Omitir e ir al contenidoIr a la página de accesibilidadMenú de atajos de teclado
Logo de OpenStax
Química 2ed

Capítulo 19

Química 2edCapítulo 19
Buscar términos clave o texto.

1.

(a) Sc: [Ar]4s23d1; (b) Ti: [Ar]4s23d2; (c) Cr: [Ar]4s13d5; (d) Fe: [Ar]4s23d6; (e) Ru: [Kr]5s24d6

3.

(a) La: [Xe]6s25d1, La3+: [Xe]; (b) Sm: [Xe]6s24f6, Sm3+: [Xe]4f5; (c) Lu: [Xe]6s24f145d1, Lu3+: [Xe]4f14

5.

Se utiliza el Al porque es el agente reductor más fuerte y la única opción de la lista que puede proporcionar una fuerza impulsora suficiente para convertir el La(III) en La.

7.

Mo

9.

La escoria de CaSiO3 es menos densa que el hierro fundido, por lo que puede separarse fácilmente. Además, la capa de escoria flotante crea una barrera que impide que el hierro fundido se exponga al O2, que volvería a oxidar el Fe a Fe2O3.

11.

2,57 %

13.

0,167 V

15.

E°= -0,6 V, E° es negativo por lo que esta reducción no es espontánea. E°= +1,1 V

17.

(a) Fe(s)+2H3O+(aq)+SO42−(aq)Fe2+(aq)+SO42−(aq)+H2(g)+2H2O(l);Fe(s)+2H3O+(aq)+SO42−(aq)Fe2+(aq)+SO42−(aq)+H2(g)+2H2O(l); (b) FeCl3(aq)+3Na+(aq)+3OH(aq)Fe(OH)3(s)+3Na+(aq)+3Cl+(aq);FeCl3(aq)+3Na+(aq)+3OH(aq)Fe(OH)3(s)+3Na+(aq)+3Cl+(aq); (c) Mn(OH)2 (s)+2H3O+(aq)+2Br(aq)Mn2+(aq)+2Br(aq)+4H2O(l);Mn(OH)2 (s)+2H3O+(aq)+2Br(aq)Mn2+(aq)+2Br(aq)+4H2O(l); (d) 4Cr(s)+3O2(g)2Cr2O3(s);4Cr(s)+3O2(g)2Cr2O3(s); (e) Mn2O3(s)+6H3O+(aq)+6Cl(aq)2MnCl3(s)+9H2O(l);Mn2O3(s)+6H3O+(aq)+6Cl(aq)2MnCl3(s)+9H2O(l); (f) Ti(s)+xsF2(g)TiF4(g)Ti(s)+xsF2(g)TiF4(g)

19.

(a) Cr2(SO4)3(aq)+2Zn(s)+2H3O+(aq)2Zn2+(aq)+H2(g)+2H2O(l)+2Cr2+(aq)+3SO42−(aq);Cr2(SO4)3(aq)+2Zn(s)+2H3O+(aq)2Zn2+(aq)+H2(g)+2H2O(l)+2Cr2+(aq)+3SO42−(aq); (b) 4TiCl3(s)+CrO42−(aq)+8H+(aq)4Ti4+(aq)+Cr(s)+4H2O(l)+12Cl(aq);4TiCl3(s)+CrO42−(aq)+8H+(aq)4Ti4+(aq)+Cr(s)+4H2O(l)+12Cl(aq); (c) En solución ácida entre pH 2 y pH 6, CrO42−CrO42− forma HCrO4,HCrO4, que está en equilibrio con el ion de dicromato. La reacción es 2HCrO4(aq)Cr2O72−(aq)+H2O(l).2HCrO4(aq)Cr2O72−(aq)+H2O(l). A otros pH acídicos, la reacción es 3Cr2+(aq)+CrO42−(aq)+8H3O+(aq)4Cr3+(aq)+12H2O(l);3Cr2+(aq)+CrO42−(aq)+8H3O+(aq)4Cr3+(aq)+12H2O(l); (d) 8CrO3(s)+9Mn(s)Δ4Cr2O3(s)+3Mn3O4(s);8CrO3(s)+9Mn(s)Δ4Cr2O3(s)+3Mn3O4(s); (e) CrO(s)+2H3O+(aq)+2NO3(aq)Cr2+(aq)+2NO3(aq)+3H2O(l);CrO(s)+2H3O+(aq)+2NO3(aq)Cr2+(aq)+2NO3(aq)+3H2O(l); (f) CrCl3(s)+3NaOH(aq)Cr(OH)3(s)+3Na+(aq)+3Cl(aq)CrCl3(s)+3NaOH(aq)Cr(OH)3(s)+3Na+(aq)+3Cl(aq)

21.

(a) 3Fe(s)+4H2O(g)Fe3O4(s)+4H2(g);3Fe(s)+4H2O(g)Fe3O4(s)+4H2(g); (b) 3NaOH(aq)+Fe(NO3)3(aq)H2OFe(OH)3(s)+3Na+(aq)+3NO3(aq);3NaOH(aq)+Fe(NO3)3(aq)H2OFe(OH)3(s)+3Na+(aq)+3NO3(aq); (c) MnO4−+5Fe2++8H+Mn2++5Fe3+4H2O;MnO4−+5Fe2++8H+Mn2++5Fe3+4H2O; (d) Fe(s)+2H3O+(aq)+SO42−(aq)Fe2+(aq)+SO42−(aq)+H2(g)+2H2O(l);Fe(s)+2H3O+(aq)+SO42−(aq)Fe2+(aq)+SO42−(aq)+H2(g)+2H2O(l); (e) 4Fe2+(aq)+O2(g)+4HNO3(aq)4Fe3+(aq)+2H2O(l)+4NO3(aq);4Fe2+(aq)+O2(g)+4HNO3(aq)4Fe3+(aq)+2H2O(l)+4NO3(aq); (f) FeCO3(s)+2HClO4(aq)Fe(ClO4)2 (aq)+H2O(l)+CO2(g);FeCO3(s)+2HClO4(aq)Fe(ClO4)2 (aq)+H2O(l)+CO2(g); (g) 3Fe(s)+2O2(g)ΔFe3O4(s)3Fe(s)+2O2(g)ΔFe3O4(s)

23.

A medida que se añade CN-,
Ag+(aq)+CN(aq)AgCN(s)Ag+(aq)+CN(aq)AgCN(s)
A medida que se añade más CN-,
Ag+(aq)+2CN(aq)[Ag(CN)2](aq)AgCN(s)+CN(aq)[Ag(CN)2](aq)Ag+(aq)+2CN(aq)[Ag(CN)2](aq)AgCN(s)+CN(aq)[Ag(CN)2](aq)

25.

(a) Sc3+; (b) Ti4+; (c) V5+; (d) Cr6+; (e) Mn4+; (f) Fe2+ y Fe3+; (g) Co2+ y Co3+; (h) Ni2+; (i) Cu+

27.

(a) 4, [Zn(OH)4]2-; (b) 6, [Pd(CN)6]2-; (c) 2, [AuCl2]-; (d) 4, [Pt(NH3)2Cl2]; (e) 6, K[Cr(NH3)2Cl4]; (f) 6, [Co(NH3)6][Cr(CN)6]; (g) 6, [Co(en)2Br2]NO3

29.

(a) [Pt(H2O)2Br2]:

Se muestran dos estructuras. En el centro de cada uno hay un átomo de P t. La estructura de la izquierda está marcada como "cis". A partir de este átomo, un enlace simple, representado por una cuña discontinua, se extiende desde un vértice en el átomo de P t hacia arriba y hacia la derecha hasta un átomo de B r. Del mismo modo, un enlace simple, representado por una cuña sólida, se extiende desde un vértice en el átomo de P t hacia abajo y hacia la derecha hasta un segundo átomo de B r. Otro enlace simple, representado por una cuña discontinua, se extiende desde un vértice en el átomo de P t hacia arriba y hacia la izquierda hasta el átomo de O de un grupo H subíndice 2 O. Del mismo modo, un enlace simple, representado por una cuña sólida, se extiende desde un vértice en el átomo P t hacia abajo y hacia la izquierda hasta un segundo átomo O de un grupo H subíndice 2 O. La estructura de la derecha está marcada como "trans". Desde el átomo central de P t, un enlace simple, representado por una cuña discontinua, se extiende desde un vértice en el átomo de P t hacia arriba y hacia la derecha hasta un átomo de B r. Del mismo modo, un enlace simple, representado por una cuña sólida, se extiende desde un vértice en el átomo de P t hacia abajo y hacia la derecha hasta el átomo de O de un grupo H subíndice 2 O. Otro enlace simple, representado por una cuña discontinua, se extiende desde un vértice en el átomo de P t hacia arriba y hacia la izquierda hasta el átomo de O de un segundo grupo H subíndice 2 O. Del mismo modo, un enlace simple, representado por una cuña sólida, se extiende desde un vértice en el átomo de P t hacia abajo y hacia la izquierda hasta un segundo átomo de B r.;


(b) [Pt(NH3)(py)(Cl)(Br)]:

Se muestran tres estructuras. En el centro de cada uno hay un átomo de P t. Desde este átomo en la primera estructura de la izquierda, un enlace simple, representado por una cuña discontinua, se extiende desde un vértice en el átomo de P t hacia arriba y hacia la derecha hasta un átomo C l. Del mismo modo, un enlace simple, representado por una cuña sólida, se extiende desde un vértice en el átomo de P t hacia abajo y hacia la derecha hasta el átomo de N de un grupo N H subíndice 3. Otro enlace simple, representado por una cuña discontinua, se extiende desde un vértice en el átomo de P t hacia arriba y a la izquierda hasta un átomo de B r. Del mismo modo, un enlace simple, representado por una cuña sólida, se extiende desde un vértice en el átomo de P t hacia abajo y hacia la izquierda hasta p y. La estructura del medio muestra un enlace simple, representado por una cuña discontinua que se extiende desde un vértice en el átomo de P t hacia arriba y hacia la derecha hasta un átomo de B r. Del mismo modo, un enlace simple, representado por una cuña sólida, se extiende desde un vértice en el átomo de P t hacia abajo y hacia la derecha hasta el átomo de N de un grupo N H subíndice 3. Otro enlace simple, representado por una cuña discontinua, se extiende desde un vértice en el átomo de P t hacia arriba y a la izquierda hasta p y. Del mismo modo, un enlace simple, representado por una cuña sólida, se extiende desde un vértice en el átomo de P t hacia abajo y a la izquierda hasta un átomo de C l. La tercera estructura muestra un enlace simple, representado por una cuña discontinua, que se extiende desde un vértice en el átomo de P t hacia arriba y hacia la derecha hasta p y. Del mismo modo, un enlace simple, representado por una cuña sólida, se extiende desde un vértice en el átomo de P t hacia abajo y hacia la derecha hasta el átomo de N de un grupo N H subíndice 3. Otro enlace simple, representado por una cuña discontinua, se extiende desde un vértice en el átomo de P t hacia arriba y a la izquierda hasta un átomo de C l. Del mismo modo, un enlace simple, representado por una cuña sólida, se extiende desde un vértice en el átomo de P t hacia abajo y hacia la izquierda hasta un átomo de B r.;


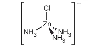
(c) [Zn(NH3)3Cl]+ :

Dentro de los corchetes, un átomo central de Z n está enlazado a un átomo de C l y a tres átomos de N en grupos de subíndice 3 de N H en una disposición espacial tetraédrica. Se utilizan segmentos de líneas cortas para representar un enlace que se extiende por encima hasta el átomo de C l y hacia abajo y a la izquierda hasta el N del grupo N H subíndice 3 del átomo Z n. Se utiliza una cuña discontinua con el vértice en el átomo de Z n y el extremo ancho en el átomo de N de un grupo N H subíndice 3 para representar un enlace hacia abajo y a la derecha del átomo de Z n. El enlace final está indicado por una cuña sólida similar dirigida de nuevo hacia abajo y un poco a la derecha del centro por debajo del átomo de Z n al N de un grupo N H subíndice 3. Fuera de los corchetes se muestra un signo más en superíndice.;


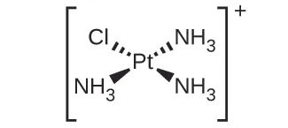
(d) [Pt(NH3)3Cl]+ :

Esta estructura muestra un enlace simple, representado por una cuña discontinua, que se extiende desde un vértice en el átomo de P t hacia arriba y hacia la derecha hasta el átomo de N de un grupo N H subíndice 3. Del mismo modo, dos enlaces simples, representados por cuñas sólidas, se extienden desde los vértices en el átomo de P t hacia abajo y hacia la derecha y hacia abajo y hacia la izquierda hasta los átomos de N de los grupos N H subíndice 3. Otro enlace simple, representado por una cuña discontinua, se extiende desde un vértice en el átomo de P t hacia arriba y a la izquierda hasta un átomo de C l. Esta estructura está encerrada entre corchetes con el signo más en superíndice que aparece a la derecha de los corchetes;


(e) [Ni(H2O)4Cl2]:

Se muestran dos estructuras. El primero está marcado como "trans". Debajo de esta marcación, entre corchetes, hay un átomo central N i. Desde el átomo de N i, los segmentos de línea indican los enlaces con los átomos de C l por encima y por debajo. Por encima y a la derecha y a la izquierda, las cuñas discontinuas con su vértice en el átomo de N i que se ensanchan a medida que se alejan del átomo indican enlaces con átomos de O de grupos de H subíndice 2 O. Del mismo modo, las cuñas sólidas situadas debajo, tanto a la derecha como a la izquierda, indican los enlaces con los átomos de O de los grupos H subíndice 2 O. Esta estructura se encuentra entre corchetes. La segunda estructura está marcada como "cis". Dentro de los corchetes hay un átomo central de N i. A partir del átomo de N i, los segmentos de línea indican enlaces con un átomo de C l por encima y con el átomo de O de un grupo de H subíndice 2 O por debajo. Por encima y a la derecha y a la izquierda, las cuñas discontinuas indican los enlaces con átomos de O de los grupos H subíndice 2 O. Del mismo modo, una cuña sólida abajo a la derecha indica un enlace con un átomo de C l y una cuña sólida abajo a la izquierda indica un enlace con los átomos de O de un grupo H subíndice 2 O. Esta estructura también está entre corchetes.


(f) [Co(C2O4)2Cl2]3-:

Esta figura consta de tres estructuras. La primera estructura consta de un átomo central de C o que tiene cuatro átomos de O y dos átomos de C l unidos con enlaces simples. Estos enlaces se indican con segmentos de línea que se extienden por encima y por debajo, cuñas discontinuas que se extienden hacia arriba y hacia la izquierda y la derecha, y cuñas sólidas que se extienden por debajo y hacia la izquierda y la derecha. Los átomos de C l se unen en la parte superior y en la parte superior izquierda de la estructura. Los cuatro enlaces restantes se extienden desde el átomo central de C o hasta los átomos de O. Cada uno de los átomos de O está conectado a los átomos de C, que a su vez están conectados con dobles enlaces a los átomos de O que se extienden hacia fuera desde el átomo central de C o. Estos átomos de C están conectados en pares con enlaces indicados por segmentos de línea, para formar dos anillos en la estructura. Toda esta estructura se encuentra entre corchetes. Fuera de los corchetes, a la derecha, hay un superíndice 3 con el signo menos. La segunda estructura, que parece la imagen especular de la primera estructura, consta de un átomo central de C o que tiene cuatro átomos de O y dos átomos de C l unidos con enlaces simples. Estos enlaces se indican con segmentos de línea que se extienden por encima y por debajo, cuñas discontinuas que se extienden hacia arriba y hacia la izquierda y la derecha, y cuñas sólidas que se extienden por debajo y hacia la izquierda y la derecha. Los átomos de C l se unen en la parte superior y en la parte superior derecha de la estructura. Los cuatro enlaces restantes se extienden desde el átomo central de C o hasta los átomos de O. Cada uno de los átomos de O está conectado a los átomos de C, que a su vez están conectados con dobles enlaces a los átomos de O que se extienden hacia fuera desde el átomo central de C o. Estos átomos de C están conectados en pares con enlaces indicados por segmentos de línea, para formar dos anillos en la estructura. Toda esta estructura se encuentra entre corchetes. Fuera de los corchetes, a la derecha, está el superíndice 3 con el signo menos. La tercera estructura consta de un átomo central de C o que tiene cuatro átomos de O y dos átomos de C l unidos con enlaces simples. Estos enlaces se indican con segmentos de línea que se extienden por encima y por debajo, cuñas discontinuas que se extienden hacia arriba y hacia la izquierda y la derecha, y cuñas sólidas que se extienden por debajo y hacia la izquierda y la derecha. Los átomos de C l se enlazan en la parte superior e inferior de la estructura. Los cuatro enlaces restantes se extienden desde el átomo central de C o hasta los átomos de O. Cada uno de los átomos de O está conectado a átomos de C que, a su vez, están doblemente enlazados a átomos de O que se extienden hacia fuera desde el átomo central de C o. Estos átomos de C están conectados en pares con enlaces indicados por segmentos de línea, para formar dos anillos en la estructura. Toda esta estructura se encuentra entre corchetes. Fuera de los corchetes, a la derecha, hay un superíndice 3 con el signo menos. Hay anillos de átomos en lados opuestos de la estructura final.
31.

(a) ion de tricarbonatocobaltato(III); (b) ion de tetraaminecobre(II); (c) sulfato de tetraaminoibromocobalto(III); (d) tetraaminoplatino(II) tetracloroplatinato(II); (e) nitrato de tris-(etilendiamina)cromo(III); (f) diaminoibromopaladio(II); (g) pentaclorocuprato(II) de potasio; (h) diaminoiclorozinc(II)

33.

(a) ninguno; (b) ninguno; (c) Los dos ligandos de Cl pueden ser cis o trans. Cuando son cis, también habrá un isómero óptico.

35.
Esta figura muestra ocho estructuras, cada una entre corchetes en tres filas. La primera fila contiene tres estructuras, la segunda contiene tres estructuras y la tercera contiene dos estructuras. Estas se describen en orden creciente, de izquierda a derecha y de arriba a abajo en la figura. Cada una consta de un átomo central de C o con segmentos de línea que indican los enlaces por encima y por debajo de este. Arriba y a la izquierda y a la derecha, las cuñas discontinuas con vértices en el átomo de C o que se ensanchan a medida que se alejan del átomo indican enlaces simples. Del mismo modo, las cuñas sólidas situadas debajo y a la izquierda y a la derecha indican enlaces simples. Fuera de cada estructura entre corchetes, a la derecha, se identifica un elemento o grupo entre corchetes como superíndice. En la primera estructura, el átomo de C de un grupo C N está enlazado al átomo de C o. Los 5 enlaces restantes son con átomos de C l. C N aparece entre corchetes como superíndice fuera de la estructura. En la segunda estructura, el átomo N de un grupo C N está enlazado al átomo de C o. Los 5 enlaces restantes son con átomos de C l. C N aparece entre corchetes como superíndice fuera de la estructura. En la tercera estructura, el átomo de C de dos grupos C N está enlazado al átomo de C o en la parte superior e inferior de la estructura. Los 4 enlaces restantes son con átomos de C l. C l aparece entre corchetes como superíndice fuera de la estructura. En la cuarta estructura, el átomo C de un grupo C N está enlazado al átomo de C o en la parte superior y al átomo de N de un grupo C N que está unido en la parte inferior de la estructura. Los 4 enlaces restantes son con átomos de C l. C l aparece entre corchetes como superíndice fuera de la estructura. En la quinta estructura, el átomo de N de dos grupos C N está enlazado al átomo de C o en la parte superior e inferior de la estructura. Los 4 enlaces restantes son con átomos de C l. C l aparece entre corchetes como superíndice fuera de la estructura. En la sexta estructura, el átomo de C de dos grupos C N está enlazado al átomo de C o en la parte superior y superior derecha de la estructura. Los 4 enlaces restantes son con átomos de C l. C l aparece entre corchetes como superíndice fuera de la estructura. En la séptima estructura, el átomo de C de un grupo C N está unido al átomo de C o en la parte superior de la estructura y el átomo de N de un grupo C N está enlazado en la parte superior derecha de la estructura. Los 4 enlaces restantes son con átomos de C l. C l aparece entre corchetes como superíndice fuera de la estructura. En la octava estructura, el átomo de N de dos grupos C N está enlazado al átomo de C o en la parte superior y superior derecha de la estructura. Los 4 enlaces restantes son con átomos de C l. C l aparece entre corchetes como superíndice fuera de la estructura.
37.


Se muestra un diagrama con dos columnas y dos filas de cuadrados delineados en amarillo. La primera columna está marcada como "[F e ( N O subíndice 2 ) subíndice 6 ] superíndice 4 signo menos". La segunda está marcada como "[F e F subíndice 6 ] superíndice 3 signo menos". En la columna de la izquierda se muestran tres cuadrados vinculados y delineados en amarillo. Cada uno de los cuadrados contiene dos medias flechas, una que apunta hacia arriba y otra hacia abajo. En una fila, justo encima, aparecen dos cuadrados vinculados que están vacíos. Debajo de la columna aparece la marcación "bajo espín, diamagnético, P inferior a delta mayúscula subíndice oct". En la columna de la derecha, se muestran tres cuadrados vinculados y delineados en amarillo. El cuadrado de la izquierda contiene dos medias flechas, una que apunta hacia arriba y otra hacia abajo. Los otros dos cuadrados contienen cada uno una media flecha que apunta hacia arriba. En una fila justo encima, se muestran dos cuadrados vinculados que contienen cada uno una media flecha que apunta hacia arriba. Debajo de la columna aparece la marcación "alto espín, paramagnético, P mayor que delta mayúscula subíndice oct".
39.

[Co(H2O)6]Cl2 con tres electrones desapareados.

41.

(a) 4; (b) 2; (c) 1; (d) 5; (e) 0

43.

(a) [Fe(CN)6]4-; (b) [Co(NH3)6]3+; (c) [Mn(CN)6]4-

45.

El complejo carece de electrones desapareados. El complejo no tiene ningún isómero geométrico, pero la imagen especular no es superpuesta, por lo que tiene un isómero óptico.

47.

No. Au+ tiene un subnivel 5d completo.

Cita/Atribución

Este libro no puede ser utilizado en la formación de grandes modelos de lenguaje ni incorporado de otra manera en grandes modelos de lenguaje u ofertas de IA generativa sin el permiso de OpenStax.

¿Desea citar, compartir o modificar este libro? Este libro utiliza la Creative Commons Attribution License y debe atribuir a OpenStax.

Información de atribución
  • Si redistribuye todo o parte de este libro en formato impreso, debe incluir en cada página física la siguiente atribución:
    Acceso gratis en https://openstax.org/books/qu%C3%ADmica-2ed/pages/1-introduccion
  • Si redistribuye todo o parte de este libro en formato digital, debe incluir en cada vista de la página digital la siguiente atribución:
    Acceso gratuito en https://openstax.org/books/qu%C3%ADmica-2ed/pages/1-introduccion
Información sobre citas

© 19 may. 2022 OpenStax. El contenido de los libros de texto que produce OpenStax tiene una licencia de Creative Commons Attribution License . El nombre de OpenStax, el logotipo de OpenStax, las portadas de libros de OpenStax, el nombre de OpenStax CNX y el logotipo de OpenStax CNX no están sujetos a la licencia de Creative Commons y no se pueden reproducir sin el previo y expreso consentimiento por escrito de Rice University.