Skip to ContentGo to accessibility pageKeyboard shortcuts menu
OpenStax Logo
Prealgebra

2.3 Solving Equations Using the Subtraction and Addition Properties of Equality

Prealgebra2.3 Solving Equations Using the Subtraction and Addition Properties of Equality
Search for key terms or text.

Learning Objectives

By the end of this section, you will be able to:
  • Determine whether a number is a solution of an equation
  • Model the Subtraction Property of Equality
  • Solve equations using the Subtraction Property of Equality
  • Solve equations using the Addition Property of Equality
  • Translate word phrases to algebraic equations
  • Translate to an equation and solve

Be Prepared 2.3

Before you get started, take this readiness quiz.

  1. Evaluatex+8whenx=11.Evaluatex+8whenx=11.
    If you missed this problem, review Example 2.13.
  2. Evaluate5x3whenx=9.Evaluate5x3whenx=9.
    If you missed this problem, review Example 2.14.
  3. Translate into algebra: the difference of xx and 8.8.
    If you missed this problem, review Example 2.24.

When some people hear the word algebra, they think of solving equations. The applications of solving equations are limitless and extend to all careers and fields. In this section, we will begin solving equations. We will start by solving basic equations, and then as we proceed through the course we will build up our skills to cover many different forms of equations.

Determine Whether a Number is a Solution of an Equation

Solving an equation is like discovering the answer to a puzzle. An algebraic equation states that two algebraic expressions are equal. To solve an equation is to determine the values of the variable that make the equation a true statement. Any number that makes the equation true is called a solution of the equation. It is the answer to the puzzle!

Solution of an Equation

A solution to an equation is a value of a variable that makes a true statement when substituted into the equation.

The process of finding the solution to an equation is called solving the equation.

To find the solution to an equation means to find the value of the variable that makes the equation true. Can you recognize the solution of x+2=7?x+2=7? If you said 5,5, you’re right! We say 55 is a solution to the equation x+2=7x+2=7 because when we substitute 55 for xx the resulting statement is true.

x+2=75+2=?77=7x+2=75+2=?77=7

Since 5+2=75+2=7 is a true statement, we know that 55 is indeed a solution to the equation.

The symbol =?=? asks whether the left side of the equation is equal to the right side. Once we know, we can change to an equal sign (=)(=) or not-equal sign (≠).(≠).

How To

Determine whether a number is a solution to an equation.

  1. Step 1. Substitute the number for the variable in the equation.
  2. Step 2. Simplify the expressions on both sides of the equation.
  3. Step 3.
    Determine whether the resulting equation is true.
    • If it is true, the number is a solution.
    • If it is not true, the number is not a solution.

Example 2.28

Determine whetherx=5is a solution of6x17=16.Determine whetherx=5is a solution of6x17=16.

Try It 2.55

Isx=3a solution of4x7=16?Isx=3a solution of4x7=16?

Try It 2.56

Isx=2a solution of6x2=10?Isx=2a solution of6x2=10?

Example 2.29

Determine whethery=2is a solution of6y4=5y2.Determine whethery=2is a solution of6y4=5y2.

Try It 2.57

Isy=3a solution of9y2=8y+1?Isy=3a solution of9y2=8y+1?

Try It 2.58

Isy=4a solution of5y3=3y+5?Isy=4a solution of5y3=3y+5?

Model the Subtraction Property of Equality

We will use a model to help you understand how the process of solving an equation is like solving a puzzle. An envelope represents the variable – since its contents are unknown – and each counter represents one.

Suppose a desk has an imaginary line dividing it in half. We place three counters and an envelope on the left side of desk, and eight counters on the right side of the desk as in Figure 2.3. Both sides of the desk have the same number of counters, but some counters are hidden in the envelope. Can you tell how many counters are in the envelope?

The image is divided in half vertically. On the left side is an envelope with three counters below it. On the right side is 8 counters.
Figure 2.3

What steps are you taking in your mind to figure out how many counters are in the envelope? Perhaps you are thinking “I need to remove the 33 counters from the left side to get the envelope by itself. Those 33 counters on the left match with 33 on the right, so I can take them away from both sides. That leaves five counters on the right, so there must be 55 counters in the envelope.” Figure 2.4 shows this process.

The image is in two parts. On the left is a rectangle divided in half vertically. On the left side of the rectangle is an envelope with three counters below it. The 3 counters are circled in red with an arrow pointing out of the rectangle. On the right side is 8 counters. The bottom 3 counters are circled in red with an arrow pointing out of the rectangle. The 3 circled counters are removed from both sides of the rectangle, creating the new rectangle on the right of the image which is also divided in half vertically. On the left side of the rectangle is just an envelope. On the right side is 5 counters.
Figure 2.4

What algebraic equation is modeled by this situation? Each side of the desk represents an expression and the center line takes the place of the equal sign. We will call the contents of the envelope x,x, so the number of counters on the left side of the desk is x+3.x+3. On the right side of the desk are 88 counters. We are told that x+3x+3 is equal to 88 so our equation isx+3=8.x+3=8.

The image is divided in half vertically. On the left side is an envelope with three counters below it. On the right side is 8 counters.
Figure 2.5
x+3=8x+3=8

Let’s write algebraically the steps we took to discover how many counters were in the envelope.

.
First, we took away three from each side. .
Then we were left with five. .

Now let’s check our solution. We substitute 55 for xx in the original equation and see if we get a true statement.

The image shows the original equation, x plus 3 equal to 8. Substitute 5 in for x to check. The equation becomes 5 plus 3 equal to 8. Is this true? The left side simplifies by adding 5 and 3 to get 8. Both sides of the equal symbol are 8.

Our solution is correct. Five counters in the envelope plus three more equals eight.

Manipulative Mathematics

Doing the Manipulative Mathematics activity, “Subtraction Property of Equality” will help you develop a better understanding of how to solve equations by using the Subtraction Property of Equality.

Example 2.30

Write an equation modeled by the envelopes and counters, and then solve the equation:

The image is divided in half vertically. On the left side is an envelope with 4 counters below it. On the right side is 5 counters.

Try It 2.59

Write the equation modeled by the envelopes and counters, and then solve the equation:

The image is divided in half vertically. On the left side is an envelope with one counter below it. On the right side is 7 counters.

Try It 2.60

Write the equation modeled by the envelopes and counters, and then solve the equation:

The image is divided in half vertically. On the left side is an envelope with three counters below it. On the right side is 4 counters.

Solve Equations Using the Subtraction Property of Equality

Our puzzle has given us an idea of what we need to do to solve an equation. The goal is to isolate the variable by itself on one side of the equations. In the previous examples, we used the Subtraction Property of Equality, which states that when we subtract the same quantity from both sides of an equation, we still have equality.

Subtraction Property of Equality

For any numbers a,b,a,b, and c,c, if

a=ba=b

then

ac=bcac=bc

Think about twin brothers Andy and Bobby. They are 1717 years old. How old was Andy 33 years ago? He was 33 years less than 17,17, so his age was 173,173, or 14.14. What about Bobby’s age 33 years ago? Of course, he was 1414 also. Their ages are equal now, and subtracting the same quantity from both of them resulted in equal ages 33 years ago.

a=ba3=b3a=ba3=b3

How To

Solve an equation using the Subtraction Property of Equality.

  1. Step 1. Use the Subtraction Property of Equality to isolate the variable.
  2. Step 2. Simplify the expressions on both sides of the equation.
  3. Step 3. Check the solution.

Example 2.31

Solve: x+8=17.x+8=17.

Try It 2.61

Solve:

x+6=19x+6=19

Try It 2.62

Solve:

x+9=14x+9=14

Example 2.32

Solve: 100=y+74.100=y+74.

Try It 2.63

Solve:

95=y+6795=y+67

Try It 2.64

Solve:

91=y+4591=y+45

Solve Equations Using the Addition Property of Equality

In all the equations we have solved so far, a number was added to the variable on one side of the equation. We used subtraction to “undo” the addition in order to isolate the variable.

But suppose we have an equation with a number subtracted from the variable, such as x5=8.x5=8. We want to isolate the variable, so to “undo” the subtraction we will add the number to both sides.

We use the Addition Property of Equality, which says we can add the same number to both sides of the equation without changing the equality. Notice how it mirrors the Subtraction Property of Equality.

Addition Property of Equality

For any numbers a,ba,b, and cc, if

a=ba=b

then

a+c=b+ca+c=b+c

Remember the 17-year-old17-year-old twins, Andy and Bobby? In ten years, Andy’s age will still equal Bobby’s age. They will both be 27.27.

a=ba+10=b+10a=ba+10=b+10

We can add the same number to both sides and still keep the equality.

How To

Solve an equation using the Addition Property of Equality.

  1. Step 1. Use the Addition Property of Equality to isolate the variable.
  2. Step 2. Simplify the expressions on both sides of the equation.
  3. Step 3. Check the solution.

Example 2.33

Solve: x5=8.x5=8.

Try It 2.65

Solve:

x9=13x9=13

Try It 2.66

Solve:

y1=3y1=3

Example 2.34

Solve: 27=a16.27=a16.

Try It 2.67

Solve:

19=a1819=a18

Try It 2.68

Solve:

27=n1427=n14

Translate Word Phrases to Algebraic Equations

Remember, an equation has an equal sign between two algebraic expressions. So if we have a sentence that tells us that two phrases are equal, we can translate it into an equation. We look for clue words that mean equals. Some words that translate to the equal sign are:

  • is equal to
  • is the same as
  • is
  • gives
  • was
  • will be

It may be helpful to put a box around the equals word(s) in the sentence to help you focus separately on each phrase. Then translate each phrase into an expression, and write them on each side of the equal sign.

We will practice translating word sentences into algebraic equations. Some of the sentences will be basic number facts with no variables to solve for. Some sentences will translate into equations with variables. The focus right now is just to translate the words into algebra.

Example 2.35

Translate the sentence into an algebraic equation: The sum of 66 and 99 is 15.15.

Try It 2.69

Translate the sentence into an algebraic equation:

The sum of 77 and 66 gives 13.13.

Try It 2.70

Translate the sentence into an algebraic equation:

The sum of 88 and 66 is 14.14.

Example 2.36

Translate the sentence into an algebraic equation: The product of 88 and 77 is 56.56.

Try It 2.71

Translate the sentence into an algebraic equation:

The product of 66 and 99 is 54.54.

Try It 2.72

Translate the sentence into an algebraic equation:

The product of 2121 and 33 gives 63.63.

Example 2.37

Translate the sentence into an algebraic equation: Twice the difference of xx and 33 gives 18.18.

Try It 2.73

Translate the given sentence into an algebraic equation:

Twice the difference of xx and 55 gives 30.30.

Try It 2.74

Translate the given sentence into an algebraic equation:

Twice the difference of yy and 44 gives 16.16.

Translate to an Equation and Solve

Now let’s practice translating sentences into algebraic equations and then solving them. We will solve the equations by using the Subtraction and Addition Properties of Equality.

Example 2.38

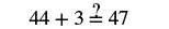
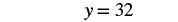
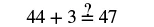
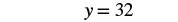
Translate and solve: Three more than xx is equal to 47.47.

Try It 2.75

Translate and solve:

Seven more than xx is equal to 37.37.

Try It 2.76

Translate and solve:

Eleven more than yy is equal to 28.28.

Example 2.39

Translate and solve: The difference of yy and 1414 is 18.18.

Try It 2.77

Translate and solve:

The difference of zz and 1717 is equal to 37.37.

Try It 2.78

Translate and solve:

The difference of xx and 1919 is equal to 45.45.

Media

ACCESS ADDITIONAL ONLINE RESOURCES

Section 2.3 Exercises

Practice Makes Perfect

Determine Whether a Number is a Solution of an Equation

In the following exercises, determine whether each given value is a solution to the equation.

147.

x+13=21x+13=21

  1. x=8x=8
  2. x=34x=34
148.

y+18=25y+18=25

  1. y=7y=7
  2. y=43y=43
149.

m4=13m4=13

  1. m=9m=9
  2. m=17m=17
150.

n9=6n9=6

  1. n=3n=3
  2. n=15n=15
151.

3p+6=153p+6=15

  1. p=3p=3
  2. p=7p=7
152.

8q+4=208q+4=20

  1. q=2q=2
  2. q=3q=3
153.

18d9=2718d9=27

  1. d=1d=1
  2. d=2d=2
154.

24f12=6024f12=60

  1. f=2f=2
  2. f=3f=3
155.

8u4=4u+408u4=4u+40

  1. u=3u=3
  2. u=11u=11
156.

7v3=4v+367v3=4v+36

  1. v=3v=3
  2. v=11v=11
157.

20h5=15h+3520h5=15h+35

  1. h=6h=6
  2. h=8h=8
158.

18 k 3 = 12 k + 33 18 k 3 = 12 k + 33

  1. k=1k=1
  2. k=6k=6

Model the Subtraction Property of Equality

In the following exercises, write the equation modeled by the envelopes and counters and then solve using the subtraction property of equality.

159.
The image is divided in half vertically. On the left side is an envelope with 2 counters below it. On the right side is 5 counters.
160.
The image is divided in half vertically. On the left side is an envelope with 4 counters below it. On the right side is 7 counters.
161.
The image is divided in half vertically. On the left side is an envelope with three counters below it. On the right side is 6 counters.
162.
The image is divided in half vertically. On the left side is an envelope with 5 counters below it. On the right side is 9 counters.

Solve Equations using the Subtraction Property of Equality

In the following exercises, solve each equation using the subtraction property of equality.

163.

a + 2 = 18 a + 2 = 18

164.

b + 5 = 13 b + 5 = 13

165.

p + 18 = 23 p + 18 = 23

166.

q + 14 = 31 q + 14 = 31

167.

r + 76 = 100 r + 76 = 100

168.

s + 62 = 95 s + 62 = 95

169.

16 = x + 9 16 = x + 9

170.

17 = y + 6 17 = y + 6

171.

93 = p + 24 93 = p + 24

172.

116 = q + 79 116 = q + 79

173.

465 = d + 398 465 = d + 398

174.

932 = c + 641 932 = c + 641

Solve Equations using the Addition Property of Equality

In the following exercises, solve each equation using the addition property of equality.

175.

y 3 = 19 y 3 = 19

176.

x 4 = 12 x 4 = 12

177.

u 6 = 24 u 6 = 24

178.

v 7 = 35 v 7 = 35

179.

f 55 = 123 f 55 = 123

180.

g 39 = 117 g 39 = 117

181.

19 = n 13 19 = n 13

182.

18 = m 15 18 = m 15

183.

10 = p 38 10 = p 38

184.

18 = q 72 18 = q 72

185.

268 = y 199 268 = y 199

186.

204 = z 149 204 = z 149

Translate Word Phrase to Algebraic Equations

In the following exercises, translate the given sentence into an algebraic equation.

187.

The sum of 88 and 99 is equal to 17.17.

188.

The sum of 77 and 99 is equal to 16.16.

189.

The difference of 2323 and 1919 is equal to 4.4.

190.

The difference of 2929 and 1212 is equal to 17.17.

191.

The product of 33 and 99 is equal to 27.27.

192.

The product of 66 and 88 is equal to 48.48.

193.

The quotient of 5454 and 66 is equal to 9.9.

194.

The quotient of 4242 and 77 is equal to 6.6.

195.

Twice the difference of nn and 1010 gives 52.52.

196.

Twice the difference of mm and 1414 gives 64.64.

197.

The sum of three times yy and 1010 is 100.100.

198.

The sum of eight times xx and 44 is 68.68.

Translate to an Equation and Solve

In the following exercises, translate the given sentence into an algebraic equation and then solve it.

199.

Five more than pp is equal to 21.21.

200.

Nine more than qq is equal to 40.40.

201.

The sum of rr and 1818 is 73.73.

202.

The sum of ss and 1313 is 68.68.

203.

The difference of dd and 3030 is equal to 52.52.

204.

The difference of cc and 2525 is equal to 75.75.

205.

1212 less than uu is 89.89.

206.

1919 less than ww is 56.56.

207.

325325 less than cc gives 799.799.

208.

299299 less than dd gives 850.850.

Everyday Math

209.

Insurance Vince’s car insurance has a $500$500 deductible. Find the amount the insurance company will pay, p,p, for an $1800$1800 claim by solving the equation 500+p=1800.500+p=1800.

210.

Insurance Marta’s homeowner’s insurance policy has a $750$750 deductible. The insurance company paid $5800$5800 to repair damages caused by a storm. Find the total cost of the storm damage, d,d, by solving the equation d750=5800.d750=5800.

211.

Sale purchase Arthur bought a suit that was on sale for $120$120 off. He paid $340$340 for the suit. Find the original price, p,p, of the suit by solving the equation p120=340.p120=340.

212.

Sale purchase Rita bought a sofa that was on sale for $1299.$1299. She paid a total of $1409,$1409, including sales tax. Find the amount of the sales tax, t,t, by solving the equation 1299+t=1409.1299+t=1409.

Writing Exercises

213.

Is x=1x=1 a solution to the equation 8x2=166x?8x2=166x? How do you know?

214.

Write the equation y5=21y5=21 in words. Then make up a word problem for this equation.

Self Check

After completing the exercises, use this checklist to evaluate your mastery of the objectives of this section.

.

What does this checklist tell you about your mastery of this section? What steps will you take to improve?

Citation/Attribution

This book may not be used in the training of large language models or otherwise be ingested into large language models or generative AI offerings without OpenStax's permission.

Want to cite, share, or modify this book? This book uses the Creative Commons Attribution License and you must attribute OpenStax.

Attribution information
  • If you are redistributing all or part of this book in a print format, then you must include on every physical page the following attribution:

    Access for free at https://openstax.org/books/prealgebra/pages/1-introduction

  • If you are redistributing all or part of this book in a digital format, then you must include on every digital page view the following attribution:

    Access for free at https://openstax.org/books/prealgebra/pages/1-introduction

Citation information

© Feb 9, 2022 OpenStax. Textbook content produced by OpenStax is licensed under a Creative Commons Attribution License . The OpenStax name, OpenStax logo, OpenStax book covers, OpenStax CNX name, and OpenStax CNX logo are not subject to the Creative Commons license and may not be reproduced without the prior and express written consent of Rice University.