Omitir e ir al contenidoIr a la página de accesibilidadMenú de atajos de teclado
Logo de OpenStax
Química 2ed

Capítulo 20

Química 2edCapítulo 20
Buscar términos clave o texto.

1.

Hay varias series de respuestas; una es:
(a) C5H12

Se muestra una cadena de cinco átomos de C con enlaces simples. Cada átomo de C tiene un átomo de H enlazado por encima y por debajo. Los átomos de C del extremo de la cadena tienen un tercer átomo de H enlazado a cada uno de ellos.


(b) C5H10

Se muestra una cadena de cinco átomos de C. El primer átomo de C (de izquierda a derecha) forma un enlace simple con el segundo átomo de C. El segundo átomo de C forma un enlace simple con el tercer átomo de C. El tercer átomo de C forma un doble enlace con el cuarto átomo de C. El cuarto átomo de C forma un enlace simple con el quinto átomo de C. El primer átomo de C (de izquierda a derecha) tiene tres átomos de H enlazados. El segundo átomo de C tiene dos átomos de H enlazados a este. El tercer átomo de C tiene un átomo de H enlazado. El cuarto átomo de C tiene un átomo de H enlazado. El quinto átomo de C tiene tres átomos de H enlazados.


(c) C5H8

Se muestra una cadena de cinco átomos de carbono. El primer átomo de C (de izquierda a derecha) forma un enlace simple con el segundo átomo de C. El segundo átomo de C forma un enlace simple con el tercer átomo de C. El tercer átomo de C forma un triple enlace con el cuarto átomo de C. El cuarto átomo de C forma un enlace simple con el quinto átomo de C. El primer átomo de C tiene tres átomos de H enlazad. El segundo átomo de C tiene dos átomos de H enlazados a este. El quinto átomo de C tiene tres átomos de H enlazados.
3.

Ambas reacciones dan lugar a la incorporación de bromo en la estructura del producto. La diferencia es la forma en que se produce esa incorporación. En el hidrocarburo saturado, se rompe un enlace C-H existente y se puede formar un enlace entre el C y el Br. En el hidrocarburo insaturado, el único enlace roto en el hidrocarburo es el enlace π cuyos electrones pueden utilizarse para formar un enlace con uno de los átomos de bromo del Br2 (los electrones del enlace Br-Br forman el otro enlace C-Br en el otro carbono que formaba parte del enlace π en el hidrocarburo insaturado de partida).

5.

Los alcanos no ramificados tienen rotación libre sobre los enlaces C-C, lo que hace que todas las orientaciones de los sustituyentes sobre estos enlaces sean equivalentes, intercambiables por rotación. En los alquenos no ramificados, la incapacidad de rotar alrededor del enlace C=CC=C da lugar a orientaciones fijas (invariables) de los sustituyentes, lo que permite la existencia de diferentes isómeros. Dado que estos conceptos se refieren a fenómenos a nivel molecular, esta explicación implica el ámbito microscópico.

7.

Son el mismo compuesto porque cada uno es un hidrocarburo saturado que contiene una cadena no ramificada de seis átomos de carbono.

9.

(a) C6H14

Esta figura muestra una cadena horizontal de hidrocarburos formada por seis átomos de carbono unidos por enlaces simples. Cada átomo de C tiene un átomo de H enlazado por encima y por debajo. Los dos átomos de C de cada extremo de la cadena tienen un tercer átomo de H enlazado a ellos.


(b) C6H14

Esta figura muestra cinco átomos de C enlazados entre sí y un sexto átomo de C enlazado por debajo de la cadena. El primer átomo de C (de izquierda a derecha) tiene tres átomos de H enlazados y también está enlazado a otro átomo de C. El segundo átomo de C tiene dos átomos de H enlazados por encima y por debajo y también está enlazado a otro átomo de C. El tercer átomo de C tiene un átomo de H enlazado por encima y un átomo de C enlazado por debajo. El átomo de C enlazado por debajo del tercer átomo de C de la cadena tiene tres átomos de H enlazados. El tercer átomo de C también está enlazado a otro átomo de C. El cuarto átomo de C de la cadena tiene dos átomos de H enlazados por encima y por debajo y está enlazado a otro átomo de C. El quinto átomo de C tiene tres átomos de H enlazados.


(c) C6H12

Esta figura muestra un átomo de C con tres átomos de H enlazados. Este átomo de C está enlazado a otro átomo de C con dos átomos de H enlazados por encima y por debajo. El segundo átomo de C también está enlazado a otro átomo de C abajo y a la derecha. Este átomo de C está enlazado a un átomo de H y tiene un doble enlace con un cuarto átomo de C. El cuarto átomo de C también está enlazado a un átomo de H. El cuarto átomo de C tiene un enlace hacia arriba y hacia la derecha con otro átomo de C. Este átomo de C tiene dos átomos de H enlazados por encima y por debajo. Este átomo de C también se enlaza a otro átomo de C que está enlazado a tres átomos de H.


(d) C6H12

Esta figura muestra una cadena de hidrocarburos con una longitud de cinco átomos de C. El primer átomo de C (de izquierda a derecha) está enlazado a dos átomos de H y también forma un doble enlace con el segundo átomo de C. El segundo átomo de C está enlazado a un átomo de H por encima de él y también está enlazado a un tercer átomo de C. El tercer átomo de C está enlazado a dos átomos de H y también a un cuarto átomo de C. El cuarto átomo de C está enlazado a un átomo de H por encima y a un átomo de C por debajo. El átomo de C enlazado al cuarto átomo de C de la cadena tiene tres átomos de H enlazados. El cuarto átomo de C también está enlazado a un quinto átomo de C que está enlazado a tres átomos de H.


(e) C6H10

Esta figura muestra una cadena de hidrocarburos con una longitud de seis átomos de C. El primer átomo de C tiene tres átomos de H enlazados, y también está enlazado a un segundo átomo de C. El segundo átomo de C tiene un átomo de H enlazado por encima y por debajo. También está enlazado a un tercer átomo de C. El tercer átomo de C forma un triple enlace con un cuarto átomo de C. El cuarto átomo de C forma un enlace simple con un quinto átomo de C que tiene dos átomos de H enlazados por encima y por debajo. El sexto átomo de C tiene tres átomos de H enlazados.


(f) C6H10

Esta figura muestra una cadena de hidrocarburos con una longitud de cinco átomos de C. El primer átomo de C (de izquierda a derecha) tiene tres átomos de H enlazados. También está enlazado a un segundo átomo de C. El segundo átomo de C forma un triple enlace con un tercer átomo de C. El tercer átomo de C forma un enlace simple con un cuarto átomo de C. El cuarto átomo de C tiene un átomo de H enlazado por encima y un átomo de C enlazado por debajo. El átomo de C enlazado por debajo del cuarto átomo de C tiene tres átomos de H enlazados. El cuarto átomo de C está enlazado a un quinto átomo de C. El quinto átomo de C tiene tres átomos de H enlazados.
11.

(a) 2,2-dibromobutano; (b) 2-cloro-2-metilpropano; (c) 2-metilbutano; (d) 1-buteno; (e) 4-fluoro-4-metil-1-octano; (f) trans-1-cloropropeno; (g) 4-metil-1-penteno

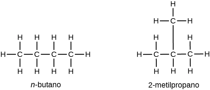
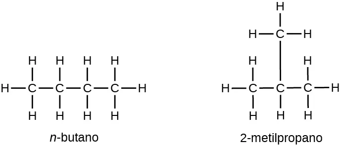
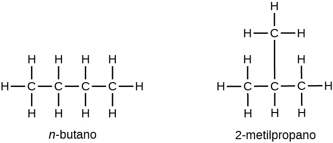
13.
Se muestran dos estructuras. El primero consiste en una cadena de cuatro átomos de C con enlaces simples. Cada átomo de C tiene dos átomos de H enlazados por encima y por debajo. Los dos átomos de C de cada extremo de la cadena tienen un tercer átomo de H enlazado. La molécula se denomina n-butano. El segundo consta de una cadena de tres átomos de C con enlaces simples con un átomo de C enlazado por encima del átomo de C del medio en la cadena. El primer átomo de C (de izquierda a derecha) tiene tres átomos de H enlazados. El segundo átomo de C tiene un átomo de H enlazado por debajo y un átomo de C enlazado por encima. El átomo de C enlazado por encima del átomo de C del medio tiene tres átomos de H enlazados. El tercer átomo de C de la cadena tiene tres átomos de H enlazados. Esta molécula se denomina 2-metilpropano.
15.
Esta figura comprende dos fórmulas estructurales. La primera estructura muestra dos átomos de C con doble enlace a C l enlazado a la parte superior derecha, C H subíndice 3 enlazado a la parte superior izquierda, y átomos de H unidos a la parte inferior derecha e inferior izquierda de la estructura. Esta estructura está marcada como cis-. La segunda estructura muestra dos átomos de carbono con doble enlace a C l unido a la parte inferior derecha, C H subíndice 3 unido a la parte superior izquierda, y átomos de H unidos a la parte superior derecha e inferior izquierda de la estructura. Esta estructura está marcada como trans-.
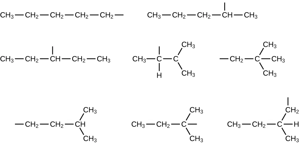
17.

(a) 2,2,4-trimetilpentano; (b) 2,2,3-trimetilpentano, 2,3,4-trimetilpentano y 2,3,3-trimetilpentano:

Se muestran tres estructuras moleculares de hidrocarburos. La primera tiene el C H subíndice 3 enlazado hacia arriba y a la derecha a un átomo de C. El átomo de C está enlazado hacia abajo y a la derecha con el C H. El C H está enlazado hacia arriba y a la derecha con el C H subíndice 2. El C H subíndice 2 está enlazado hacia abajo y a la derecha el C H subíndice 3. El átomo solitario de C está enlazado a dos grupos C H subíndice 3. El C del grupo C H está enlazado a un grupo C H subíndice 3. La segunda estructura muestra C H subíndice 3 enlazado hacia arriba y hacia la derecha al C H que está enlazado hacia abajo y hacia la derecha al C H. El C H está enlazado hacia arriba y hacia la derecha a otro C H que está enlazado hacia abajo y hacia la derecha al C H subíndice 3. El átomo de C inicial está enlazado a un grupo C H subíndice 3. El segundo átomo de C está enlazado a un grupo C H subíndice 3. El tercer átomo de C está enlazado a un grupo C H subíndice 3. La tercera estructura muestra el C H subíndice 3 enlazado hacia arriba y hacia la derecha con el C H que está enlazado hacia abajo y hacia la derecha con el C. El C está enlazado hacia arriba y hacia la derecha con el C H subíndice 2 que está enlazado hacia abajo y hacia la derecha con el C H subíndice 3. El segundo átomo de C está enlazado a un grupo C H subíndice 3. El tercer átomo de C está enlazado a dos grupos C H subíndice 3.
19.
Se proporcionan cuatro fórmulas estructurales. La primera tiene una cadena de hidrocarburos con una longitud de cuatro átomos de C. Todos los enlaces son simples. Hay nueve átomos de H unidos y un único átomo de C l unido en el extremo derecho de la estructura que está marcada como 1-clorobutano. La segunda tiene una cadena de hidrocarburos con una longitud de cuatro átomos de C. Todos los enlaces son simples. Hay nueve átomos de H unidos y un único átomo de C l unido por encima del segundo carbono, contando de izquierda a derecha. Esta estructura está marcada como 2-clorobutano. La tercera tiene una cadena de hidrocarburos con una longitud de tres átomos de C. Todos los enlaces son simples. Un único átomo de C l está enlazado por debajo del átomo de C medio y un grupo de C H subíndice 3 también está enlazado por encima del átomo de C del medio. Hay seis átomos de H unidos, y la estructura está marcada como 2-cloro-2-metilpropano. La cuarta estructura tiene una cadena de hidrocarburos con una longitud de tres átomos de C. Todos los enlaces son simples. Debajo del primer átomo de C (de izquierda a derecha) se enlaza un único átomo de C l y encima del átomo de C del medio se enlaza un grupo de C H subíndice 3. Hay seis átomos de H unidos, y la estructura está marcada como 1-cloro-2-metilpropano.
21.

A continuación, se muestra la columna vertebral del carbono y el número apropiado de átomos de hidrógeno en forma condensada:

Se muestran ocho estructuras. La primera comprende C H subíndice 3 enlazado a C H subíndice 2 enlazado a C H subíndice 2 enlazado a C H subíndice 2 enlazado a C H subíndice 2 con un enlace. La segunda muestra el C H subíndice 3 enlazado al C H subíndice 2 enlazado al C H subíndice 2 enlazado al C H subíndice 3. Hay un enlace por encima del cuarto átomo de C (de izquierda a derecha). La tercera muestra el C H subíndice 3 enlazado al C H subíndice 2 enlazado al C H subíndice 2 enlazado al C H subíndice 3. Hay un enlace por encima del tercer átomo de C (de izquierda a derecha). Los cinco ejemplos restantes implican una ramificación. La cuarta estructura muestra el C H subíndice 3 enlazado al C. El segundo átomo de C (de izquierda a derecha) tiene un enlace por encima y un enlace a un átomo de H por debajo. El tercer átomo de C está enlazado a dos grupos C H subíndice 3, así como a un átomo de H. La quinta indica un enlace que conduce a un grupo C H subíndice 2 que está enlazado a un átomo de C. Este átomo de C está enlazado a tres grupos C H subíndice 3. La sexta estructura muestra un enlace y luego C H subíndice 2 enlazado a C H subíndice 2 enlazado a C H. El C H está enlazado a dos grupos C H subíndice 3. La séptima muestra C H subíndice 3 enlazado a C H subíndice 2 enlazado a C con un enlace. El átomo de C también está enlazado a dos grupos C H subíndice 3. La estructura final muestra el C H subíndice 3 enlazado al C H subíndice 2 enlazado al C H. El C H está enlazado a un grupo C H subíndice 2 con un enlace y a un grupo C H subíndice 3.
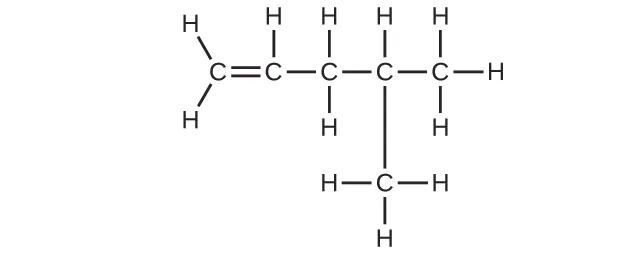
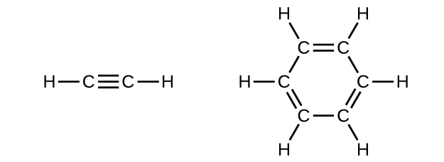
23.
Se muestran dos fórmulas estructurales. La primera muestra dos átomos de C con un triple enlace entre ellos. En cada extremo de la estructura se enlaza un único átomo de H. La segunda estructura implica un anillo de hidrocarburos de 6 átomos de C con un círculo en el centro. Hay dobles enlaces alternos entre los átomos de C. Cada átomo de C está enlazado a un único átomo de H.

En el acetileno, el enlace utiliza híbridos sp en los átomos de carbono y orbitales s en los átomos de hidrógeno. En el benceno, los átomos de carbono están hibridados sp2.

25.

(a) CHCCH2CH3+2I2CHI2CI2CH2CH3CHCCH2CH3+2I2CHI2CI2CH2CH3

Se muestra una reacción. A la izquierda, se muestra una cadena de hidrocarburos de cuatro carbonos con un triple enlace entre los átomos de C 1 y 2 que se mueve de izquierda a derecha a través de la molécula. El primer átomo de C está enlazado a un átomo de H. El segundo átomo de C se enlaza al tercer átomo de C. El tercer átomo de C está enlazado a dos átomos de H y a un cuarto átomo de C. El cuarto átomo de C está enlazado a tres átomos de H. Se muestra un signo más seguido de 2 I-I, que le sigue una flecha de reacción, luego una cadena de hidrocarburos de cuatro átomos de C con átomos de I enlazados por encima y por debajo de los átomos de C 1 y 2 de izquierda a derecha. El primer átomo de C está enlazado a un H. El tercer átomo de C está enlazado a dos átomos de H. El cuarto átomo de C está enlazado a tres átomos de H.


(b) CH3CH2CH2CH2CH3+8O25CO2+6H2OCH3CH2CH2CH2CH3+8O25CO2+6H2O

Se muestra una reacción. A la izquierda, se muestra una cadena de hidrocarburos de cinco átomos C con todos los enlaces simples entre átomos de C. Cada átomo de C está enlazado a un átomo de H por encima y por debajo de este. Los dos átomos de C de cada extremo de la cadena tienen un tercer átomo de H enlazado. Se muestra un signo más seguido de 8 O doble enlace O. A la derecha de la flecha de reacción aparece 5 seguido de O doble enlace C doble enlace O más 6 O enlazado a dos átomos de H.
27.

65,2 g

29.

9,328 ×× 102 kg

31.

(a) alcohol etílico, etanol: CH3CH2OH; (b) alcohol metílico, metanol: CH3OH; (c) etilenglicol, etanodiol: HOCH2CH2OH; (d) alcohol isopropílico, 2-propanol: CH3CH(OH)CH3; (e) glicerina, l,2,3-trihidroxipropano: HOCH2CH(OH)CH2OH

33.

(a) 1-etoxibutano, etil butil éter; (b) 1-etoxipropano, etil propil éter; (c) 1-metoxipropano, metil propil éter

35.

HOCH2CH2OH, dos grupos de alcohol; CH3OCH2OH, grupos de éter y alcohol.

37.

(a)

Se muestra una reacción. La primera molécula es un átomo de C enlazado a otro átomo de C. El primer átomo de C (de izquierda a derecha) está enlazado a dos grupos C H de subíndice 3. El segundo átomo de C está enlazado a dos átomos de H. Hay un signo de suma. La siguiente molécula muestra un átomo de H enlazado a un átomo de O enlazado a un grupo C H subíndice 3. Hay una flecha que apunta a la derecha. Esta molécula muestra un átomo de C enlazado a tres grupos C H subíndice 3. El átomo de C también está enlazado a un átomo de O que también está enlazado a un grupo C H subíndice 3.


(b) 4,593 ×× 102 L

39.

(a) CH3CH=CHCH3+H2OCH3CH2CH(OH)CH3CH3CH=CHCH3+H2OCH3CH2CH(OH)CH3

Se muestra una reacción. La primera molécula muestra un átomo de C enlazado a tres átomos de H. El primer átomo de C está enlazado a otro átomo de C. El segundo átomo de C está enlazado a un átomo de H y también forma un doble enlace con un tercer átomo de C. El tercer átomo de C está enlazado a un átomo de H y al cuarto átomo de C. El cuarto átomo de C está enlazado a tres átomos de H. Hay un signo de suma. La segunda molécula muestra un átomo de O con dos conjuntos de puntos de electrones unidos a dos átomos de H. Hay una flecha apuntando a la derecha que está marcada como "ácido". La nueva molécula es un átomo de C enlazado a tres átomos de H y a un segundo átomo de C. El segundo átomo de C está enlazado a dos átomos de H y a un tercer átomo de C. El tercer átomo de C está enlazado a un átomo de H y a un átomo de O con dos conjuntos de puntos de electrones. El átomo de O está enlazado a un átomo de H. El tercer átomo de C está enlazado a un cuarto átomo de C que está enlazado a tres átomos de H.


(b) CH3CH2OHCH2=CH2+H2OCH3CH2OHCH2=CH2+H2O

Se muestra una reacción. La primera molécula muestra un átomo de C que está enlazado a tres átomos de H y a un segundo átomo de C. El segundo átomo de C está enlazado también a un átomo de O. El átomo de O tiene dos conjuntos de puntos de electrones y está enlazado a un átomo de H. Hay una flecha que apunta a la derecha. La siguiente molécula muestra dos átomos de C que forman un doble enlace entre sí. Cada átomo de C está enlazado a dos átomos de H. Hay un signo de suma. La siguiente molécula muestra un átomo de O con dos conjuntos de puntos de electrones enlazados a dos átomos de H.
41.

(a)

Se muestra una estructura molecular con un grupo C H subíndice 3 enlazado hacia arriba y a la derecha a un grupo C H subíndice 2 que está enlazado hacia abajo y a la izquierda a un átomo de C. Este átomo de C está en rojo. El átomo de C forma un doble enlace con un átomo de O arriba y a la derecha. También forma un enlace simple con un grupo O H directamente debajo de este.


(b)

Se muestra una estructura molecular con un grupo C H subíndice 3 enlazado hacia arriba y a la derecha a un grupo C H subíndice 2 que está enlazado hacia abajo y a la izquierda a un grupo C. Este átomo de C está en rojo. El átomo de C forma un doble enlace con un átomo de O arriba y a la derecha. Directamente debajo del átomo de C hay un enlace simple con un átomo de H.


(c)

Se muestra una estructura molecular con un grupo C H de subíndice 3 que está enlazado hacia arriba y a la derecha a un grupo C H subíndice 2. El grupo C H subíndice 2 está enlazado hacia abajo y a la izquierda a un átomo de C. Este átomo de C está en rojo. El átomo de C forma un doble enlace con un átomo de O arriba y a la derecha. El átomo de C también forma un enlace simple con un grupo C H de subíndice 3 que aparece directamente debajo de este.
43.

Una cetona contiene un grupo unido a dos átomos de carbono adicionales; por lo tanto, tiene que haber un mínimo de tres átomos de carbono.

45.

Dado que ambos son ácidos carboxílicos, cada uno contiene el grupo funcional –COOH y sus características. La diferencia es que la cadena de hidrocarburos de un ácido graso saturado no contiene dobles ni triples enlaces, mientras que la cadena de hidrocarburos de un ácido graso insaturado contiene uno o más enlaces múltiples.

47.

(a) CH3CH(OH)CH3: todos los carbonos son tetraédricos; (b) CH3COCH3:CH3COCH3: los carbonos de los extremos son tetraédricos y el carbono central es trigonal plano; (c) CH3OCH3: todos son tetraédricos; (d) CH3COOH: el carbono metilo es tetraédrico y el carbono ácido es trigonal plano; (e) CH3CH2CH2CH(CH3)CHCH2: todos son tetraédricos, salvo por los dos carbonos de la derecha, que son trigonal planos.

49.
Una estructura muestra entre corchetes un átomo de C con átomos de H enlazados por encima, por debajo y a la izquierda, y un átomo de C enlazado a la derecha. Este segundo átomo de C tiene un átomo de O con doble enlace por encima y a la derecha y un segundo átomo de O con enlace simple por debajo y a la derecha. Fuera de los corchetes, a la derecha, hay un signo menos en superíndice. Le sigue una flecha de doble punta. A la derecha de esta flecha entre corchetes hay un átomo de C con átomos de H enlazados por encima, por debajo y a la izquierda, y un átomo de C enlazado a la derecha. Este segundo átomo de C tiene un átomo de O con enlace simple por encima y a la derecha y un segundo átomo de O con doble enlace por debajo y a la derecha. Fuera de los corchetes, a la derecha, hay un signo menos en superíndice. Los átomos de O de doble enlace tienen dos pares de puntos de electrones y los átomos de O con enlace simple tienen 3 pares de puntos de electrones.
51.

(a) CH3CH2CH2CH2OH+CH3C(O)OHCH3C(O)OCH2CH2CH2CH3+H2O:CH3CH2CH2CH2OH+CH3C(O)OHCH3C(O)OCH2CH2CH2CH3+H2O:

Se muestra una reacción. La primera estructura molecular muestra un átomo de C unido a tres átomos de H y a otro átomo de C. Este segundo átomo de C está enlazado a dos átomos de H y a un tercer átomo de C. Este tercer átomo de C está enlazado a dos átomos de H y a un cuarto átomo de C. Este átomo de C está enlazado a dos átomos de H y a un átomo de O. El átomo de O está enlazado a un átomo de H. El átomo de O tiene dos pares de puntos de electrones. Hay un signo de suma. La siguiente estructura molecular muestra un átomo de C enlazado a tres átomos de H y a otro átomo de C. Este átomo de C forma un doble enlace con un átomo de O y un enlace simple con otro átomo de O. El átomo de O forma un enlace con un átomo de H. Ambos átomos de O tienen dos pares de puntos de electrones. Hay una flecha de reacción que apunta a la derecha. La siguiente estructura molecular muestra un átomo de C enlazado a tres átomos de H y a otro átomo de C. Este segundo átomo de C forma un doble enlace con un átomo de O y un enlace simple con otro átomo de O. Este segundo átomo de O está enlazado a un átomo de C, que está enlazado a dos átomos de H y a otro átomo de C. Este átomo de C está enlazado a dos átomos de H y a otro de C. El átomo de C está enlazado a tres átomos de H. Los átomos de O tienen dos pares de puntos de electrones. Hay un signo de suma. La estructura molecular final muestra un átomo de O enlazado a dos átomos de H. El átomo de O tiene dos pares de puntos de electrones.


(b) 2CH3CH2COOH+CaCO3(CH3CH2COO)2Ca+CO2+H2O:2CH3CH2COOH+CaCO3(CH3CH2COO)2Ca+CO2+H2O:

Se muestra una reacción. Hay un 2 delante de la primera estructura molecular. Esta primera estructura muestra un átomo de C enlazado a tres átomos de H y a otro átomo de C. Este segundo átomo de C está enlazado a dos átomos de H y a un tercer átomo de C. Este tercer átomo de C forma un doble enlace con un átomo de O y un enlace simple con otro átomo de O. Este segundo átomo de O forma un enlace simple con un átomo de H. Ambos átomos de O tienen dos pares de puntos de electrones. Hay un signo más y C con superíndice 2 y el signo más. Al lado del átomo de C, está el superíndice 2 con el signo más en un par de corchetes. Dentro de los corchetes hay un átomo de C central enlazado a tres átomos de O. Dos átomos de O tienen tres pares de puntos de electrones, y un átomo de O tiene dos pares de puntos de electrones. El signo 2 menos aparece como superíndice de los corchetes. Hay una flecha que apunta a la derecha. Hay un 2 y un par de corchetes. Dentro de los corchetes hay un átomo de C enlazado a tres átomos de H y a otro átomo de C. Este átomo de C está enlazado a dos átomos de H y a un tercer átomo de C. Este átomo de C está enlazado a dos átomos de O. Un átomo de O tiene dos pares de puntos de electrones, y un átomo de O tiene tres pares de puntos de electrones. Fuera de los corchetes hay un signo menos en superíndice. C con superíndice 2+ también está junto a los corchetes. Hay un signo de suma. La siguiente estructura molecular muestra un átomo de C que forma dos conjuntos de dobles enlaces con dos átomos de O. Cada átomo de O tiene dos pares de puntos de electrones. Hay un signo más. La estructura molecular final muestra un átomo de O enlazado a dos átomos de H. El átomo de O tiene dos pares de puntos de electrones.
53.
La figura muestra tres estructuras moleculares, marcadas como compuesto A, compuesto B y compuesto C. En el A, se muestra un átomo de C enlazado a los tres átomos de H y a un segundo átomo de C. Este átomo de C está enlazado a un átomo de H. Arriba y a la derecha está enlazado a otro átomo de C que está enlazado a tres átomos de H. Abajo y a la izquierda está enlazado a otro átomo de C que está enlazado a dos átomos de H y a un átomo de O. El átomo de O está enlazado a un átomo de H. El átomo de O tiene dos pares de puntos de electrones. En la B, un átomo de C está enlazado a tres átomos de H y a otro átomo de C. Este segundo átomo de C está enlazado a un átomo de H y a un átomo de O. El átomo de O tiene dos pares de puntos de electrones y está enlazado a un átomo de H. El segundo átomo de C está enlazado al tercer átomo de C que está enlazado a dos átomos de H. El tercer átomo de C está enlazado a un cuarto átomo de C que está enlazado a tres átomos de H. En la C, un átomo de C está enlazado a tres átomos de H y a otro átomo de C. Este átomo de C está enlazado por encima a otro átomo de C, que está enlazado a tres átomos de H, y por debajo a un átomo de C, que está enlazado a tres átomos de H. También está enlazado a un átomo de O, que está enlazado a un átomo de H. El átomo de O tiene dos pares de puntos de electrones.
55.

Trimetil amina: piramidal trigonal, sp3; ion de trimetil amonio: tetraédrico, sp3

57.
Se muestran dos estructuras: una para la piridina, que es trigonal plana y está marcada como s p superíndice 2. La otra es para el ion de piridio, que también es trigonal plana y está marcada como s p superíndice 2. Ambas estructuras tienen un anillo hexagonal compuesto por 5 átomos de C y 1 átomo de N que se muestra en la parte superior de cada estructura. En ambos anillos, los dobles enlaces se alternan y los átomos de H simples se extienden hacia fuera desde cada átomo de C. La única diferencia estructural entre las dos estructuras es el par de electrones no compartido en el átomo de N de la piridina. Esto se sustituye por un átomo de H enlazado en el ion de piridio que se representa entre corchetes con un signo más en superíndice fuera de los corchetes.
59.

CH3NH2+H3O+CH3NH3++H2OCH3NH2+H3O+CH3NH3++H2O

Se muestra una reacción. La primera estructura a la izquierda exhibe un átomo de C con átomos de H enlazados por encima, por debajo y a la izquierda. A la derecha, se enlaza un átomo de N que tiene un par de electrones no compartidos por encima y átomos de H enlazados a su derecha y por debajo. Esta estructura va seguida de un signo más. A continuación, entre corchetes, hay una estructura con un átomo de O y átomos de H enlazados por encima, a la izquierda y por debajo. Se muestra un único par de electrones no compartido en el átomo de O. Fuera de los corchetes hay un signo más en superíndice. A esto le sigue un signo más y C l rodeado de 4 pares de puntos de electrones y un signo menos en superíndice. Tras una flecha de reacción hay otra estructura entre corchetes. Esta estructura muestra un átomo de C con átomos de H enlazados por encima, por debajo y a la izquierda. A la derecha se enlaza un átomo de N que tiene átomos de H enlazados por encima, por debajo y a la derecha. Fuera de los corchetes hay un signo más en superíndice. A continuación, está C l rodeado de 4 pares de puntos de electrones y el signo menos en superíndice. A esto le sigue otro signo más y un átomo de H que forma un enlace simple con un átomo de O al que se enlaza otro átomo de H por encima. El átomo de O tiene dos conjuntos de puntos de electrones.
61.

CH3CH = CHCH3(sp2) + Cl CH3CH(Cl)H(Cl)CH3(sp3); 2C6H6(sp2) + 15O2 12CO2(sp) + 6H2O

63.

El carbono en CO32-, inicialmente en sp2, cambia de hibridación a sp en CO2.

Cita/Atribución

Este libro no puede ser utilizado en la formación de grandes modelos de lenguaje ni incorporado de otra manera en grandes modelos de lenguaje u ofertas de IA generativa sin el permiso de OpenStax.

¿Desea citar, compartir o modificar este libro? Este libro utiliza la Creative Commons Attribution License y debe atribuir a OpenStax.

Información de atribución
  • Si redistribuye todo o parte de este libro en formato impreso, debe incluir en cada página física la siguiente atribución:
    Acceso gratis en https://openstax.org/books/qu%C3%ADmica-2ed/pages/1-introduccion
  • Si redistribuye todo o parte de este libro en formato digital, debe incluir en cada vista de la página digital la siguiente atribución:
    Acceso gratuito en https://openstax.org/books/qu%C3%ADmica-2ed/pages/1-introduccion
Información sobre citas

© 19 may. 2022 OpenStax. El contenido de los libros de texto que produce OpenStax tiene una licencia de Creative Commons Attribution License . El nombre de OpenStax, el logotipo de OpenStax, las portadas de libros de OpenStax, el nombre de OpenStax CNX y el logotipo de OpenStax CNX no están sujetos a la licencia de Creative Commons y no se pueden reproducir sin el previo y expreso consentimiento por escrito de Rice University.