Skip to ContentGo to accessibility pageKeyboard shortcuts menu
OpenStax Logo
Prealgebra

9.4 Use Properties of Rectangles, Triangles, and Trapezoids

Prealgebra9.4 Use Properties of Rectangles, Triangles, and Trapezoids
Search for key terms or text.

Learning Objectives

By the end of this section, you will be able to:
  • Understand linear, square, and cubic measure
  • Use properties of rectangles
  • Use properties of triangles
  • Use properties of trapezoids

Be Prepared 9.4

Before you get started, take this readiness quiz.

  1. The length of a rectangle is 33 less than the width. Let ww represent the width. Write an expression for the length of the rectangle.
    If you missed this problem, review Example 2.26.
  2. Simplify: 12(6h).12(6h).
    If you missed this problem, review Example 7.7.
  3. Simplify: 52(10.37.9).52(10.37.9).
    If you missed this problem, review Example 5.36.

In this section, we’ll continue working with geometry applications. We will add some more properties of triangles, and we’ll learn about the properties of rectangles and trapezoids.

Understand Linear, Square, and Cubic Measure

When you measure your height or the length of a garden hose, you use a ruler or tape measure (Figure 9.13). A tape measure might remind you of a line—you use it for linear measure, which measures length. Inch, foot, yard, mile, centimeter and meter are units of linear measure.

A picture of a portion of a tape measure is shown. The top shows the numbers 1 through 5. The portion from the beginning to the 1 has a red circle and an arrow to a picture from 0 to 1 inch, with 1 sixteenth, 1 eighth, 3 eighths, 1 half, and 3 fourths labeled. Above this, it is labeled “Standard Measures.” The bottom of the tape measure shows the numbers 1 through 10, then 1 and 2. The region from the edge to about 3 and a half has a red circle with an arrow pointing to a picture from 0 to 3.5. It is labeled 0, 1 cm, 1.7 cm, 2.3 cm and 3.5 cm. Above this, it is labeled “Metric (S).”
Figure 9.13 This tape measure measures inches along the top and centimeters along the bottom.

When you want to know how much tile is needed to cover a floor, or the size of a wall to be painted, you need to know the area, a measure of the region needed to cover a surface. Area is measured is square units. We often use square inches, square feet, square centimeters, or square miles to measure area. A square centimeter is a square that is one centimeter (cm) on each side. A square inch is a square that is one inch on each side (Figure 9.14).

Two squares are shown. The smaller one has sides labeled 1 cm and is 1 square centimeter. The larger one has sides labeled 1 inch and is 1 square inch.
Figure 9.14 Square measures have sides that are each 11 unit in length.

Figure 9.15 shows a rectangular rug that is 22 feet long by 33 feet wide. Each square is 11 foot wide by 11 foot long, or 11 square foot. The rug is made of 66 squares. The area of the rug is66 square feet.

A rectangle is shown. It has 3 squares across and 2 squares down, a total of 6 squares.
Figure 9.15 The rug contains six squares of 1 square foot each, so the total area of the rug is 6 square feet.

When you measure how much it takes to fill a container, such as the amount of gasoline that can fit in a tank, or the amount of medicine in a syringe, you are measuring volume. Volume is measured in cubic units such as cubic inches or cubic centimeters. When measuring the volume of a rectangular solid, you measure how many cubes fill the container. We often use cubic centimeters, cubic inches, and cubic feet. A cubic centimeter is a cube that measures one centimeter on each side, while a cubic inch is a cube that measures one inch on each side (Figure 9.16).

Two cubes are shown. The smaller one has sides labeled 1 cm and is labeled as 1 cubic centimeter. The larger one has sides labeled 1 inch and is labeled as 1 cubic inch.
Figure 9.16 Cubic measures have sides that are 1 unit in length.

Suppose the cube in Figure 9.17 measures 33 inches on each side and is cut on the lines shown. How many little cubes does it contain? If we were to take the big cube apart, we would find 2727 little cubes, with each one measuring one inch on all sides. So each little cube has a volume of 11 cubic inch, and the volume of the big cube is 2727 cubic inches.

A cube is shown, comprised of smaller cubes. Each side of the cube has 3 smaller cubes across, for a total of 27 smaller cubes.
Figure 9.17 A cube that measures 3 inches on each side is made up of 27 one-inch cubes, or 27 cubic inches.

Manipulative Mathematics

Doing the Manipulative Mathematics activity Visualizing Area and Perimeter will help you develop a better understanding of the difference between the area of a figure and its perimeter.

Example 9.25

For each item, state whether you would use linear, square, or cubic measure:

  1. amount of carpeting needed in a room

  2. extension cord length

  3. amount of sand in a sandbox

  4. length of a curtain rod

  5. amount of flour in a canister

  6. size of the roof of a doghouse.

Try It 9.49

Determine whether you would use linear, square, or cubic measure for each item.

amount of paint in a can height of a tree floor of your bedroom diameter of bike wheel size of a piece of sod amount of water in a swimming pool

Try It 9.50

Determine whether you would use linear, square, or cubic measure for each item.

volume of a packing box size of patio amount of medicine in a syringe length of a piece of yarn size of housing lot height of a flagpole

Many geometry applications will involve finding the perimeter or the area of a figure. There are also many applications of perimeter and area in everyday life, so it is important to make sure you understand what they each mean.

Picture a room that needs new floor tiles. The tiles come in squares that are a foot on each side—one square foot. How many of those squares are needed to cover the floor? This is the area of the floor.

Next, think about putting new baseboard around the room, once the tiles have been laid. To figure out how many strips are needed, you must know the distance around the room. You would use a tape measure to measure the number of feet around the room. This distance is the perimeter.

Perimeter and Area

The perimeter is a measure of the distance around a figure.

The area is a measure of the surface covered by a figure.

Figure 9.18 shows a square tile that is 11 inch on each side. If an ant walked around the edge of the tile, it would walk 44 inches. This distance is the perimeter of the tile.

Since the tile is a square that is 11 inch on each side, its area is one square inch. The area of a shape is measured by determining how many square units cover the shape.

A 5 square by 5 square checkerboard is shown with each side labeled 1 inch. An image of an ant is shown on the top left square.
Figure 9.18 Perimeter=4inchesArea=1square inchPerimeter=4inchesArea=1square inch
When the ant walks completely around the tile on its edge, it is tracing the perimeter of the tile. The area of the tile is 1 square inch.

Manipulative Mathematics

Doing the Manipulative Mathematics activity Measuring Area and Perimeter will help you develop a better understanding of how to measure the area and perimeter of a figure.

Example 9.26

Each of two square tiles is 11 square inch. Two tiles are shown together.

  1. What is the perimeter of the figure?

  2. What is the area?

    A checkerboard is shown. It has 10 squares across the top and 5 down the side.

Try It 9.51

Find the perimeter and area of the figure:

A rectangle is shown comprised of 3 squares.

Try It 9.52

Find the perimeter and area of the figure:

A square is shown comprised of 4 smaller squares.

Use the Properties of Rectangles

A rectangle has four sides and four right angles. The opposite sides of a rectangle are the same length. We refer to one side of the rectangle as the length, L,L, and the adjacent side as the width, W.W. See Figure 9.19.

A rectangle is shown. Each angle is marked with a square. The top and bottom are labeled L, the sides are labeled W.
Figure 9.19 A rectangle has four sides, and four right angles. The sides are labeled L for length and W for width.

The perimeter, P,P, of the rectangle is the distance around the rectangle. If you started at one corner and walked around the rectangle, you would walk L+W+L+WL+W+L+W units, or two lengths and two widths. The perimeter then is

P=L+W+L+WorP=2L+2WP=L+W+L+WorP=2L+2W

What about the area of a rectangle? Remember the rectangular rug from the beginning of this section. It was 22 feet long by 33 feet wide, and its area was 66 square feet. See Figure 9.20. Since A=23,A=23, we see that the area, A,A, is the length, L,L, times the width, W,W, so the area of a rectangle is A=LW.A=LW.

A rectangle is shown. It is made up of 6 squares. The bottom is 2 squares across and marked as 2, the side is 3 squares long and marked as 3.
Figure 9.20 The area of this rectangular rug is 66 square feet, its length times its width.

Properties of Rectangles

  • Rectangles have four sides and four right (90°)(90°) angles.
  • The lengths of opposite sides are equal.
  • The perimeter, P,P, of a rectangle is the sum of twice the length and twice the width. See Figure 9.19.
    P=2L+2WP=2L+2W
  • The area, A,A, of a rectangle is the length times the width.
    A=LWA=LW

For easy reference as we work the examples in this section, we will restate the Problem Solving Strategy for Geometry Applications here.

How To

Use a Problem Solving Strategy for Geometry Applications

  1. Step 1. Read the problem and make sure you understand all the words and ideas. Draw the figure and label it with the given information.
  2. Step 2. Identify what you are looking for.
  3. Step 3. Name what you are looking for. Choose a variable to represent that quantity.
  4. Step 4. Translate into an equation by writing the appropriate formula or model for the situation. Substitute in the given information.
  5. Step 5. Solve the equation using good algebra techniques.
  6. Step 6. Check the answer in the problem and make sure it makes sense.
  7. Step 7. Answer the question with a complete sentence.

Example 9.27

The length of a rectangle is 3232 meters and the width is 2020 meters. Find the perimeter, and the area.

Try It 9.53

The length of a rectangle is 120120 yards and the width is 5050 yards. Find the perimeter and the area.

Try It 9.54

The length of a rectangle is 6262 feet and the width is 4848 feet. Find the perimeter and the area.

Example 9.28

Find the length of a rectangle with perimeter 5050 inches and width 1010 inches.

Try It 9.55

Find the length of a rectangle with a perimeter of 8080 inches and width of 2525 inches.

Try It 9.56

Find the length of a rectangle with a perimeter of 3030 yards and width of 66 yards.

In the next example, the width is defined in terms of the length. We’ll wait to draw the figure until we write an expression for the width so that we can label one side with that expression.

Example 9.29

The width of a rectangle is two inches less than the length. The perimeter is 5252 inches. Find the length and width.

Try It 9.57

The width of a rectangle is seven meters less than the length. The perimeter is 5858 meters. Find the length and width.

Try It 9.58

The length of a rectangle is eight feet more than the width. The perimeter is 6060 feet. Find the length and width.

Example 9.30

The length of a rectangle is four centimeters more than twice the width. The perimeter is 3232 centimeters. Find the length and width.

Try It 9.59

The length of a rectangle is eight more than twice the width. The perimeter is 6464 feet. Find the length and width.

Try It 9.60

The width of a rectangle is six less than twice the length. The perimeter is 1818 centimeters. Find the length and width.

Example 9.31

The area of a rectangular room is 168168 square feet. The length is 1414 feet. What is the width?

Try It 9.61

The area of a rectangle is 598598 square feet. The length is 2323 feet. What is the width?

Try It 9.62

The width of a rectangle is 2121 meters. The area is 609609 square meters. What is the length?

Example 9.32

The perimeter of a rectangular swimming pool is 150150 feet. The length is 1515 feet more than the width. Find the length and width.

Try It 9.63

The perimeter of a rectangular swimming pool is 200200 feet. The length is 4040 feet more than the width. Find the length and width.

Try It 9.64

The length of a rectangular garden is 3030 yards more than the width. The perimeter is 300300 yards. Find the length and width.

Use the Properties of Triangles

We now know how to find the area of a rectangle. We can use this fact to help us visualize the formula for the area of a triangle. In the rectangle in Figure 9.20, we’ve labeled the length bb and the width h,h, so it’s area is bh.bh.

A rectangle is shown. The side is labeled h and the bottom is labeled b. The center says A equals bh.
Figure 9.21 The area of a rectangle is the base, b,b, times the height, h.h.

We can divide this rectangle into two congruent triangles (Figure 9.22). Triangles that are congruent have identical side lengths and angles, and so their areas are equal. The area of each triangle is one-half the area of the rectangle, or 12bh.12bh. This example helps us see why the formula for the area of a triangle is A=12bh.A=12bh.

A rectangle is shown. A diagonal line is drawn from the upper left corner to the bottom right corner. The side of the rectangle is labeled h and the bottom is labeled b. Each triangle says one-half bh. To the right of the rectangle, it says “Area of each triangle,” and shows the equation A equals one-half bh.
Figure 9.22 A rectangle can be divided into two triangles of equal area. The area of each triangle is one-half the area of the rectangle.

The formula for the area of a triangle is A=12bh,A=12bh, where bb is the base and hh is the height.

To find the area of the triangle, you need to know its base and height. The base is the length of one side of the triangle, usually the side at the bottom. The height is the length of the line that connects the base to the opposite vertex, and makes a 90°90° angle with the base. Figure 9.23 shows three triangles with the base and height of each marked.

Three triangles are shown. The triangle on the left is a right triangle. The bottom is labeled b and the side is labeled h. The middle triangle is an acute triangle. The bottom is labeled b. There is a dotted line from the top vertex to the base of the triangle, forming a right angle with the base. That line is labeled h. The triangle on the right is an obtuse triangle. The bottom of the triangle is labeled b. The base has a dotted line extended out and forms a right angle with a dotted line to the top of the triangle. The vertical line is labeled h.
Figure 9.23 The height hh of a triangle is the length of a line segment that connects the the base to the opposite vertex and makes a 90°90° angle with the base.

Triangle Properties

For any triangle ΔABC,ΔABC, the sum of the measures of the angles is 180°.180°.

mA+mB+mC=180°mA+mB+mC=180°

The perimeter of a triangle is the sum of the lengths of the sides.

P=a+b+cP=a+b+c

The area of a triangle is one-half the base, b,b, times the height, h.h.

A=12bhA=12bh
A triangle is shown. The vertices are labeled A, B, and C. The sides are labeled a, b, and c. There is a vertical dotted line from vertex B at the top of the triangle to the base of the triangle, meeting the base at a right angle. The dotted line is labeled h.

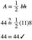
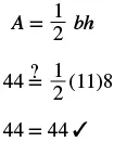
Example 9.33

Find the area of a triangle whose base is 1111 inches and whose height is 88 inches.

Try It 9.65

Find the area of a triangle with base 1313 inches and height 22 inches.

Try It 9.66

Find the area of a triangle with base 1414 inches and height 77 inches.

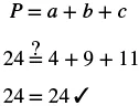
Example 9.34

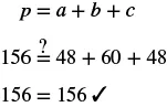
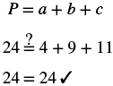
The perimeter of a triangular garden is 2424 feet. The lengths of two sides are 44 feet and 99 feet. How long is the third side?

Try It 9.67

The perimeter of a triangular garden is 2424 feet. The lengths of two sides are 1818 feet and 2222 feet. How long is the third side?

Try It 9.68

The lengths of two sides of a triangular window are 77 feet and 55 feet. The perimeter is 1818 feet. How long is the third side?

Example 9.35

The area of a triangular church window is 9090 square meters. The base of the window is 1515 meters. What is the window’s height?

Try It 9.69

The area of a triangular painting is 126126 square inches. The base is 1818 inches. What is the height?

Try It 9.70

A triangular tent door has an area of 1515 square feet. The height is 55 feet. What is the base?

Isosceles and Equilateral Triangles

Besides the right triangle, some other triangles have special names. A triangle with two sides of equal length is called an isosceles triangle. A triangle that has three sides of equal length is called an equilateral triangle. Figure 9.24 shows both types of triangles.

Two triangles are shown. All three sides of the triangle on the left are labeled s. It is labeled “equilateral triangle”. Two sides of the triangle on the right are labeled s. It is labeled “isosceles triangle”.
Figure 9.24 In an isosceles triangle, two sides have the same length, and the third side is the base. In an equilateral triangle, all three sides have the same length.

Isosceles and Equilateral Triangles

An isosceles triangle has two sides the same length.

An equilateral triangle has three sides of equal length.

Example 9.36

The perimeter of an equilateral triangle is 9393 inches. Find the length of each side.

Try It 9.71

Find the length of each side of an equilateral triangle with perimeter 3939 inches.

Try It 9.72

Find the length of each side of an equilateral triangle with perimeter 5151 centimeters.

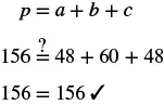
Example 9.37

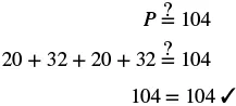
Arianna has 156156 inches of beading to use as trim around a scarf. The scarf will be an isosceles triangle with a base of
6060 inches. How long can she make the two equal sides?

Try It 9.73

A backyard deck is in the shape of an isosceles triangle with a base of 2020 feet. The perimeter of the deck is 4848 feet. How long is each of the equal sides of the deck?

Try It 9.74

A boat’s sail is an isosceles triangle with base of 88 meters. The perimeter is 2222 meters. How long is each of the equal sides of the sail?

Use the Properties of Trapezoids

A trapezoid is four-sided figure, a quadrilateral, with two sides that are parallel and two sides that are not. The parallel sides are called the bases. We call the length of the smaller base b,b, and the length of the bigger base B.B. The height, h,h, of a trapezoid is the distance between the two bases as shown in Figure 9.25.

A trapezoid is shown. The top is labeled b and marked as the smaller base. The bottom is labeled B and marked as the larger base. A vertical line forms a right angle with both bases and is marked as h.
Figure 9.25 A trapezoid has a larger base, B,B, and a smaller base, b.b. The height hh is the distance between the bases.

The formula for the area of a trapezoid is:

Areatrapezoid=12h(b+B)Areatrapezoid=12h(b+B)

Splitting the trapezoid into two triangles may help us understand the formula. The area of the trapezoid is the sum of the areas of the two triangles. See Figure 9.26.

An image of a trapezoid is shown. The top is labeled with a small b, the bottom with a big B. A diagonal is drawn in from the upper left corner to the bottom right corner.
Figure 9.26 Splitting a trapezoid into two triangles may help you understand the formula for its area.

The height of the trapezoid is also the height of each of the two triangles. See Figure 9.27.

An image of a trapezoid is shown. The top is labeled with a small b, the bottom with a big B. A diagonal is drawn in from the upper left corner to the bottom right corner. There is an arrow pointing to a second trapezoid. The upper right-hand side of the trapezoid forms a blue triangle, with the height of the trapezoid drawn in as a dotted line. The lower left-hand side of the trapezoid forms a red triangle, with the height of the trapezoid drawn in as a dotted line.
Figure 9.27

The formula for the area of a trapezoid is

This image shows the formula for the area of a trapezoid and says “area of trapezoid equals one-half h times smaller base b plus larger base B).

If we distribute, we get,

The top line says area of trapezoid equals one-half times blue little b times h plus one-half times red big B times h. Below this is area of trapezoid equals A sub blue triangle plus A sub red triangle.

Properties of Trapezoids

  • A trapezoid has four sides. See Figure 9.25.
  • Two of its sides are parallel and two sides are not.
  • The area, A,A, of a trapezoid is A=12h(b+B)A=12h(b+B).

Example 9.38

Find the area of a trapezoid whose height is 6 inches and whose bases are 1414 and 1111 inches.

Try It 9.75

The height of a trapezoid is 1414 yards and the bases are 77 and 1616 yards. What is the area?

Try It 9.76

The height of a trapezoid is 1818 centimeters and the bases are 1717 and 88 centimeters. What is the area?

Example 9.39

Find the area of a trapezoid whose height is 55 feet and whose bases are 10.310.3 and 13.713.7 feet.

Try It 9.77

The height of a trapezoid is 77 centimeters and the bases are 4.64.6 and 7.47.4 centimeters. What is the area?

Try It 9.78

The height of a trapezoid is 99 meters and the bases are 6.26.2 and 7.87.8 meters. What is the area?

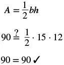
Example 9.40

Vinny has a garden that is shaped like a trapezoid. The trapezoid has a height of 3.43.4 yards and the bases are 8.28.2 and 5.65.6 yards. How many square yards will be available to plant?

Try It 9.79

Lin wants to sod his lawn, which is shaped like a trapezoid. The bases are 10.810.8 yards and 6.76.7 yards, and the height is 4.64.6 yards. How many square yards of sod does he need?

Try It 9.80

Kira wants cover his patio with concrete pavers. If the patio is shaped like a trapezoid whose bases are 1818 feet and 1414 feet and whose height is 1515 feet, how many square feet of pavers will he need?

Section 9.4 Exercises

Practice Makes Perfect

Understand Linear, Square, and Cubic Measure

In the following exercises, determine whether you would measure each item using linear, square, or cubic units.

129.

amount of water in a fish tank

130.

length of dental floss

131.

living area of an apartment

132.

floor space of a bathroom tile

133.

height of a doorway

134.

capacity of a truck trailer

In the following exercises, find the perimeter and area of each figure. Assume each side of the square is 11 cm.

135.
A rectangle is shown comprised of 4 squares forming a horizontal line.
136.
A rectangle is shown comprised of 3 squares forming a vertical line.
137.
Three squares are shown. There is one on the bottom left, one on the bottom right, and one on the top right.
138.
Four squares are shown. Three form a horizontal line, and there is one above the center square.
139.
Five squares are shown. There are three forming a horizontal line across the top and two underneath the two on the right.
140.
A square is shown. It is comprised of nine smaller squares.

Use the Properties of Rectangles

In the following exercises, find the perimeter and area of each rectangle.

141.

The length of a rectangle is 8585 feet and the width is 4545 feet.

142.

The length of a rectangle is 2626 inches and the width is 5858 inches.

143.

A rectangular room is 1515 feet wide by 1414 feet long.

144.

A driveway is in the shape of a rectangle 2020 feet wide by 3535 feet long.

In the following exercises, solve.

145.

Find the length of a rectangle with perimeter 124124 inches and width 3838 inches.

146.

Find the length of a rectangle with perimeter 20.220.2 yards and width of 7.87.8 yards.

147.

Find the width of a rectangle with perimeter 9292 meters and length 1919 meters.

148.

Find the width of a rectangle with perimeter 16.216.2 meters and length 3.23.2 meters.

149.

The area of a rectangle is 414414 square meters. The length is 1818 meters. What is the width?

150.

The area of a rectangle is 782782 square centimeters. The width is 1717 centimeters. What is the length?

151.

The length of a rectangle is 99 inches more than the width. The perimeter is 4646 inches. Find the length and the width.

152.

The width of a rectangle is 88 inches more than the length. The perimeter is 5252 inches. Find the length and the width.

153.

The perimeter of a rectangle is 5858 meters. The width of the rectangle is 55 meters less than the length. Find the length and the width of the rectangle.

154.

The perimeter of a rectangle is 6262 feet. The width is 77 feet less than the length. Find the length and the width.

155.

The width of the rectangle is 0.70.7 meters less than the length. The perimeter of a rectangle is 52.652.6 meters. Find the dimensions of the rectangle.

156.

The length of the rectangle is 1.11.1 meters less than the width. The perimeter of a rectangle is 49.449.4 meters. Find the dimensions of the rectangle.

157.

The perimeter of a rectangle of 150150 feet. The length of the rectangle is twice the width. Find the length and width of the rectangle.

158.

The length of a rectangle is three times the width. The perimeter is 7272 feet. Find the length and width of the rectangle.

159.

The length of a rectangle is 33 meters less than twice the width. The perimeter is 3636 meters. Find the length and width.

160.

The length of a rectangle is 55 inches more than twice the width. The perimeter is 3434 inches. Find the length and width.

161.

The width of a rectangular window is 2424 inches. The area is 624624 square inches. What is the length?

162.

The length of a rectangular poster is 2828 inches. The area is 13161316 square inches. What is the width?

163.

The area of a rectangular roof is 23102310 square meters. The length is 4242 meters. What is the width?

164.

The area of a rectangular tarp is 132132 square feet. The width is 1212 feet. What is the length?

165.

The perimeter of a rectangular courtyard is 160160 feet. The length is 1010 feet more than the width. Find the length and the width.

166.

The perimeter of a rectangular painting is 306306 centimeters. The length is 1717 centimeters more than the width. Find the length and the width.

167.

The width of a rectangular window is 4040 inches less than the height. The perimeter of the doorway is 224224 inches. Find the length and the width.

168.

The width of a rectangular playground is 77 meters less than the length. The perimeter of the playground is 4646 meters. Find the length and the width.

Use the Properties of Triangles

In the following exercises, solve using the properties of triangles.

169.

Find the area of a triangle with base 1212 inches and height 55 inches.

170.

Find the area of a triangle with base 4545 centimeters and height 3030 centimeters.

171.

Find the area of a triangle with base 8.38.3 meters and height 6.16.1 meters.

172.

Find the area of a triangle with base 24.224.2 feet and height 20.520.5 feet.

173.

A triangular flag has base of 11 foot and height of 1.51.5 feet. What is its area?

174.

A triangular window has base of 88 feet and height of 66 feet. What is its area?

175.

If a triangle has sides of 66 feet and 99 feet and the perimeter is 2323 feet, how long is the third side?

176.

If a triangle has sides of 1414 centimeters and 1818 centimeters and the perimeter is 4949 centimeters, how long is the third side?

177.

What is the base of a triangle with an area of 207207 square inches and height of 1818 inches?

178.

What is the height of a triangle with an area of 893893 square inches and base of 3838 inches?

179.

The perimeter of a triangular reflecting pool is 3636 yards. The lengths of two sides are 1010 yards and 1515 yards. How long is the third side?

180.

A triangular courtyard has perimeter of 120120 meters. The lengths of two sides are 3030 meters and 5050 meters. How long is the third side?

181.

An isosceles triangle has a base of 2020 centimeters. If the perimeter is 7676 centimeters, find the length of each of the other sides.

182.

An isosceles triangle has a base of 2525 inches. If the perimeter is 9595 inches, find the length of each of the other sides.

183.

Find the length of each side of an equilateral triangle with a perimeter of 5151 yards.

184.

Find the length of each side of an equilateral triangle with a perimeter of 5454 meters.

185.

The perimeter of an equilateral triangle is 1818 meters. Find the length of each side.

186.

The perimeter of an equilateral triangle is 4242 miles. Find the length of each side.

187.

The perimeter of an isosceles triangle is 4242 feet. The length of the shortest side is 1212 feet. Find the length of the other two sides.

188.

The perimeter of an isosceles triangle is 8383 inches. The length of the shortest side is 2424 inches. Find the length of the other two sides.

189.

A dish is in the shape of an equilateral triangle. Each side is 88 inches long. Find the perimeter.

190.

A floor tile is in the shape of an equilateral triangle. Each side is 1.51.5 feet long. Find the perimeter.

191.

A road sign in the shape of an isosceles triangle has a base of 3636 inches. If the perimeter is 9191 inches, find the length of each of the other sides.

192.

A scarf in the shape of an isosceles triangle has a base of 0.750.75 meters. If the perimeter is 22 meters, find the length of each of the other sides.

193.

The perimeter of a triangle is 3939 feet. One side of the triangle is 11 foot longer than the second side. The third side is 22 feet longer than the second side. Find the length of each side.

194.

The perimeter of a triangle is 3535 feet. One side of the triangle is 55 feet longer than the second side. The third side is 33 feet longer than the second side. Find the length of each side.

195.

One side of a triangle is twice the smallest side. The third side is 55 feet more than the shortest side. The perimeter is 1717 feet. Find the lengths of all three sides.

196.

One side of a triangle is three times the smallest side. The third side is 33 feet more than the shortest side. The perimeter is 1313 feet. Find the lengths of all three sides.

Use the Properties of Trapezoids

In the following exercises, solve using the properties of trapezoids.

197.

The height of a trapezoid is 1212 feet and the bases are 99 and 1515 feet. What is the area?

198.

The height of a trapezoid is 2424 yards and the bases are 1818 and 3030 yards. What is the area?

199.

Find the area of a trapezoid with a height of 5151 meters and bases of 4343 and 6767 meters.

200.

Find the area of a trapezoid with a height of 6262 inches and bases of 5858 and 7575 inches.

201.

The height of a trapezoid is 1515 centimeters and the bases are 12.512.5 and 18.318.3 centimeters. What is the area?

202.

The height of a trapezoid is 4848 feet and the bases are 38.638.6 and 60.260.2 feet. What is the area?

203.

Find the area of a trapezoid with a height of 4.24.2 meters and bases of 8.18.1 and 5.55.5 meters.

204.

Find the area of a trapezoid with a height of 32.532.5 centimeters and bases of 54.654.6 and 41.441.4 centimeters.

205.

Laurel is making a banner shaped like a trapezoid. The height of the banner is 33 feet and the bases are 44 and 55 feet. What is the area of the banner?

206.

Niko wants to tile the floor of his bathroom. The floor is shaped like a trapezoid with width 55 feet and lengths 55 feet and 88 feet. What is the area of the floor?

207.

Theresa needs a new top for her kitchen counter. The counter is shaped like a trapezoid with width 18.518.5 inches and lengths 6262 and 5050 inches. What is the area of the counter?

208.

Elena is knitting a scarf. The scarf will be shaped like a trapezoid with width 88 inches and lengths 48.248.2 inches and 56.256.2 inches. What is the area of the scarf?

Everyday Math

209.

Fence Jose just removed the children’s playset from his back yard to make room for a rectangular garden. He wants to put a fence around the garden to keep out the dog. He has a 5050 foot roll of fence in his garage that he plans to use. To fit in the backyard, the width of the garden must be 1010 feet. How long can he make the other side if he wants to use the entire roll of fence?

210.

Gardening Lupita wants to fence in her tomato garden. The garden is rectangular and the length is twice the width. It will take 4848 feet of fencing to enclose the garden. Find the length and width of her garden.

211.

Fence Christa wants to put a fence around her triangular flowerbed. The sides of the flowerbed are 66 feet, 88 feet, and 1010 feet. The fence costs $10$10 per foot. How much will it cost for Christa to fence in her flowerbed?

212.

Painting Caleb wants to paint one wall of his attic. The wall is shaped like a trapezoid with height 88 feet and bases 2020 feet and 1212 feet. The cost of the painting one square foot of wall is about $0.05.$0.05. About how much will it cost for Caleb to paint the attic wall?

A right trapezoid is shown.

Writing Exercises

213.

If you need to put tile on your kitchen floor, do you need to know the perimeter or the area of the kitchen? Explain your reasoning.

214.

If you need to put a fence around your backyard, do you need to know the perimeter or the area of the backyard? Explain your reasoning.

215.

Look at the two figures.

A rectangle is shown on the left. It is labeled as 2 by 8. A square is shown on the right. It is labeled as 4 by 4.

Which figure looks like it has the larger area? Which looks like it has the larger perimeter?

Now calculate the area and perimeter of each figure. Which has the larger area? Which has the larger perimeter?

216.

The length of a rectangle is 55 feet more than the width. The area is 5050 square feet. Find the length and the width.

Write the equation you would use to solve the problem.

Why can’t you solve this equation with the methods you learned in the previous chapter?

Self Check

After completing the exercises, use this checklist to evaluate your mastery of the objectives of this section.

.

On a scale of 1–10, how would you rate your mastery of this section in light of your responses on the checklist? How can you improve this?

Citation/Attribution

This book may not be used in the training of large language models or otherwise be ingested into large language models or generative AI offerings without OpenStax's permission.

Want to cite, share, or modify this book? This book uses the Creative Commons Attribution License and you must attribute OpenStax.

Attribution information
  • If you are redistributing all or part of this book in a print format, then you must include on every physical page the following attribution:

    Access for free at https://openstax.org/books/prealgebra/pages/1-introduction

  • If you are redistributing all or part of this book in a digital format, then you must include on every digital page view the following attribution:

    Access for free at https://openstax.org/books/prealgebra/pages/1-introduction

Citation information

© Feb 9, 2022 OpenStax. Textbook content produced by OpenStax is licensed under a Creative Commons Attribution License . The OpenStax name, OpenStax logo, OpenStax book covers, OpenStax CNX name, and OpenStax CNX logo are not subject to the Creative Commons license and may not be reproduced without the prior and express written consent of Rice University.