Skip to ContentGo to accessibility pageKeyboard shortcuts menu
OpenStax Logo
Prealgebra

6.5 Solve Proportions and their Applications

Prealgebra6.5 Solve Proportions and their Applications
Search for key terms or text.

Learning Objectives

By the end of this section, you will be able to:

  • Use the definition of proportion
  • Solve proportions
  • Solve applications using proportions
  • Write percent equations as proportions
  • Translate and solve percent proportions

Be Prepared 6.5

Before you get started, take this readiness quiz.

  1. Simplify: 134.134.
    If you missed this problem, review Example 4.44.
  2. Solve: x4=20.x4=20.
    If you missed this problem, review Example 4.99.
  3. Write as a rate: Sale rode his bike 2424 miles in 22 hours.
    If you missed this problem, review Example 5.63.

Use the Definition of Proportion

In the section on Ratios and Rates we saw some ways they are used in our daily lives. When two ratios or rates are equal, the equation relating them is called a proportion.

Proportion

A proportion is an equation of the form ab=cd,ab=cd, where b0,d0.b0,d0.

The proportion states two ratios or rates are equal. The proportion is read aa is to b,b, as cc is to d”.d”.

The equation 12=4812=48 is a proportion because the two fractions are equal. The proportion 12=4812=48 is read 11 is to 22 as 44 is to 8”.8”.

If we compare quantities with units, we have to be sure we are comparing them in the right order. For example, in the proportion 20 students1 teacher=60 students3 teachers20 students1 teacher=60 students3 teachers we compare the number of students to the number of teachers. We put students in the numerators and teachers in the denominators.

Example 6.40

Write each sentence as a proportion:

  1. 33 is to 77 as 1515 is to 35.35.
  2. 55 hits in 88 at bats is the same as 3030 hits in 4848 at-bats.
  3. $1.50$1.50 for 66 ounces is equivalent to $2.25$2.25 for 99 ounces.

Try It 6.79

Write each sentence as a proportion:

  1. 55 is to 99 as 2020 is to 36.36.
  2. 77 hits in 1111 at-bats is the same as 2828 hits in 4444 at-bats.
  3. $2.50$2.50 for 88 ounces is equivalent to $3.75$3.75 for 1212 ounces.

Try It 6.80

Write each sentence as a proportion:

  1. 66 is to 77 as 3636 is to 42.42.
  2. 88 adults for 3636 children is the same as 1212 adults for 5454 children.
  3. $3.75$3.75 for 66 ounces is equivalent to $2.50$2.50 for 44 ounces.

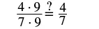
Look at the proportions 12=4812=48 and 23=69.23=69. From our work with equivalent fractions we know these equations are true. But how do we know if an equation is a proportion with equivalent fractions if it contains fractions with larger numbers?

To determine if a proportion is true, we find the cross products of each proportion. To find the cross products, we multiply each denominator with the opposite numerator (diagonally across the equal sign). The results are called a cross products because of the cross formed. The cross products of a proportion are equal.

The figure shows cross multiplication of two proportions. There is the proportion 1 is to 2 as 4 is to 8. Arrows are shown diagonally across the equal sign to show cross products. The equations formed by cross multiplying are 8 · 1 = 8 and 2 · 4 = 8. There is the proportion 2 is to 3 as 6 is to 9. Arrows are shown diagonally across the equal sign to show cross products. The equations formed by cross multiplying are 9 · 2 = 18 and 3 · 6 = 18.

Cross Products of a Proportion

For any proportion of the form ab=cd,ab=cd, where b0,d0,b0,d0, its cross products are equal.

No Alt Text

Cross products can be used to test whether a proportion is true. To test whether an equation makes a proportion, we find the cross products. If they are the equal, we have a proportion.

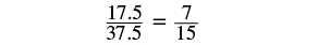
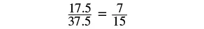
Example 6.41

Determine whether each equation is a proportion:

  1. 49=122849=1228
  2. 17.537.5=71517.537.5=715

Try It 6.81

Determine whether each equation is a proportion:

  1. 79=547279=5472
  2. 24.545.5=71324.545.5=713

Try It 6.82

Determine whether each equation is a proportion:

  1. 89=567389=5673
  2. 28.552.5=81528.552.5=815

Solve Proportions

To solve a proportion containing a variable, we remember that the proportion is an equation. All of the techniques we have used so far to solve equations still apply. In the next example, we will solve a proportion by multiplying by the Least Common Denominator (LCD) using the Multiplication Property of Equality.

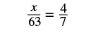
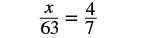
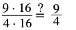
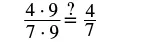
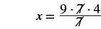
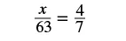
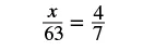
Example 6.42

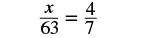
Solve: x63=47.x63=47.

Try It 6.83

Solve the proportion: n84=1112.n84=1112.

Try It 6.84

Solve the proportion: y96=1312.y96=1312.

When the variable is in a denominator, we’ll use the fact that the cross products of a proportion are equal to solve the proportions.

We can find the cross products of the proportion and then set them equal. Then we solve the resulting equation using our familiar techniques.

Example 6.43

Solve: 144a=94.144a=94.

Try It 6.85

Solve the proportion: 91b=75.91b=75.

Try It 6.86

Solve the proportion: 39c=138.39c=138.

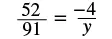
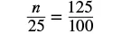
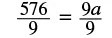
Example 6.44

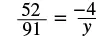
Solve: 5291=−4y.5291=−4y.

Try It 6.87

Solve the proportion: 8498=−6x.8498=−6x.

Try It 6.88

Solve the proportion: −7y=105135.−7y=105135.

Solve Applications Using Proportions

The strategy for solving applications that we have used earlier in this chapter, also works for proportions, since proportions are equations. When we set up the proportion, we must make sure the units are correct—the units in the numerators match and the units in the denominators match.

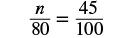
Example 6.45

When pediatricians prescribe acetaminophen to children, they prescribe 55 milliliters (ml) of acetaminophen for every 2525 pounds of the child’s weight. If Zoe weighs 8080 pounds, how many milliliters of acetaminophen will her doctor prescribe?

Try It 6.89

Pediatricians prescribe 55 milliliters (ml) of acetaminophen for every 2525 pounds of a child’s weight. How many milliliters of acetaminophen will the doctor prescribe for Emilia, who weighs 6060 pounds?

Try It 6.90

For every 11 kilogram (kg) of a child’s weight, pediatricians prescribe 1515 milligrams (mg) of a fever reducer. If Isabella weighs 1212 kg, how many milligrams of the fever reducer will the pediatrician prescribe?

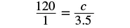
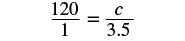
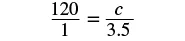
Example 6.46

One brand of microwave popcorn has 120120 calories per serving. A whole bag of this popcorn has 3.53.5 servings. How many calories are in a whole bag of this microwave popcorn?

Try It 6.91

Marissa loves the Caramel Macchiato at the coffee shop. The 1616 oz. medium size has 240240 calories. How many calories will she get if she drinks the large 2020 oz. size?

Try It 6.92

Yaneli loves Starburst candies, but wants to keep her snacks to 100100 calories. If the candies have 160160 calories for 88 pieces, how many pieces can she have in her snack?

Example 6.47

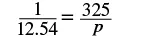
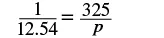
Josiah went to Mexico for spring break and changed $325$325 dollars into Mexican pesos. At that time, the exchange rate had $1$1 U.S. is equal to 12.5412.54 Mexican pesos. How many Mexican pesos did he get for his trip?

Try It 6.93

Yurianna is going to Europe and wants to change $800$800 dollars into Euros. At the current exchange rate, $1$1 US is equal to 0.7380.738 Euro. How many Euros will she have for her trip?

Try It 6.94

Corey and Nicole are traveling to Japan and need to exchange $600$600 into Japanese yen. If each dollar is 94.194.1 yen, how many yen will they get?

Write Percent Equations As Proportions

Previously, we solved percent equations by applying the properties of equality we have used to solve equations throughout this text. Some people prefer to solve percent equations by using the proportion method. The proportion method for solving percent problems involves a percent proportion. A percent proportion is an equation where a percent is equal to an equivalent ratio.

For example, 60%=6010060%=60100 and we can simplify 60100=35.60100=35. Since the equation 60100=3560100=35 shows a percent equal to an equivalent ratio, we call it a percent proportion. Using the vocabulary we used earlier:

amountbase=percent100amountbase=percent100
35=6010035=60100

Percent Proportion

The amount is to the base as the percent is to 100.100.

amountbase=percent100amountbase=percent100

If we restate the problem in the words of a proportion, it may be easier to set up the proportion:

The amount is to the base as the percent is to one hundred.The amount is to the base as the percent is to one hundred.

We could also say:

The amount out of the base is the same as the percent out of one hundred.The amount out of the base is the same as the percent out of one hundred.

First we will practice translating into a percent proportion. Later, we’ll solve the proportion.

Example 6.48

Translate to a proportion. What number is 75%75% of 90?90?

Try It 6.95

Translate to a proportion: What number is 60%60% of 105?105?

Try It 6.96

Translate to a proportion: What number is 40%40% of 85?85?

Example 6.49

Translate to a proportion. 1919 is 25%25% of what number?

Try It 6.97

Translate to a proportion: 3636 is 25%25% of what number?

Try It 6.98

Translate to a proportion: 2727 is 36%36% of what number?

Example 6.50

Translate to a proportion. What percent of 2727 is 9?9?

Try It 6.99

Translate to a proportion: What percent of 5252 is 39?39?

Try It 6.100

Translate to a proportion: What percent of 9292 is 23?23?

Translate and Solve Percent Proportions

Now that we have written percent equations as proportions, we are ready to solve the equations.

Example 6.51

Translate and solve using proportions: What number is 45%45% of 80?80?

Try It 6.101

Translate and solve using proportions: What number is 65%65% of 40?40?

Try It 6.102

Translate and solve using proportions: What number is 85%85% of 40?40?

In the next example, the percent is more than 100,100, which is more than one whole. So the unknown number will be more than the base.

Example 6.52

Translate and solve using proportions: 125%125% of 2525 is what number?

Try It 6.103

Translate and solve using proportions: 125%125% of 6464 is what number?

Try It 6.104

Translate and solve using proportions: 175%175% of 8484 is what number?

Percents with decimals and money are also used in proportions.

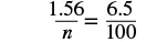
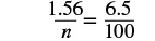
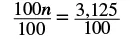
Example 6.53

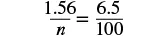
Translate and solve: 6.5%6.5% of what number is $1.56?$1.56?

Try It 6.105

Translate and solve using proportions: 8.5%8.5% of what number is $3.23?$3.23?

Try It 6.106

Translate and solve using proportions: 7.25%7.25% of what number is $4.64?$4.64?

Example 6.54

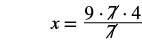
Translate and solve using proportions: What percent of 7272 is 9?9?

Try It 6.107

Translate and solve using proportions: What percent of 7272 is 27?27?

Try It 6.108

Translate and solve using proportions: What percent of 9292 is 23?23?

Section 6.5 Exercises

Practice Makes Perfect

Use the Definition of Proportion

In the following exercises, write each sentence as a proportion.

244.

44 is to 1515 as 3636 is to 135.135.

245.

77 is to 99 as 3535 is to 45.45.

246.

1212 is to 55 as 9696 is to 40.40.

247.

1515 is to 88 as 7575 is to 40.40.

248.

55 wins in 77 games is the same as 115115 wins in 161161 games.

249.

44 wins in 99 games is the same as 3636 wins in 8181 games.

250.

88 campers to 11 counselor is the same as 4848 campers to 66 counselors.

251.

66 campers to 11 counselor is the same as 4848 campers to 88 counselors.

252.

$9.36$9.36 for 1818 ounces is the same as $2.60$2.60 for 55 ounces.

253.

$3.92$3.92 for 88 ounces is the same as $1.47$1.47 for 33 ounces.

254.

$18.04$18.04 for 1111 pounds is the same as $4.92$4.92 for 33 pounds.

255.

$12.42$12.42 for 2727 pounds is the same as $5.52$5.52 for 1212 pounds.

In the following exercises, determine whether each equation is a proportion.

256.

7 15 = 56 120 7 15 = 56 120

257.

5 12 = 45 108 5 12 = 45 108

258.

11 6 = 21 16 11 6 = 21 16

259.

9 4 = 39 34 9 4 = 39 34

260.

12 18 = 4.99 7.56 12 18 = 4.99 7.56

261.

9 16 = 2.16 3.89 9 16 = 2.16 3.89

262.

13.5 8.5 = 31.05 19.55 13.5 8.5 = 31.05 19.55

263.

10.1 8.4 = 3.03 2.52 10.1 8.4 = 3.03 2.52

Solve Proportions

In the following exercises, solve each proportion.

264.

x 56 = 7 8 x 56 = 7 8

265.

n91=813n91=813

266.

49 63 = z 9 49 63 = z 9

267.

56 72 = y 9 56 72 = y 9

268.

5 a = 65 117 5 a = 65 117

269.

4 b = 64 144 4 b = 64 144

270.

98 154 = −7 p 98 154 = −7 p

271.

72 156 = −6 q 72 156 = −6 q

272.

a −8 = −42 48 a −8 = −42 48

273.

b−7=−3042b−7=−3042

274.

2.6 3.9 = c 3 2.6 3.9 = c 3

275.

2.73.6=d42.73.6=d4

276.

2.7 j = 0.9 0.2 2.7 j = 0.9 0.2

277.

2.8k=2.11.52.8k=2.11.5

278.

1 2 1 = m 8 1 2 1 = m 8

279.

1 3 3 = 9 n 1 3 3 = 9 n

Solve Applications Using Proportions

In the following exercises, solve the proportion problem.

280.

Pediatricians prescribe 55 milliliters (ml) of acetaminophen for every 2525 pounds of a child’s weight. How many milliliters of acetaminophen will the doctor prescribe for Jocelyn, who weighs 4545 pounds?

281.

Brianna, who weighs 66 kg, just received her shots and needs a pain killer. The pain killer is prescribed for children at 1515 milligrams (mg) for every 11 kilogram (kg) of the child’s weight. How many milligrams will the doctor prescribe?

282.

At the gym, Carol takes her pulse for 1010 sec and counts 1919 beats. How many beats per minute is this? Has Carol met her target heart rate of 140140 beats per minute?

283.

Kevin wants to keep his heart rate at 160160 beats per minute while training. During his workout he counts 2727 beats in 1010 seconds. How many beats per minute is this? Has Kevin met his target heart rate?

284.

A new energy drink advertises 106106 calories for 88 ounces. How many calories are in 1212 ounces of the drink?

285.

One 1212 ounce can of soda has 150150 calories. If Josiah drinks the big 3232 ounce size from the local mini-mart, how many calories does he get?

286.

Karen eats 1212 cup of oatmeal that counts for 22 points on her weight loss program. Her husband, Joe, can have 33 points of oatmeal for breakfast. How much oatmeal can he have?

287.

An oatmeal cookie recipe calls for 1212 cup of butter to make 44 dozen cookies. Hilda needs to make 1010 dozen cookies for the bake sale. How many cups of butter will she need?

288.

Janice is traveling to Canada and will change $250$250 US dollars into Canadian dollars. At the current exchange rate, $1$1 US is equal to $1.01$1.01 Canadian. How many Canadian dollars will she get for her trip?

289.

Todd is traveling to Mexico and needs to exchange $450$450 into Mexican pesos. If each dollar is worth 12.2912.29 pesos, how many pesos will he get for his trip?

290.

Steve changed $600$600 into 480480 Euros. How many Euros did he receive per US dollar?

291.

Martha changed $350$350 US into 385385 Australian dollars. How many Australian dollars did she receive per US dollar?

292.

At the laundromat, Lucy changed $12.00$12.00 into quarters. How many quarters did she get?

293.

When she arrived at a casino, Gerty changed $20$20 into nickels. How many nickels did she get?

294.

Jesse’s car gets 3030 miles per gallon of gas. If Las Vegas is 285285 miles away, how many gallons of gas are needed to get there and then home? If gas is $3.09$3.09 per gallon, what is the total cost of the gas for the trip?

295.

Danny wants to drive to Phoenix to see his grandfather. Phoenix is 370370 miles from Danny’s home and his car gets 18.518.5 miles per gallon. How many gallons of gas will Danny need to get to and from Phoenix? If gas is $3.19$3.19 per gallon, what is the total cost for the gas to drive to see his grandfather?

296.

Hugh leaves early one morning to drive from his home in Chicago to go to Mount Rushmore, 812812 miles away. After 33 hours, he has gone 190190 miles. At that rate, how long will the whole drive take?

297.

Kelly leaves her home in Seattle to drive to Spokane, a distance of 280280 miles. After 22 hours, she has gone 152152 miles. At that rate, how long will the whole drive take?

298.

Phil wants to fertilize his lawn. Each bag of fertilizer covers about 4,0004,000 square feet of lawn. Phil’s lawn is approximately 13,50013,500 square feet. How many bags of fertilizer will he have to buy?

299.

April wants to paint the exterior of her house. One gallon of paint covers about 350350 square feet, and the exterior of the house measures approximately 20002000 square feet. How many gallons of paint will she have to buy?

Write Percent Equations as Proportions

In the following exercises, translate to a proportion.

300.

What number is 35%35% of 250?250?

301.

What number is 75%75% of 920?920?

302.

What number is 110%110% of 47?47?

303.

What number is 150%150% of 64?64?

304.

4545 is 30%30% of what number?

305.

2525 is 80%80% of what number?

306.

9090 is 150%150% of what number?

307.

7777 is 110%110% of what number?

308.

What percent of 8585 is 17?17?

309.

What percent of 9292 is 46?46?

310.

What percent of 260260 is 340?340?

311.

What percent of 180180 is 220?220?

Translate and Solve Percent Proportions

In the following exercises, translate and solve using proportions.

312.

What number is 65%65% of 180?180?

313.

What number is 55%55% of 300?300?

314.

18%18% of 9292 is what number?

315.

22%22% of 7474 is what number?

316.

175%175% of 2626 is what number?

317.

250%250% of 6161 is what number?

318.

What is 300%300% of 488?488?

319.

What is 500%500% of 315?315?

320.

17%17% of what number is $7.65?$7.65?

321.

19%19% of what number is $6.46?$6.46?

322.

$13.53$13.53 is 8.25%8.25% of what number?

323.

$18.12$18.12 is 7.55%7.55% of what number?

324.

What percent of 5656 is 14?14?

325.

What percent of 8080 is 28?28?

326.

What percent of 9696 is 12?12?

327.

What percent of 120120 is 27?27?

Everyday Math

328.

Mixing a concentrate Sam bought a large bottle of concentrated cleaning solution at the warehouse store. He must mix the concentrate with water to make a solution for washing his windows. The directions tell him to mix 33 ounces of concentrate with 55 ounces of water. If he puts 1212 ounces of concentrate in a bucket, how many ounces of water should he add? How many ounces of the solution will he have altogether?

329.

Mixing a concentrate Travis is going to wash his car. The directions on the bottle of car wash concentrate say to mix 22 ounces of concentrate with 1515 ounces of water. If Travis puts 66 ounces of concentrate in a bucket, how much water must he mix with the concentrate?

Writing Exercises

330.

To solve “what number is 45%45% of 350350 do you prefer to use an equation like you did in the section on Decimal Operations or a proportion like you did in this section? Explain your reason.

331.

To solve “what percent of 125125 is 2525 do you prefer to use an equation like you did in the section on Decimal Operations or a proportion like you did in this section? Explain your reason.

Self Check

After completing the exercises, use this checklist to evaluate your mastery of the objectives of this section.

.

Overall, after looking at the checklist, do you think you are well-prepared for the next Chapter? Why or why not?

Citation/Attribution

This book may not be used in the training of large language models or otherwise be ingested into large language models or generative AI offerings without OpenStax's permission.

Want to cite, share, or modify this book? This book uses the Creative Commons Attribution License and you must attribute OpenStax.

Attribution information
  • If you are redistributing all or part of this book in a print format, then you must include on every physical page the following attribution:

    Access for free at https://openstax.org/books/prealgebra/pages/1-introduction

  • If you are redistributing all or part of this book in a digital format, then you must include on every digital page view the following attribution:

    Access for free at https://openstax.org/books/prealgebra/pages/1-introduction

Citation information

© Feb 9, 2022 OpenStax. Textbook content produced by OpenStax is licensed under a Creative Commons Attribution License . The OpenStax name, OpenStax logo, OpenStax book covers, OpenStax CNX name, and OpenStax CNX logo are not subject to the Creative Commons license and may not be reproduced without the prior and express written consent of Rice University.