Skip to ContentGo to accessibility pageKeyboard shortcuts menu
OpenStax Logo
Prealgebra

8.1 Solve Equations Using the Subtraction and Addition Properties of Equality

Prealgebra8.1 Solve Equations Using the Subtraction and Addition Properties of Equality
Search for key terms or text.

Learning Objectives

By the end of this section, you will be able to:
  • Solve equations using the Subtraction and Addition Properties of Equality
  • Solve equations that need to be simplified
  • Translate an equation and solve
  • Translate and solve applications

Be Prepared 8.1

Before you get started, take this readiness quiz.

  1. Solve: n12=16.n12=16.
    If you missed this problem, review Example 2.33.
  2. Translate into algebra ‘five less than x.’x.’
    If you missed this problem, review Example 2.24.
  3. Is x=2x=2 a solution to 5x3=7?5x3=7?
    If you missed this problem, review Example 2.28.

We are now ready to “get to the good stuff.” You have the basics down and are ready to begin one of the most important topics in algebra: solving equations. The applications are limitless and extend to all careers and fields. Also, the skills and techniques you learn here will help improve your critical thinking and problem-solving skills. This is a great benefit of studying mathematics and will be useful in your life in ways you may not see right now.

Solve Equations Using the Subtraction and Addition Properties of Equality

We began our work solving equations in previous chapters. It has been a while since we have seen an equation, so we will review some of the key concepts before we go any further.

We said that solving an equation is like discovering the answer to a puzzle. The purpose in solving an equation is to find the value or values of the variable that make each side of the equation the same. Any value of the variable that makes the equation true is called a solution to the equation. It is the answer to the puzzle.

Solution of an Equation

A solution of an equation is a value of a variable that makes a true statement when substituted into the equation.

In the earlier sections, we listed the steps to determine if a value is a solution. We restate them here.

How To

Determine whether a number is a solution to an equation.

  1. Step 1. Substitute the number for the variable in the equation.
  2. Step 2. Simplify the expressions on both sides of the equation.
  3. Step 3.
    Determine whether the resulting equation is true.
    • If it is true, the number is a solution.
    • If it is not true, the number is not a solution.

Example 8.1

Determine whether y=34y=34 is a solution for 4y+3=8y.4y+3=8y.

Try It 8.1

Is y=23y=23 a solution for 9y+2=6y?9y+2=6y?

Try It 8.2

Is y=25y=25 a solution for 5y3=10y?5y3=10y?

We introduced the Subtraction and Addition Properties of Equality in Solving Equations Using the Subtraction and Addition Properties of Equality. In that section, we modeled how these properties work and then applied them to solving equations with whole numbers. We used these properties again each time we introduced a new system of numbers. Let’s review those properties here.

Subtraction and Addition Properties of Equality

Subtraction Property of Equality

For all real numbers a,b,a,b, and c,c, if a=b,a=b, then ac=bc.ac=bc.

Addition Property of Equality

For all real numbers a,b,a,b, and c,c, if a=b,a=b, then a+c=b+c.a+c=b+c.

When you add or subtract the same quantity from both sides of an equation, you still have equality.

We introduced the Subtraction Property of Equality earlier by modeling equations with envelopes and counters. Figure 8.2 models the equation x+3=8.x+3=8.

An envelope and three yellow counters are shown on the left side. On the right side are eight yellow counters.
Figure 8.2

The goal is to isolate the variable on one side of the equation. So we ‘took away’ 33 from both sides of the equation and found the solution x=5.x=5.

Some people picture a balance scale, as in Figure 8.3, when they solve equations.

Three balance scales are shown. The top scale has one red weight on each side and is balanced. Beside it is “1 mass on each side equals balanced.” The next scale has two weights on each side and is balanced. Beside it is “2 masses on each side equals balanced.” The bottom scale has one weight on the left and two on the right. The right side is lower than the left. Beside the image is “1 mass on one side and 2 masses on the other equals unbalanced.”
Figure 8.3

The quantities on both sides of the equal sign in an equation are equal, or balanced. Just as with the balance scale, whatever you do to one side of the equation you must also do to the other to keep it balanced.

Let’s review how to use Subtraction and Addition Properties of Equality to solve equations. We need to isolate the variable on one side of the equation. And we check our solutions by substituting the value into the equation to make sure we have a true statement.

Example 8.2

Solve: x+11=−3.x+11=−3.

Try It 8.3

Solve: x+9=−7.x+9=−7.

Try It 8.4

Solve: x+16=−4.x+16=−4.

In the original equation in the previous example, 1111 was added to the xx, so we subtracted 1111 to ‘undo’ the addition. In the next example, we will need to ‘undo’ subtraction by using the Addition Property of Equality.

Example 8.3

Solve: m+4=−5.m+4=−5.

Try It 8.5

Solve: n6=−7.n6=−7.

Try It 8.6

Solve: x5=−9.x5=−9.

Now let’s review solving equations with fractions.

Example 8.4

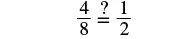
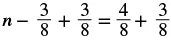
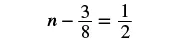
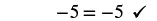
Solve: n38=12.n38=12.

Try It 8.7

Solve: p13=56.p13=56.

Try It 8.8

Solve: q12=16.q12=16.

In Solve Equations with Decimals, we solved equations that contained decimals. We’ll review this next.

Example 8.5

Solve a3.7=4.3.a3.7=4.3.

Try It 8.9

Solve: b2.8=3.6.b2.8=3.6.

Try It 8.10

Solve: c6.9=7.1.c6.9=7.1.

Solve Equations That Need to Be Simplified

In the examples up to this point, we have been able to isolate the variable with just one operation. Many of the equations we encounter in algebra will take more steps to solve. Usually, we will need to simplify one or both sides of an equation before using the Subtraction or Addition Properties of Equality. You should always simplify as much as possible before trying to isolate the variable.

Example 8.6

Solve: 3x72x4=1.3x72x4=1.

Try It 8.11

Solve: 8y47y7=4.8y47y7=4.

Try It 8.12

Solve: 6z+55z4=3.6z+55z4=3.

Example 8.7

Solve: 3(n4)2n=−3.3(n4)2n=−3.

Try It 8.13

Solve: 5(p3)4p=−10.5(p3)4p=−10.

Try It 8.14

Solve: 4(q+2)3q=−8.4(q+2)3q=−8.

Example 8.8

Solve: 2(3k1)5k=−27.2(3k1)5k=−27.

Try It 8.15

Solve: 4(2h3)7h=−67.4(2h3)7h=−67.

Try It 8.16

Solve: 2(5x+2)9x=−2+7.2(5x+2)9x=−2+7.

Translate an Equation and Solve

In previous chapters, we translated word sentences into equations. The first step is to look for the word (or words) that translate(s) to the equal sign. Table 8.1 reminds us of some of the words that translate to the equal sign.

Equals (=)
is is equal to is the same as the result is gives was will be
Table 8.1

Let’s review the steps we used to translate a sentence into an equation.

How To

Translate a word sentence to an algebraic equation.

  1. Step 1. Locate the "equals" word(s). Translate to an equal sign.
  2. Step 2. Translate the words to the left of the "equals" word(s) into an algebraic expression.
  3. Step 3. Translate the words to the right of the "equals" word(s) into an algebraic expression.

Now we are ready to try an example.

Example 8.9

Translate and solve: five more than xx is equal to 26.26.

Try It 8.17

Translate and solve: Eleven more than xx is equal to 41.41.

Try It 8.18

Translate and solve: Twelve less than yy is equal to 51.51.

Example 8.10

Translate and solve: The difference of 5p5p and 4p4p is 23.23.

Try It 8.19

Translate and solve: The difference of 4x4x and 3x3x is 14.14.

Try It 8.20

Translate and solve: The difference of 7a7a and 6a6a is −8.−8.

Translate and Solve Applications

In most of the application problems we solved earlier, we were able to find the quantity we were looking for by simplifying an algebraic expression. Now we will be using equations to solve application problems. We’ll start by restating the problem in just one sentence, assign a variable, and then translate the sentence into an equation to solve. When assigning a variable, choose a letter that reminds you of what you are looking for.

Example 8.11

The Robles family has two dogs, Buster and Chandler. Together, they weigh 7171 pounds.

Chandler weighs 2828 pounds. How much does Buster weigh?

Try It 8.21

Translate into an algebraic equation and solve: The Pappas family has two cats, Zeus and Athena. Together, they weigh 1313 pounds. Zeus weighs 66 pounds. How much does Athena weigh?

Try It 8.22

Translate into an algebraic equation and solve: Sam and Henry are roommates. Together, they have 6868 books. Sam has 2626 books. How many books does Henry have?

How To

Devise a problem-solving strategy.

  1. Step 1. Read the problem. Make sure you understand all the words and ideas.
  2. Step 2. Identify what you are looking for.
  3. Step 3. Name what you are looking for. Choose a variable to represent that quantity.
  4. Step 4. Translate into an equation. It may be helpful to restate the problem in one sentence with all the important information. Then, translate the English sentence into an algebra equation.
  5. Step 5. Solve the equation using good algebra techniques.
  6. Step 6. Check the answer in the problem and make sure it makes sense.
  7. Step 7. Answer the question with a complete sentence.

Example 8.12

Shayla paid $24,575$24,575 for her new car. This was $875$875 less than the sticker price. What was the sticker price of the car?

Try It 8.23

Translate into an algebraic equation and solve: Eddie paid $19,875$19,875 for his new car. This was $1,025$1,025 less than the sticker price. What was the sticker price of the car?

Try It 8.24

Translate into an algebraic equation and solve: The admission price for the movies during the day is $7.75.$7.75. This is $3.25$3.25 less than the price at night. How much does the movie cost at night?

Section 8.1 Exercises

Practice Makes Perfect

Solve Equations Using the Subtraction and Addition Properties of Equality

In the following exercises, determine whether the given value is a solution to the equation.

1.

Is y=13y=13 a solution of 4y+2=10y?4y+2=10y?

2.

Is x=34x=34 a solution of 5x+3=9x?5x+3=9x?

3.

Is u=12u=12 a solution of 8u1=6u?8u1=6u?

4.

Is v=13v=13 a solution of 9v2=3v?9v2=3v?

In the following exercises, solve each equation.

5.

x + 7 = 12 x + 7 = 12

6.

y + 5 = −6 y + 5 = −6

7.

b + 1 4 = 3 4 b + 1 4 = 3 4

8.

a + 2 5 = 4 5 a + 2 5 = 4 5

9.

p + 2.4 = −9.3 p + 2.4 = −9.3

10.

m + 7.9 = 11.6 m + 7.9 = 11.6

11.

a 3 = 7 a 3 = 7

12.

m 8 = −20 m 8 = −20

13.

x 1 3 = 2 x 1 3 = 2

14.

x 1 5 = 4 x 1 5 = 4

15.

y 3.8 = 10 y 3.8 = 10

16.

y 7.2 = 5 y 7.2 = 5

17.

x 15 = −42 x 15 = −42

18.

z + 5.2 = −8.5 z + 5.2 = −8.5

19.

q + 3 4 = 1 2 q + 3 4 = 1 2

20.

p 2 5 = 2 3 p 2 5 = 2 3

21.

y 3 4 = 3 5 y 3 4 = 3 5

Solve Equations that Need to be Simplified

In the following exercises, solve each equation.

22.

c + 3 10 = 18 c + 3 10 = 18

23.

m + 6 8 = 15 m + 6 8 = 15

24.

9 x + 5 8 x + 14 = 20 9 x + 5 8 x + 14 = 20

25.

6 x + 8 5 x + 16 = 32 6 x + 8 5 x + 16 = 32

26.

−6 x 11 + 7 x 5 = −16 −6 x 11 + 7 x 5 = −16

27.

−8 n 17 + 9 n 4 = −41 −8 n 17 + 9 n 4 = −41

28.

3 ( y 5 ) 2 y = −7 3 ( y 5 ) 2 y = −7

29.

4 ( y 2 ) 3 y = −6 4 ( y 2 ) 3 y = −6

30.

8 ( u + 1.5 ) 7 u = 4.9 8 ( u + 1.5 ) 7 u = 4.9

31.

5 ( w + 2.2 ) 4 w = 9.3 5 ( w + 2.2 ) 4 w = 9.3

32.

−5 ( y 2 ) + 6 y = −7 + 4 −5 ( y 2 ) + 6 y = −7 + 4

33.

−8 ( x 1 ) + 9 x = −3 + 9 −8 ( x 1 ) + 9 x = −3 + 9

34.

3 ( 5 n 1 ) 14 n + 9 = 1 2 3 ( 5 n 1 ) 14 n + 9 = 1 2

35.

2 ( 8 m + 3 ) 15 m 4 = 3 5 2 ( 8 m + 3 ) 15 m 4 = 3 5

36.

( j + 2 ) + 2 j 1 = 5 ( j + 2 ) + 2 j 1 = 5

37.

( k + 7 ) + 2 k + 8 = 7 ( k + 7 ) + 2 k + 8 = 7

38.

6 a 5 ( a 2 ) + 9 = −11 6 a 5 ( a 2 ) + 9 = −11

39.

8 c 7 ( c 3 ) + 4 = −16 8 c 7 ( c 3 ) + 4 = −16

40.

8 ( 4 x + 5 ) 5 ( 6 x ) x = 53 8 ( 4 x + 5 ) 5 ( 6 x ) x = 53

41.

6 ( 9 y 1 ) 10 ( 5 y ) 3 y = 22 6 ( 9 y 1 ) 10 ( 5 y ) 3 y = 22

Translate to an Equation and Solve

In the following exercises, translate to an equation and then solve.

42.

Five more than xx is equal to 21.21.

43.

The sum of xx and −5−5 is 33.33.

44.

Ten less than mm is −14.−14.

45.

Three less than yy is −19.−19.

46.

The sum of yy and −3−3 is 40.40.

47.

Eight more than pp is equal to 52.52.

48.

The difference of 9x9x and 8x8x is 17.17.

49.

The difference of 5c5c and 4c4c is 60.60.

50.

The difference of nn and 1616 is 12.12.

51.

The difference of ff and 1313 is 112.112.

52.

The sum of −4n−4n and 5n5n is −32.−32.

53.

The sum of −9m−9m and 10m10m is −25.−25.

Translate and Solve Applications

In the following exercises, translate into an equation and solve.

54.

Pilar drove from home to school and then to her aunt’s house, a total of 1818 miles. The distance from Pilar’s house to school is 77 miles. What is the distance from school to her aunt’s house?

55.

Jeff read a total of 5454 pages in his English and Psychology textbooks. He read 4141 pages in his English textbook. How many pages did he read in his Psychology textbook?

56.

Pablo’s father is 33 years older than his mother. Pablo’s mother is 4242 years old. How old is his father?

57.

Eva’s daughter is 55 years younger than her son. Eva’s son is 1212 years old. How old is her daughter?

58.

Allie weighs 88 pounds less than her twin sister Lorrie. Allie weighs 124124 pounds. How much does Lorrie weigh?

59.

For a family birthday dinner, Celeste bought a turkey that weighed 55 pounds less than the one she bought for Thanksgiving. The birthday dinner turkey weighed 1616 pounds. How much did the Thanksgiving turkey weigh?

60.

The nurse reported that Tricia’s daughter had gained 4.24.2 pounds since her last checkup and now weighs 31.631.6 pounds. How much did Tricia’s daughter weigh at her last checkup?

61.

Connor’s temperature was 0.70.7 degrees higher this morning than it had been last night. His temperature this morning was 101.2101.2 degrees. What was his temperature last night?

62.

Melissa’s math book cost $22.85$22.85 less than her art book cost. Her math book cost $93.75.$93.75. How much did her art book cost?

63.

Ron’s paycheck this week was $17.43$17.43 less than his paycheck last week. His paycheck this week was $103.76.$103.76. How much was Ron’s paycheck last week?

Everyday Math

64.

Baking Kelsey needs 2323 cup of sugar for the cookie recipe she wants to make. She only has 1414 cup of sugar and will borrow the rest from her neighbor. Let ss equal the amount of sugar she will borrow. Solve the equation 14+s=2314+s=23 to find the amount of sugar she should ask to borrow.

65.

Construction Miguel wants to drill a hole for a 58-inch58-inch screw. The screw should be 112112 inch larger than the hole. Let dd equal the size of the hole he should drill. Solve the equation d+112=58d+112=58 to see what size the hole should be.

Writing Exercises

66.

Is −18−18 a solution to the equation 3x=165x?3x=165x? How do you know?

67.

Write a word sentence that translates the equation y18=41y18=41 and then make up an application that uses this equation in its solution.

Self Check

After completing the exercises, use this checklist to evaluate your mastery of the objectives of this section.

.

If most of your checks were:

…confidently. Congratulations! You have achieved the objectives in this section. Reflect on the study skills you used so that you can continue to use them. What did you do to become confident of your ability to do these things? Be specific.

…with some help. This must be addressed quickly because topics you do not master become potholes in your road to success. In math, every topic builds upon previous work. It is important to make sure you have a strong foundation before you move on. Who can you ask for help? Your fellow classmates and instructor are good resources. Is there a place on campus where math tutors are available? Can your study skills be improved?

…no—I don’t get it! This is a warning sign and you must not ignore it. You should get help right away or you will quickly be overwhelmed. See your instructor as soon as you can to discuss your situation. Together you can come up with a plan to get you the help you need.

Citation/Attribution

This book may not be used in the training of large language models or otherwise be ingested into large language models or generative AI offerings without OpenStax's permission.

Want to cite, share, or modify this book? This book uses the Creative Commons Attribution License and you must attribute OpenStax.

Attribution information
  • If you are redistributing all or part of this book in a print format, then you must include on every physical page the following attribution:

    Access for free at https://openstax.org/books/prealgebra/pages/1-introduction

  • If you are redistributing all or part of this book in a digital format, then you must include on every digital page view the following attribution:

    Access for free at https://openstax.org/books/prealgebra/pages/1-introduction

Citation information

© Feb 9, 2022 OpenStax. Textbook content produced by OpenStax is licensed under a Creative Commons Attribution License . The OpenStax name, OpenStax logo, OpenStax book covers, OpenStax CNX name, and OpenStax CNX logo are not subject to the Creative Commons license and may not be reproduced without the prior and express written consent of Rice University.