Skip to ContentGo to accessibility pageKeyboard shortcuts menu
OpenStax Logo
Search for key terms or text.

Problem 11-1
(R)-1-Methylpentyl acetate, CH3CO2CH(CH3)CH2CH2CH2CH3
Problem 11-2
(S)-2-Butanol
Problem 11-4
(a)
1-Iodobutane
(b)
1-Butanol
(c)
1-Hexyne
(d)
Butylammonium bromide
Problem 11-5
(a)
(CH3)2N
(b)
(CH3)3N
(c)
H2S
Problem 11-6
CH3OTos > CH3Br > (CH3)2CHCl > (CH3)3CCl
Problem 11-7
Similar to protic solvents
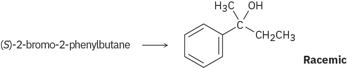
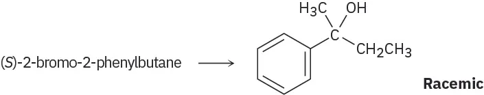
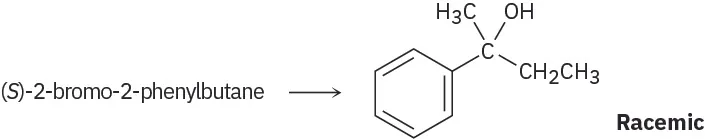
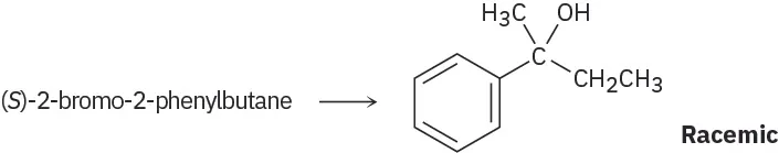
Problem 11-8
Racemic 1-ethyl-1-methylhexyl acetate
Problem 11-9
90.1% racemization, 9.9% inversion
Problem 11-11
H2C ═ CHCH(Br)CH3 > CH3CH(Br)CH3 > CH3CH2Br > H2C ═ CHBr
Problem 11-12
The same allylic carbocation intermediate is formed.
Problem 11-15
(a)
Major: 2-methyl-2-pentene; minor: 4-methyl-2-pentene
(b)
Major: 2,3,5-trimethyl-2-hexene; minor: 2,3,5-trimethyl-3-hexene and 2-isopropyl-4-methyl-1-pentene
(c)
Major: ethylidenecyclohexane; minor: cyclohexylethylene
Problem 11-16
(a)
1-Bromo-3,6-dimethylheptane
(b)
4-Bromo-1,2-dimethylcyclopentane
Problem 11-17
(Z)-1-Bromo-1,2-diphenylethylene
Problem 11-18
(Z)-3-Methyl-2-pentene
Problem 11-19
Cis isomer reacts faster because the bromine is axial.
Problem 11-20
(a)
SN2
(b)
E2
(c)
SN1
(d)
E1cB
Citation/Attribution

This book may not be used in the training of large language models or otherwise be ingested into large language models or generative AI offerings without OpenStax's permission.

Want to cite, share, or modify this book? This book uses the Creative Commons Attribution-NonCommercial-ShareAlike License and you must attribute OpenStax.

Attribution information
  • If you are redistributing all or part of this book in a print format, then you must include on every physical page the following attribution:

    Access for free at https://openstax.org/books/organic-chemistry/pages/1-why-this-chapter

  • If you are redistributing all or part of this book in a digital format, then you must include on every digital page view the following attribution:

    Access for free at https://openstax.org/books/organic-chemistry/pages/1-why-this-chapter

Citation information

© Jul 9, 2025 OpenStax. Textbook content produced by OpenStax is licensed under a Creative Commons Attribution-NonCommercial-ShareAlike License . The OpenStax name, OpenStax logo, OpenStax book covers, OpenStax CNX name, and OpenStax CNX logo are not subject to the Creative Commons license and may not be reproduced without the prior and express written consent of Rice University.