Skip to ContentGo to accessibility page
OpenStax Logo
Prealgebra

4.7 Solve Equations with Fractions

Prealgebra4.7 Solve Equations with Fractions
Search for key terms or text.

4.7 Solve Equations with Fractions

Learning Objectives

By the end of this section, you will be able to:
  • Determine whether a fraction is a solution of an equation
  • Solve equations with fractions using the Addition, Subtraction, and Division Properties of Equality
  • Solve equations using the Multiplication Property of Equality
  • Translate sentences to equations and solve

Be Prepared 4.7

Before you get started, take this readiness quiz. If you miss a problem, go back to the section listed and review the material.

  1. Evaluate x+4whenx=−3x+4whenx=−3
    If you missed this problem, review Example 3.23.
  2. Solve: 2y3=9.2y3=9.
    If you missed this problem, review Example 3.61.
  3. Solve: y3=−9y3=−9
    If you missed this problem, review Example 4.28.

Determine Whether a Fraction is a Solution of an Equation

As we saw in Solve Equations with the Subtraction and Addition Properties of Equality and Solve Equations Using Integers; The Division Property of Equality, a solution of an equation is a value that makes a true statement when substituted for the variable in the equation. In those sections, we found whole number and integer solutions to equations. Now that we have worked with fractions, we are ready to find fraction solutions to equations.

The steps we take to determine whether a number is a solution to an equation are the same whether the solution is a whole number, an integer, or a fraction.

How To

Determine whether a number is a solution to an equation.

  1. Step 1. Substitute the number for the variable in the equation.
  2. Step 2. Simplify the expressions on both sides of the equation.
  3. Step 3. Determine whether the resulting equation is true. If it is true, the number is a solution. If it is not true, the number is not a solution.

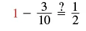
Example 4.95

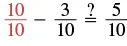
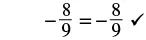
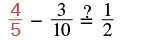
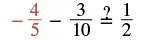
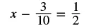
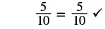
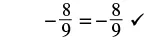
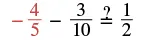
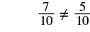
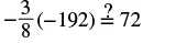
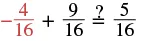
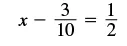
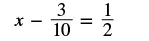
Determine whether each of the following is a solution of x310=12.x310=12.

  1. x=1x=1
  2. x=45x=45
  3. x=45x=45

Try It 4.189

Determine whether each number is a solution of the given equation.

x23=16:x23=16:

  1. x=1x=1
  2. x=56x=56
  3. x=56x=56

Try It 4.190

Determine whether each number is a solution of the given equation.

y14=38:y14=38:

  1. y=1y=1
  2. y=58y=58
  3. y=58y=58

Solve Equations with Fractions using the Addition, Subtraction, and Division Properties of Equality

In Solve Equations with the Subtraction and Addition Properties of Equality and Solve Equations Using Integers; The Division Property of Equality, we solved equations using the Addition, Subtraction, and Division Properties of Equality. We will use these same properties to solve equations with fractions.

Addition, Subtraction, and Division Properties of Equality

For any numbers a,b,andc,a,b,andc,

ifa=b,thena+c=b+c.ifa=b,thena+c=b+c. Addition Property of Equality
ifa=b,thenac=bc.ifa=b,thenac=bc. Subtraction Property of Equality
ifa=b,thenac=bc,c0.ifa=b,thenac=bc,c0. Division Property of Equality
Table 4.3

In other words, when you add or subtract the same quantity from both sides of an equation, or divide both sides by the same quantity, you still have equality.

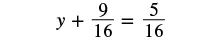
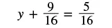
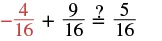
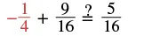
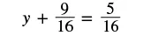
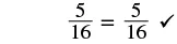
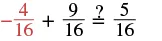
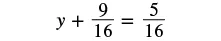
Example 4.96

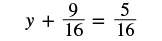
Solve: y+916=516.y+916=516.

Try It 4.191

Solve: y+1112=512.y+1112=512.

Try It 4.192

Solve: y+815=415.y+815=415.

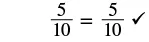
We used the Subtraction Property of Equality in Example 4.96. Now we’ll use the Addition Property of Equality.

Example 4.97

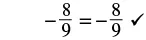
Solve: a59=89.a59=89.

Try It 4.193

Solve: a35=85.a35=85.

Try It 4.194

Solve: n37=97.n37=97.

The next example may not seem to have a fraction, but let’s see what happens when we solve it.

Example 4.98

Solve: 10q=44.10q=44.

Try It 4.195

Solve: 12u=−76.12u=−76.

Try It 4.196

Solve: 8m=92.8m=92.

Solve Equations with Fractions Using the Multiplication Property of Equality

Consider the equation x4=3.x4=3. We want to know what number divided by 44 gives 3.3. So to “undo” the division, we will need to multiply by 4.4. The Multiplication Property of Equality will allow us to do this. This property says that if we start with two equal quantities and multiply both by the same number, the results are equal.

The Multiplication Property of Equality

For any numbers a,b,a,b, and c,c,

ifa=b,thenac=bc.ifa=b,thenac=bc.

If you multiply both sides of an equation by the same quantity, you still have equality.

Let’s use the Multiplication Property of Equality to solve the equation x7=−9.x7=−9.

Example 4.99

Solve: x7=−9.x7=−9.

Try It 4.197

Solve: f5=−25.f5=−25.

Try It 4.198

Solve: h9=−27.h9=−27.

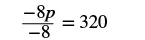
Example 4.100

Solve: p−8=−40.p−8=−40.

Try It 4.199

Solve: c−7=−35.c−7=−35.

Try It 4.200

Solve: x−11=−12.x−11=−12.

Solve Equations with a Coefficient of −1−1

Look at the equation y=15.y=15. Does it look as if yy is already isolated? But there is a negative sign in front of y,y, so it is not isolated.

There are three different ways to isolate the variable in this type of equation. We will show all three ways in Example 4.101.

Example 4.101

Solve: y=15.y=15.

Try It 4.201

Solve: y=48.y=48.

Try It 4.202

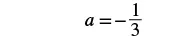
Solve: c=−23.c=−23.

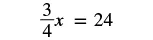
Solve Equations with a Fraction Coefficient

When we have an equation with a fraction coefficient we can use the Multiplication Property of Equality to make the coefficient equal to 1.1.

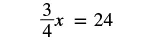
For example, in the equation:

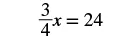
34x=2434x=24

The coefficient of xx is 34.34. To solve for x,x, we need its coefficient to be 1.1. Since the product of a number and its reciprocal is 1,1, our strategy here will be to isolate xx by multiplying by the reciprocal of 34.34. We will do this in Example 4.102.

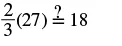
Example 4.102

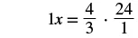
Solve: 34x=24.34x=24.

Try It 4.203

Solve: 25n=14.25n=14.

Try It 4.204

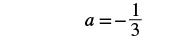
Solve: 56y=15.56y=15.

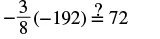
Example 4.103

Solve: 38w=72.38w=72.

Try It 4.205

Solve: 47a=52.47a=52.

Try It 4.206

Solve: 79w=84.79w=84.

Translate Sentences to Equations and Solve

Now we have covered all four properties of equality—subtraction, addition, division, and multiplication. We’ll list them all together here for easy reference.

Subtraction Property of Equality:
For any real numbers a, b,a, b, and c,c,

if a=b,a=b, then ac=bc.ac=bc.
Addition Property of Equality:
For any real numbers a, b,a, b, and c,c,

if a=b,a=b, then a+c=b+c.a+c=b+c.
Division Property of Equality:
For any numbers a, b,a, b, and c,c, where c0c0

if a=b,a=b, then ac=bcac=bc
Multiplication Property of Equality:
For any real numbers a, b,a, b, and cc

if a=b,a=b, then ac=bcac=bc

When you add, subtract, multiply or divide the same quantity from both sides of an equation, you still have equality.

In the next few examples, we’ll translate sentences into equations and then solve the equations. It might be helpful to review the translation table in Evaluate, Simplify, and Translate Expressions.

Example 4.104

Translate and solve: nn divided by 66 is −24.−24.

Try It 4.207

Translate and solve: nn divided by 77 is equal to −21.−21.

Try It 4.208

Translate and solve: nn divided by 88 is equal to −56.−56.

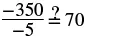
Example 4.105

Translate and solve: The quotient of qq and −5−5 is 70.70.

Try It 4.209

Translate and solve: The quotient of qq and −8−8 is 72.72.

Try It 4.210

Translate and solve: The quotient of pp and −9−9 is 81.81.

Example 4.106

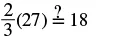
Translate and solve: Two-thirds of ff is 18.18.

Try It 4.211

Translate and solve: Two-fifths of ff is 16.16.

Try It 4.212

Translate and solve: Three-fourths of ff is 21.21.

Example 4.107

Translate and solve: The quotient of mm and 5656 is 34.34.

Try It 4.213

Translate and solve. The quotient of nn and 2323 is 512.512.

Try It 4.214

Translate and solve The quotient of cc and 3838 is 49.49.

Example 4.108

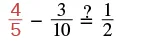
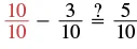
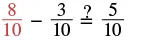
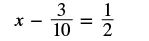
Translate and solve: The sum of three-eighths and xx is three and one-half.

Try It 4.215

Translate and solve: The sum of five-eighths and xx is one-fourth.

Try It 4.216

Translate and solve: The difference of one-and-three-fourths and xx is five-sixths.

Section 4.7 Exercises

Practice Makes Perfect

Determine Whether a Fraction is a Solution of an Equation

In the following exercises, determine whether each number is a solution of the given equation.

498.

x25=110:x25=110:

  1. x=1x=1
  2. x=12x=12
  3. x=12x=12
499.

y13=512:y13=512:

  1. y=1y=1
  2. y=34y=34
  3. y=34y=34
500.

h+34=25:h+34=25:

  1. h=1h=1
  2. h=720h=720
  3. h=720h=720
501.

k+25=56:k+25=56:

  1. k=1k=1
  2. k=1330k=1330
  3. k=1330k=1330

Solve Equations with Fractions using the Addition, Subtraction, and Division Properties of Equality

In the following exercises, solve.

502.

y + 1 3 = 4 3 y + 1 3 = 4 3

503.

m + 3 8 = 7 8 m + 3 8 = 7 8

504.

f + 9 10 = 2 5 f + 9 10 = 2 5

505.

h + 5 6 = 1 6 h + 5 6 = 1 6

506.

a 5 8 = 7 8 a 5 8 = 7 8

507.

c 1 4 = 5 4 c 1 4 = 5 4

508.

x ( 3 20 ) = 11 20 x ( 3 20 ) = 11 20

509.

z ( 5 12 ) = 7 12 z ( 5 12 ) = 7 12

510.

n 1 6 = 3 4 n 1 6 = 3 4

511.

p 3 10 = 5 8 p 3 10 = 5 8

512.

s + ( 1 2 ) = 8 9 s + ( 1 2 ) = 8 9

513.

k + ( 1 3 ) = 4 5 k + ( 1 3 ) = 4 5

514.

5 j = 17 5 j = 17

515.

7 k = 18 7 k = 18

516.

−4 w = 26 −4 w = 26

517.

−9 v = 33 −9 v = 33

Solve Equations with Fractions Using the Multiplication Property of Equality

In the following exercises, solve.

518.

f 4 = −20 f 4 = −20

519.

b 3 = −9 b 3 = −9

520.

y 7 = −21 y 7 = −21

521.

x 8 = −32 x 8 = −32

522.

p −5 = −40 p −5 = −40

523.

q −4 = −40 q −4 = −40

524.

r −12 = −6 r −12 = −6

525.

s −15 = −3 s −15 = −3

526.

x = 23 x = 23

527.

y = 42 y = 42

528.

h = 5 12 h = 5 12

529.

k = 17 20 k = 17 20

530.

4 5 n = 20 4 5 n = 20

531.

3 10 p = 30 3 10 p = 30

532.

3 8 q = −48 3 8 q = −48

533.

5 2 m = −40 5 2 m = −40

534.

2 9 a = 16 2 9 a = 16

535.

3 7 b = 9 3 7 b = 9

536.

6 11 u = −24 6 11 u = −24

537.

5 12 v = −15 5 12 v = −15

Mixed Practice

In the following exercises, solve.

538.

3 x = 0 3 x = 0

539.

8 y = 0 8 y = 0

540.

4 f = 4 5 4 f = 4 5

541.

7 g = 7 9 7 g = 7 9

542.

p + 2 3 = 1 12 p + 2 3 = 1 12

543.

q + 5 6 = 1 12 q + 5 6 = 1 12

544.

7 8 m = 1 10 7 8 m = 1 10

545.

1 4 n = 7 10 1 4 n = 7 10

546.

2 5 = x + 3 4 2 5 = x + 3 4

547.

2 3 = y + 3 8 2 3 = y + 3 8

548.

11 20 = f 11 20 = f

549.

8 15 = d 8 15 = d

Translate Sentences to Equations and Solve

In the following exercises, translate to an algebraic equation and solve.

550.

nn divided by eight is −16.−16.

551.

nn divided by six is −24.−24.

552.

mm divided by −9−9 is −7.−7.

553.

mm divided by −7−7 is −8.−8.

554.

The quotient of ff and −3−3 is −18.−18.

555.

The quotient of ff and −4−4 is −20.−20.

556.

The quotient of gg and twelve is 8.8.

557.

The quotient of gg and nine is 14.14.

558.

Three-fourths of qq is 12.12.

559.

Two-fifths of qq is 20.20.

560.

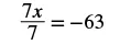
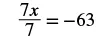
Seven-tenths of pp is −63.−63.

561.

Four-ninths of pp is −28.−28.

562.

mm divided by 44 equals negative 6.6.

563.

The quotient of hh and 22 is 43.43.

564.

Three-fourths of zz is the same as 15.15.

565.

The quotient of aa and 2323 is 34.34.

566.

The sum of five-sixths and xx is 12.12.

567.

The sum of three-fourths and xx is 18.18.

568.

The difference of yy and one-fourth is 18.18.

569.

The difference of yy and one-third is 16.16.

Everyday Math

570.

Shopping Teresa bought a pair of shoes on sale for $48.$48. The sale price was 2323 of the regular price. Find the regular price of the shoes by solving the equation 23p=4823p=48

571.

Playhouse The table in a child’s playhouse is 3535 of an adult-size table. The playhouse table is 1818 inches high. Find the height of an adult-size table by solving the equation 35h=18.35h=18.

Writing Exercises

572.

Example 4.100 describes three methods to solve the equation y=15.y=15. Which method do you prefer? Why?

573.

Richard thinks the solution to the equation 34x=2434x=24 is 16.16. Explain why Richard is wrong.

Self Check

After completing the exercises, use this checklist to evaluate your mastery of the objectives of this section.

Overall, after looking at the checklist, do you think you are well-prepared for the next Chapter? Why or why not?

Citation/Attribution

This book may not be used in the training of large language models or otherwise be ingested into large language models or generative AI offerings without OpenStax's permission.

Want to cite, share, or modify this book? This book uses the Creative Commons Attribution License and you must attribute OpenStax.

Attribution information
  • If you are redistributing all or part of this book in a print format, then you must include on every physical page the following attribution:

    Access for free at https://openstax.org/books/prealgebra/pages/1-introduction

  • If you are redistributing all or part of this book in a digital format, then you must include on every digital page view the following attribution:

    Access for free at https://openstax.org/books/prealgebra/pages/1-introduction

Citation information

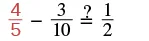
© Feb 9, 2022 OpenStax. Textbook content produced by OpenStax is licensed under a Creative Commons Attribution License . The OpenStax name, OpenStax logo, OpenStax book covers, OpenStax CNX name, and OpenStax CNX logo are not subject to the Creative Commons license and may not be reproduced without the prior and express written consent of Rice University.