Skip to ContentGo to accessibility pageKeyboard shortcuts menu
OpenStax Logo
Prealgebra

9.3 Use Properties of Angles, Triangles, and the Pythagorean Theorem

Prealgebra9.3 Use Properties of Angles, Triangles, and the Pythagorean Theorem
Search for key terms or text.

Learning Objectives

By the end of this section, you will be able to:
  • Use the properties of angles
  • Use the properties of triangles
  • Use the Pythagorean Theorem

Be Prepared 9.3

Before you get started, take this readiness quiz.

  1. Solve: x+3+6=11.x+3+6=11.
    If you missed this problem, review Example 8.6.
  2. Solve: a45=43.a45=43.
    If you missed this problem, review Example 6.42.
  3. Simplify: 36+64.36+64.
    If you missed this problem, review Example 5.72.

So far in this chapter, we have focused on solving word problems, which are similar to many real-world applications of algebra. In the next few sections, we will apply our problem-solving strategies to some common geometry problems.

Use the Properties of Angles

Are you familiar with the phrase ‘do a 180’?180’? It means to turn so that you face the opposite direction. It comes from the fact that the measure of an angle that makes a straight line is 180180 degrees. See Figure 9.5.

The image is a straight line with an arrow on each end. There is a dot in the center. There is an arrow pointing from one side of the dot to the other, and the angle is marked as 180 degrees.
Figure 9.5

An angle is formed by two rays that share a common endpoint. Each ray is called a side of the angle and the common endpoint is called the vertex. An angle is named by its vertex. In Figure 9.6, AA is the angle with vertex at point A.A. The measure of AA is written mA.mA.

The image is an angle made up of two rays. The angle is labeled with letter A.
Figure 9.6 AA is the angle with vertex at pointA.pointA.

We measure angles in degrees, and use the symbol °° to represent degrees. We use the abbreviation mm to for the measure of an angle. So if AA is 27°,27°, we would write mA=27.mA=27.

If the sum of the measures of two angles is 180°,180°, then they are called supplementary angles. In Figure 9.7, each pair of angles is supplementary because their measures add to 180°.180°. Each angle is the supplement of the other.

Part a shows a 120 degree angle next to a 60 degree angle. Together, the angles form a straight line. Below the image, it reads 120 degrees plus 60 degrees equals 180 degrees. Part b shows a 45 degree angle attached to a 135 degree angle. Together, the angles form a straight line. Below the image, it reads 45 degrees plus 135 degrees equals 180 degrees.
Figure 9.7 The sum of the measures of supplementary angles is 180°.180°.

If the sum of the measures of two angles is 90°,90°, then the angles are complementary angles. In Figure 9.8, each pair of angles is complementary, because their measures add to 90°.90°. Each angle is the complement of the other.

Part a shows a 50 degree angle next to a 40 degree angle. Together, the angles form a right angle. Below the image, it reads 50 degrees plus 40 degrees equals 90 degrees. Part b shows a 60 degree angle attached to a 30 degree angle. Together, the angles form a right angle. Below the image, it reads 60 degrees plus 30 degrees equals 90 degrees.
Figure 9.8 The sum of the measures of complementary angles is 90°.90°.

Supplementary and Complementary Angles

If the sum of the measures of two angles is 180°,180°, then the angles are supplementary.

If AA and BB are supplementary, then mA+mB=180°.mA+mB=180°.

If the sum of the measures of two angles is 90°,90°, then the angles are complementary.

If AA and BB are complementary, then mA+mB=90°.mA+mB=90°.

In this section and the next, you will be introduced to some common geometry formulas. We will adapt our Problem Solving Strategy for Geometry Applications. The geometry formula will name the variables and give us the equation to solve.

In addition, since these applications will all involve geometric shapes, it will be helpful to draw a figure and then label it with the information from the problem. We will include this step in the Problem Solving Strategy for Geometry Applications.

How To

Use a Problem Solving Strategy for Geometry Applications.

  1. Step 1. Read the problem and make sure you understand all the words and ideas. Draw a figure and label it with the given information.
  2. Step 2. Identify what you are looking for.
  3. Step 3. Name what you are looking for and choose a variable to represent it.
  4. Step 4. Translate into an equation by writing the appropriate formula or model for the situation. Substitute in the given information.
  5. Step 5. Solve the equation using good algebra techniques.
  6. Step 6. Check the answer in the problem and make sure it makes sense.
  7. Step 7. Answer the question with a complete sentence.

The next example will show how you can use the Problem Solving Strategy for Geometry Applications to answer questions about supplementary and complementary angles.

Example 9.16

An angle measures 40°.40°. Find its supplement, and its complement.

Try It 9.31

An angle measures 25°.25°. Find its: supplement complement.

Try It 9.32

An angle measures 77°.77°. Find its: supplement complement.

Did you notice that the words complementary and supplementary are in alphabetical order just like 9090 and 180180 are in numerical order?

Example 9.17

Two angles are supplementary. The larger angle is 30°30° more than the smaller angle. Find the measure of both angles.

Try It 9.33

Two angles are supplementary. The larger angle is 100°100° more than the smaller angle. Find the measures of both angles.

Try It 9.34

Two angles are complementary. The larger angle is 40°40° more than the smaller angle. Find the measures of both angles.

Use the Properties of Triangles

What do you already know about triangles? Triangle have three sides and three angles. Triangles are named by their vertices. The triangle in Figure 9.9 is called ΔABC,ΔABC, read ‘triangle ABCABC’. We label each side with a lower case letter to match the upper case letter of the opposite vertex.

The vertices of the triangle on the left are labeled A, B, and C. The sides are labeled a, b, and c.
Figure 9.9 ΔABCΔABC has vertices A,B,andCA,B,andC and sides a,b,andc.a,b,andc.

The three angles of a triangle are related in a special way. The sum of their measures is 180°.180°.

mA+mB+mC=180°mA+mB+mC=180°

Sum of the Measures of the Angles of a Triangle

For any ΔABC,ΔABC, the sum of the measures of the angles is 180°.180°.

mA+mB+mC=180°mA+mB+mC=180°

Example 9.18

The measures of two angles of a triangle are 55°55° and 82°.82°. Find the measure of the third angle.

Try It 9.35

The measures of two angles of a triangle are 31°31° and 128°.128°. Find the measure of the third angle.

Try It 9.36

A triangle has angles of 49°49° and 75°.75°. Find the measure of the third angle.

Right Triangles

Some triangles have special names. We will look first at the right triangle. A right triangle has one 90°90° angle, which is often marked with the symbol shown in Figure 9.10.

A right triangle is shown. The right angle is marked with a box and labeled 90 degrees.
Figure 9.10

If we know that a triangle is a right triangle, we know that one angle measures 90°90° so we only need the measure of one of the other angles in order to determine the measure of the third angle.

Example 9.19

One angle of a right triangle measures 28°.28°. What is the measure of the third angle?

Try It 9.37

One angle of a right triangle measures 56°.56°. What is the measure of the other angle?

Try It 9.38

One angle of a right triangle measures 45°.45°. What is the measure of the other angle?

In the examples so far, we could draw a figure and label it directly after reading the problem. In the next example, we will have to define one angle in terms of another. So we will wait to draw the figure until we write expressions for all the angles we are looking for.

Example 9.20

The measure of one angle of a right triangle is 20°20° more than the measure of the smallest angle. Find the measures of all three angles.

Try It 9.39

The measure of one angle of a right triangle is 50°50° more than the measure of the smallest angle. Find the measures of all three angles.

Try It 9.40

The measure of one angle of a right triangle is 30°30° more than the measure of the smallest angle. Find the measures of all three angles.

Similar Triangles

When we use a map to plan a trip, a sketch to build a bookcase, or a pattern to sew a dress, we are working with similar figures. In geometry, if two figures have exactly the same shape but different sizes, we say they are similar figures. One is a scale model of the other. The corresponding sides of the two figures have the same ratio, and all their corresponding angles are have the same measures.

The two triangles in Figure 9.11 are similar. Each side of ΔABCΔABC is four times the length of the corresponding side of ΔXYZΔXYZ and their corresponding angles have equal measures.

Two triangles are shown. They appear to be the same shape, but the triangle on the right is smaller. The vertices of the triangle on the left are labeled A, B, and C. The side across from A is labeled 16, the side across from B is labeled 20, and the side across from C is labeled 12. The vertices of the triangle on the right are labeled X, Y, and Z. The side across from X is labeled 4, the side across from Y is labeled 5, and the side across from Z is labeled 3. Beside the triangles, it says that the measure of angle A equals the measure of angle X, the measure of angle B equals the measure of angle Y, and the measure of angle C equals the measure of angle Z. Below this is the proportion 16 over 4 equals 20 over 5 equals 12 over 3.
Figure 9.11 ΔABCΔABC and ΔXYZΔXYZ are similar triangles. Their corresponding sides have the same ratio and the corresponding angles have the same measure.

Properties of Similar Triangles

If two triangles are similar, then their corresponding angle measures are equal and their corresponding side lengths are in the same ratio.

...

The length of a side of a triangle may be referred to by its endpoints, two vertices of the triangle. For example, in ΔABC:ΔABC:

the lengthacan also be writtenBCthe lengthbcan also be writtenACthe lengthccan also be writtenABthe lengthacan also be writtenBCthe lengthbcan also be writtenACthe lengthccan also be writtenAB

We will often use this notation when we solve similar triangles because it will help us match up the corresponding side lengths.

Example 9.21

ΔABCΔABC and ΔXYZΔXYZ are similar triangles. The lengths of two sides of each triangle are shown. Find the lengths of the third side of each triangle.

Two triangles are shown. They appear to be the same shape, but the triangle on the right is smaller. The vertices of the triangle on the left are labeled A, B, and C. The side across from A is labeled a, the side across from B is labeled 3.2, and the side across from C is labeled 4. The vertices of the triangle on the right are labeled X, Y, and Z. The side across from X is labeled 4.5, the side across from Y is labeled y, and the side across from Z is labeled 3.

Try It 9.41

ΔABCΔABC is similar to ΔXYZ.ΔXYZ. Find a.a.

Two triangles are shown. They appear to be the same shape, but the triangle on the right is larger The vertices of the triangle on the left are labeled A, B, and C. The side across from A is labeled a, the side across from B is labeled 15, and the side across from C is labeled 17. The vertices of the triangle on the right are labeled X, Y, and Z. The side across from X is labeled 12, the side across from Y is labeled y, and the side across from Z is labeled 25.5.

Try It 9.42

ΔABCΔABC is similar to ΔXYZ.ΔXYZ. Find y.y.

Two triangles are shown. They appear to be the same shape, but the triangle on the right is larger The vertices of the triangle on the left are labeled A, B, and C. The side across from A is labeled a, the side across from B is labeled 15, and the side across from C is labeled 17. The vertices of the triangle on the right are labeled X, Y, and Z. The side across from X is labeled 12, the side across from Y is labeled y, and the side across from Z is labeled 25.5.

Use the Pythagorean Theorem

The Pythagorean Theorem is a special property of right triangles that has been used since ancient times. It is named after the Greek philosopher and mathematician Pythagoras who lived around 500500 BCE.

Remember that a right triangle has a 90°90° angle, which we usually mark with a small square in the corner. The side of the triangle opposite the 90°90° angle is called the hypotenuse, and the other two sides are called the legs. See Figure 9.12.

Three right triangles are shown. Each has a box representing the right angle. The first one has the right angle in the lower left corner, the next in the upper left corner, and the last one at the top. The two sides touching the right angle are labeled “leg” in each triangle. The sides across from the right angles are labeled “hypotenuse.”
Figure 9.12 In a right triangle, the side opposite the 90°90° angle is called the hypotenuse and each of the other sides is called a leg.

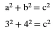
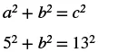
The Pythagorean Theorem tells how the lengths of the three sides of a right triangle relate to each other. It states that in any right triangle, the sum of the squares of the two legs equals the square of the hypotenuse.

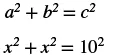
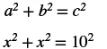
The Pythagorean Theorem

In any right triangle ΔABC,ΔABC,

a2+b2=c2a2+b2=c2

where cc is the length of the hypotenuse aa and bb are the lengths of the legs.

A right triangle is shown. The right angle is marked with a box. Across from the box is side c. The sides touching the right angle are marked a and b.

To solve problems that use the Pythagorean Theorem, we will need to find square roots. In Simplify and Use Square Roots we introduced the notation mm and defined it in this way:

Ifm=n2,thenm=nforn0Ifm=n2,thenm=nforn0

For example, we found that 2525 is 55 because 52=25.52=25.

We will use this definition of square roots to solve for the length of a side in a right triangle.

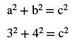
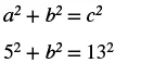
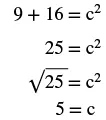
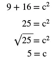
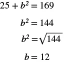
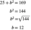
Example 9.22

Use the Pythagorean Theorem to find the length of the hypotenuse.

Right triangle with legs labeled as 3 and 4.

Try It 9.43

Use the Pythagorean Theorem to find the length of the hypotenuse.

A right triangle is shown. The right angle is marked with a box. Across from the box is side c. The sides touching the right angle are marked 6 and 8.

Try It 9.44

Use the Pythagorean Theorem to find the length of the hypotenuse.

A right triangle is shown. The right angle is marked with a box. The side across from the right angle is labeled as c. One of the sides touching the right angle is labeled as 15, the other is labeled “8”.

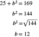
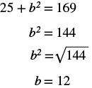
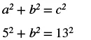
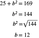
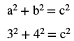
Example 9.23

Use the Pythagorean Theorem to find the length of the longer leg.

Right triangle is shown with one leg labeled as 5 and hypotenuse labeled as 13.

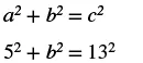
Try It 9.45

Use the Pythagorean Theorem to find the length of the leg.

A right triangle is shown. The right angle is marked with a box. The side across from the right angle is labeled as 17. One of the sides touching the right angle is labeled as 15, the other is labeled “b”.

Try It 9.46

Use the Pythagorean Theorem to find the length of the leg.

A right triangle is shown. The right angle is marked with a box. The side across from the right angle is labeled as 15. One of the sides touching the right angle is labeled as 9, the other is labeled “b”.

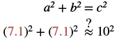
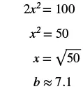
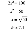
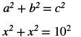
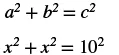
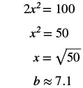
Example 9.24

Kelvin is building a gazebo and wants to brace each corner by placing a 10-inch10-inch wooden bracket diagonally as shown. How far below the corner should he fasten the bracket if he wants the distances from the corner to each end of the bracket to be equal? Approximate to the nearest tenth of an inch.

A picture of a gazebo is shown. Beneath the roof is a rectangular shape. There are two braces from the top to each side. The brace on the left is labeled as 10 inches. From where the brace hits the side to the roof is labeled as x.

Try It 9.47

John puts the base of a 13-ft13-ft ladder 55 feet from the wall of his house. How far up the wall does the ladder reach?

A picture of a house is shown. There is a ladder leaning against the side of the house. The ladder is labeled 13 feet. The horizontal distance from the ladder's base to the house is labeled 5 feet.

Try It 9.48

Randy wants to attach a 17-ft17-ft string of lights to the top of the 15-ft15-ft mast of his sailboat. How far from the base of the mast should he attach the end of the light string?

A picture of a boat is shown. The height of the center pole is labeled 15 feet. The string of lights is at a diagonal from the top of the pole and is labeled 17 feet.

Section 9.3 Exercises

Practice Makes Perfect

Use the Properties of Angles

In the following exercises, find the supplement and the complement of the given angle.

81.

53° 53°

82.

16° 16°

83.

29° 29°

84.

72° 72°

In the following exercises, use the properties of angles to solve.

85.

Find the supplement of a 135°135° angle.

86.

Find the complement of a 38°38° angle.

87.

Find the complement of a 27.5°27.5° angle.

88.

Find the supplement of a 109.5°109.5° angle.

89.

Two angles are supplementary. The larger angle is 56°56° more than the smaller angle. Find the measures of both angles.

90.

Two angles are supplementary. The smaller angle is 36°36° less than the larger angle. Find the measures of both angles.

91.

Two angles are complementary. The smaller angle is 34°34° less than the larger angle. Find the measures of both angles.

92.

Two angles are complementary. The larger angle is 52°52° more than the smaller angle. Find the measures of both angles.

Use the Properties of Triangles

In the following exercises, solve using properties of triangles.

93.

The measures of two angles of a triangle are 26°26° and 98°.98°. Find the measure of the third angle.

94.

The measures of two angles of a triangle are 61°61° and 84°.84°. Find the measure of the third angle.

95.

The measures of two angles of a triangle are 105°105° and 31°.31°. Find the measure of the third angle.

96.

The measures of two angles of a triangle are 47°47° and 72°.72°. Find the measure of the third angle.

97.

One angle of a right triangle measures 33°.33°. What is the measure of the other angle?

98.

One angle of a right triangle measures 51°.51°. What is the measure of the other angle?

99.

One angle of a right triangle measures 22.5°.22.5°. What is the measure of the other angle?

100.

One angle of a right triangle measures 36.5°.36.5°. What is the measure of the other angle?

101.

The two smaller angles of a right triangle have equal measures. Find the measures of all three angles.

102.

The measure of the smallest angle of a right triangle is 20°20° less than the measure of the other small angle. Find the measures of all three angles.

103.

The angles in a triangle are such that the measure of one angle is twice the measure of the smallest angle, while the measure of the third angle is three times the measure of the smallest angle. Find the measures of all three angles.

104.

The angles in a triangle are such that the measure of one angle is 20°20° more than the measure of the smallest angle, while the measure of the third angle is three times the measure of the smallest angle. Find the measures of all three angles.

Find the Length of the Missing Side

In the following exercises, ΔABCΔABC is similar to ΔXYZ.ΔXYZ. Find the length of the indicated side.

Two triangles are shown. They appear to be the same shape, but the triangle on the right is smaller. The vertices of the triangle on the left are labeled A, B, and C. The side across from A is labeled 9, the side across from B is labeled b, and the side across from C is labeled 15. The vertices of the triangle on the right are labeled X, Y, and Z. The side across from X is labeled x, the side across from Y is labeled 8, and the side across from Z is labeled 10.
105.

side bb

106.

side xx

On a map, San Francisco, Las Vegas, and Los Angeles form a triangle whose sides are shown in the figure below. The actual distance from Los Angeles to Las Vegas is 270270 miles.

A triangle is shown. The vertices are labeled San Francisco, Las Vegas, and Los Angeles. The side across from San Francisco is labeled 1 inch, the side across from Las Vegas is labeled 1.3 inches, and the side across from Los Angeles is labeled 2.1 inches.
107.

Find the distance from Los Angeles to San Francisco.

108.

Find the distance from San Francisco to Las Vegas.

Use the Pythagorean Theorem

In the following exercises, use the Pythagorean Theorem to find the length of the hypotenuse.

109.
A right triangle is shown. The right angle is marked with a box. One of the sides touching the right angle is labeled as 9, the other as 12.
110.
A right triangle is shown. The right angle is marked with a box. One of the sides touching the right angle is labeled as 16, the other as 12.
111.
A right triangle is shown. The right angle is marked with a box. One of the sides touching the right angle is labeled as 15, the other as 20.
112.
A right triangle is shown. The right angle is marked with a box. One of the sides touching the right angle is labeled as 5, the other as 12.

Find the Length of the Missing Side

In the following exercises, use the Pythagorean Theorem to find the length of the missing side. Round to the nearest tenth, if necessary.

113.
A right triangle is shown. The right angle is marked with a box. The side across from the right angle is labeled as 10. One of the sides touching the right angle is labeled as 6.
114.
A right triangle is shown. The right angle is marked with a box. The side across from the right angle is labeled as 17. One of the sides touching the right angle is labeled as 8.
115.
A right triangle is shown. The right angle is marked with a box. The side across from the right angle is labeled as 13. One of the sides touching the right angle is labeled as 5.
116.
A right triangle is shown. The right angle is marked with a box. The side across from the right angle is labeled as 20. One of the sides touching the right angle is labeled as 16.
117.
A right triangle is shown. The right angle is marked with a box. The side across from the right angle is labeled as 13. One of the sides touching the right angle is labeled as 8.
118.
A right triangle is shown. The right angle is marked with a box. Both of the sides touching the right angle are labeled as 6.
119.
A right triangle is shown. The right angle is marked with a box. The side across from the right angle is labeled as 17. One of the sides touching the right angle is labeled as 15.
120.
A right triangle is shown. The right angle is marked with a box. The side across from the right angle is labeled as 7. One of the sides touching the right angle is labeled as 5.

In the following exercises, solve. Approximate to the nearest tenth, if necessary.

121.

A 13-foot13-foot string of lights will be attached to the top of a 12-foot12-foot pole for a holiday display. How far from the base of the pole should the end of the string of lights be anchored?

A vertical pole is shown with a string of lights going from the top of the pole to the ground. The pole is labeled 12 feet. The string of lights is labeled 13 feet.
122.

Pam wants to put a banner across her garage door to congratulate her son on his college graduation. The garage door is 1212 feet high and 1616 feet wide. How long should the banner be to fit the garage door?

A picture of a house is shown. The rectangular garage is 12 feet high and 16 feet wide. A blue banner goes diagonally across the garage.
123.

Chi is planning to put a path of paving stones through her flower garden. The flower garden is a square with sides of 1010 feet. What will the length of the path be?

A square garden is shown. One side is labeled as 10 feet. There is a diagonal path of blue circular stones going from the lower left corner to the upper right corner.
124.

Brian borrowed a 20-foot20-foot extension ladder to paint his house. If he sets the base of the ladder 66 feet from the house, how far up will the top of the ladder reach?

A picture of a house is shown with a ladder leaning against it. The ladder is labeled 20 feet tall. The horizontal distance from the house to the base of the ladder is 6 feet.

Everyday Math

125.

Building a scale model Joe wants to build a doll house for his daughter. He wants the doll house to look just like his house. His house is 3030 feet wide and 3535 feet tall at the highest point of the roof. If the dollhouse will be 2.52.5 feet wide, how tall will its highest point be?

126.

Measurement A city engineer plans to build a footbridge across a lake from point XX to point Y,Y, as shown in the picture below. To find the length of the footbridge, she draws a right triangle XYZ,XYZ, with right angle at X.X. She measures the distance from XX to Z,800Z,800 feet, and from YY to Z,1,000Z,1,000 feet. How long will the bridge be?

A lake is shown. Point Y is on one side of the lake, directly across from point X. Point Z is on the same side of the lake as point X.

Writing Exercises

127.

Write three of the properties of triangles from this section and then explain each in your own words.

128.

Explain how the figure below illustrates the Pythagorean Theorem for a triangle with legs of length 33 and 4.4.

Three squares are shown, forming a right triangle in the center. Each square is divided into smaller squares. The smallest square is divided into 9 small squares. The medium square is divided into 16 small squares. The large square is divided into 25 small squares.

Self Check

After completing the exercises, use this checklist to evaluate your mastery of the objectives of this section.

.

What does this checklist tell you about your mastery of this section? What steps will you take to improve?

Citation/Attribution

This book may not be used in the training of large language models or otherwise be ingested into large language models or generative AI offerings without OpenStax's permission.

Want to cite, share, or modify this book? This book uses the Creative Commons Attribution License and you must attribute OpenStax.

Attribution information
  • If you are redistributing all or part of this book in a print format, then you must include on every physical page the following attribution:

    Access for free at https://openstax.org/books/prealgebra/pages/1-introduction

  • If you are redistributing all or part of this book in a digital format, then you must include on every digital page view the following attribution:

    Access for free at https://openstax.org/books/prealgebra/pages/1-introduction

Citation information

© Feb 9, 2022 OpenStax. Textbook content produced by OpenStax is licensed under a Creative Commons Attribution License . The OpenStax name, OpenStax logo, OpenStax book covers, OpenStax CNX name, and OpenStax CNX logo are not subject to the Creative Commons license and may not be reproduced without the prior and express written consent of Rice University.