500,000 Btu). What is the total change in entropy due to this heat transfer alone, assuming an average indoor temperature of 21.0º C21.0º C size 12{"21" "." 0°C} {} and an average outdoor temperature of 5.00º C5.00º C size 12{5 "." "00"°C} {}? (b) This large change in entropy implies a large amount of energy has become unavailable to do work. Where do we find more energy when such energy is lost to us?

48.

On a hot summer day, 4.00×106 J4.00×106 J size 12{4 "." "00"´"10" rSup { size 8{6} } " J"} {} of heat transfer into a parked car takes place, increasing its temperature from 35.0º C35.0º C size 12{"35" "." 0°C} {} to 45.0º C45.0º C size 12{"45" "." 0°C} {}. What is the increase in entropy of the car due to this heat transfer alone?

49.

A hot rock ejected from a volcano's lava fountain cools from 1100º C1100º C size 12{"1100"°C} {} to 40.0º C40.0º C size 12{"40" "." 0°C} {}, and its entropy decreases by 950 J/K. How much heat transfer occurs from the rock?

50.

When 1.60×105 J1.60×105 J size 12{1 "." "60"´"10" rSup { size 8{5} } " J"} {} of heat transfer occurs into a meat pie initially at 20.0º C20.0º C size 12{"20" "." 0°C} {}, its entropy increases by 480 J/K. What is its final temperature?

51.

The Sun radiates energy at the rate of 3.80×1026 W3.80×1026 W size 12{3 "." "80"´"10" rSup { size 8{"26"} } " W"} {} from its 5500º C5500º C size 12{"5500"°C} {} surface into dark empty space (a negligible fraction radiates onto Earth and the other planets). The effective temperature of deep space is 270º C270º C size 12{-"270"°C} {}. (a) What is the increase in entropy in one day due to this heat transfer? (b) How much work is made unavailable?

52.

(a) In reaching equilibrium, how much heat transfer occurs from 1.00 kg of water at 40.0º C40.0º C size 12{"40" "." 0°C} {} when it is placed in contact with 1.00 kg of 20.0º C20.0º C size 12{"20" "." 0°C} {} water in reaching equilibrium? (b) What is the change in entropy due to this heat transfer? (c) How much work is made unavailable, taking the lowest temperature to be 20.0º C20.0º C size 12{"20" "." 0°C} {}? Explicitly show how you follow the steps in the Problem-Solving Strategies for Entropy.

53.

What is the decrease in entropy of 25.0 g of water that condenses on a bathroom mirror at a temperature of 35.0º C35.0º C size 12{"35" "." 0°C} {}, assuming no change in temperature and given the latent heat of vaporization to be 2450 kJ/kg?

54.

Find the increase in entropy of 1.00 kg of liquid nitrogen that starts at its boiling temperature, boils, and warms to 20.0º C20.0º C size 12{"20" "." 0°C} {} at constant pressure.

55.

A large electrical power station generates 1000 MW of electricity with an efficiency of 35.0%. (a) Calculate the heat transfer to the power station, QhQh size 12{Q rSub { size 8{h} } } {}, in one day. (b) How much heat transfer QcQc size 12{Q rSub { size 8{c} } } {} occurs to the environment in one day? (c) If the heat transfer in the cooling towers is from 35.0º C35.0º C size 12{"35" "." 0°C} {} water into the local air mass, which increases in temperature from 18.0º C18.0º C size 12{"18" "." 0°C} {} to 20.0º C20.0º C size 12{"20" "." 0°C} {}, what is the total increase in entropy due to this heat transfer? (d) How much energy becomes unavailable to do work because of this increase in entropy, assuming an 18.0º C18.0º C size 12{"18" "." 0°C} {} lowest temperature? (Part of QcQc size 12{Q rSub { size 8{c} } } {} could be utilized to operate heat engines or for simply heating the surroundings, but it rarely is.)

56.

(a) How much heat transfer occurs from 20.0 kg of 90.0º C90.0º C size 12{"90" "." 0°C} {} water placed in contact with 20.0 kg of 10.0º C10.0º C size 12{"10" "." 0°C} {} water, producing a final temperature of 50.0º C50.0º C size 12{"50" "." 0°C} {}? (b) How much work could a Carnot engine do with this heat transfer, assuming it operates between two reservoirs at constant temperatures of 90.0º C90.0º C size 12{"90" "." 0°C} {} and 10.0º C10.0º C size 12{"10" "." 0°C} {}? (c) What increase in entropy is produced by mixing 20.0 kg of 90.0º C90.0º C size 12{"90" "." 0°C} {} water with 20.0 kg of 10.0º C10.0º C size 12{"10" "." 0°C} {} water? (d) Calculate the amount of work made unavailable by this mixing using a low temperature of 10.0º C10.0º C size 12{"10" "." 0°C} {}, and compare it with the work done by the Carnot engine. Explicitly show how you follow the steps in the Problem-Solving Strategies for Entropy. (e) Discuss how everyday processes make increasingly more energy unavailable to do work, as implied by this problem.

15.7 Statistical Interpretation of Entropy and the Second Law of Thermodynamics: The Underlying Explanation

57.

Using Table 15.4, verify the contention that if you toss 100 coins each second, you can expect to get 100 heads or 100 tails once in 2×10222×1022 size 12{2´"10" rSup { size 8{"22"} } } {} years; calculate the time to two-digit accuracy.

58.

What percent of the time will you get something in the range from 60 heads and 40 tails through 40 heads and 60 tails when tossing 100 coins? The total number of microstates in that range is 1.22×10301.22×1030 size 12{1 "." "22"´"10" rSup { size 8{"30"} } } {}. (Consult Table 15.4.)

59.

(a) If tossing 100 coins, how many ways (microstates) are there to get the three most likely macrostates of 49 heads and 51 tails, 50 heads and 50 tails, and 51 heads and 49 tails? (b) What percent of the total possibilities is this? (Consult Table 15.4.)

60.

(a) What is the change in entropy if you start with 100 coins in the 45 heads and 55 tails macrostate, toss them, and get 51 heads and 49 tails? (b) What if you get 75 heads and 25 tails? (c) How much more likely is 51 heads and 49 tails than 75 heads and 25 tails? (d) Does either outcome violate the second law of thermodynamics?

61.

(a) What is the change in entropy if you start with 10 coins in the 5 heads and 5 tails macrostate, toss them, and get 2 heads and 8 tails? (b) How much more likely is 5 heads and 5 tails than 2 heads and 8 tails? (Take the ratio of the number of microstates to find out.) (c) If you were betting on 2 heads and 8 tails would you accept odds of 252 to 45? Explain why or why not.

Macrostate Number of Microstates (W)
Heads Tails
10 0 1
9 1 10
8 2 45
7 3 120
6 4 210
5 5 252
4 6 210
3 7 120
2 8 45
1 9 10
0 10 1
Total: 1024
Table 15.5 10-Coin Toss
Citation/Attribution

This book may not be used in the training of large language models or otherwise be ingested into large language models or generative AI offerings without OpenStax's permission.

Want to cite, share, or modify this book? This book uses the Creative Commons Attribution License and you must attribute OpenStax.

Attribution information
  • If you are redistributing all or part of this book in a print format, then you must include on every physical page the following attribution:

    Access for free at https://openstax.org/books/college-physics-ap-courses/pages/1-connection-for-ap-r-courses

  • If you are redistributing all or part of this book in a digital format, then you must include on every digital page view the following attribution:

    Access for free at https://openstax.org/books/college-physics-ap-courses/pages/1-connection-for-ap-r-courses

Citation information

© Mar 3, 2022 OpenStax. Textbook content produced by OpenStax is licensed under a Creative Commons Attribution License . The OpenStax name, OpenStax logo, OpenStax book covers, OpenStax CNX name, and OpenStax CNX logo are not subject to the Creative Commons license and may not be reproduced without the prior and express written consent of Rice University.