Skip to ContentGo to accessibility pageKeyboard shortcuts menu
OpenStax Logo
Organic Chemistry

31.4 Step-Growth Polymers

Organic Chemistry31.4 Step-Growth Polymers
Search for key terms or text.

31.4 • Step-Growth Polymers

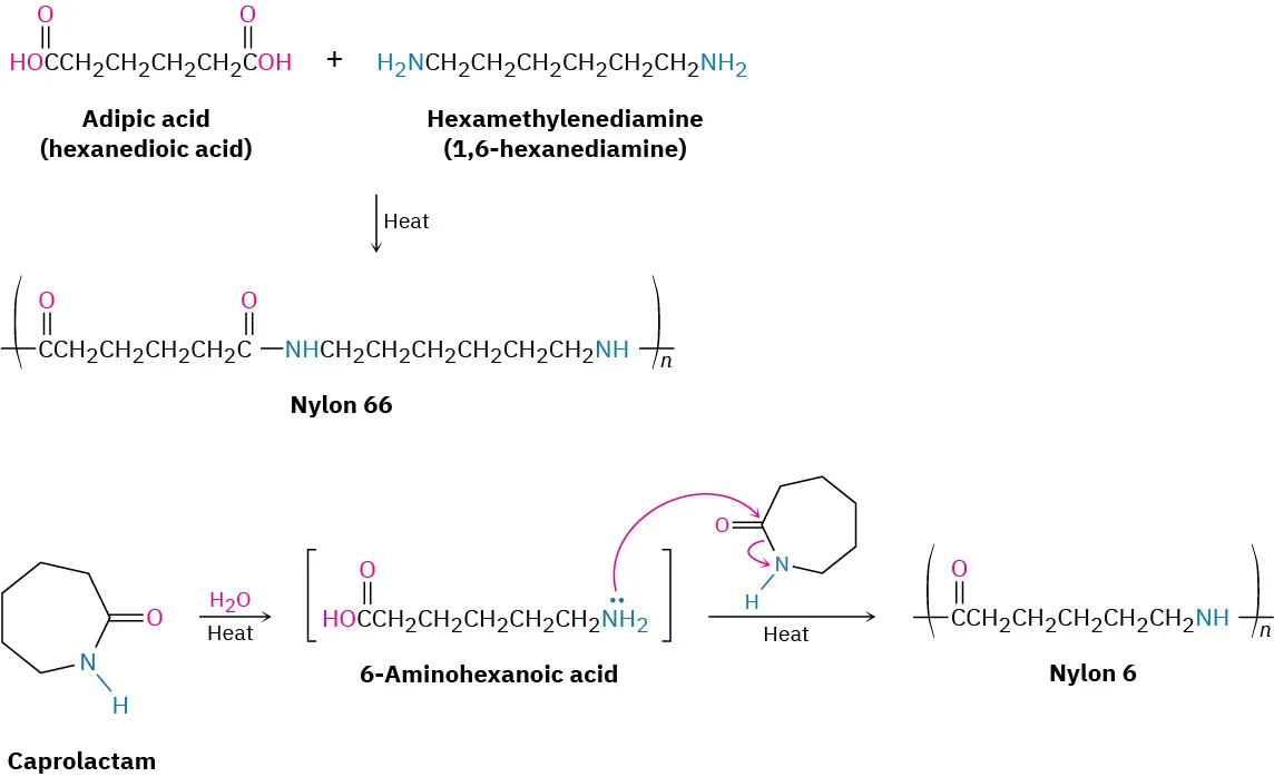
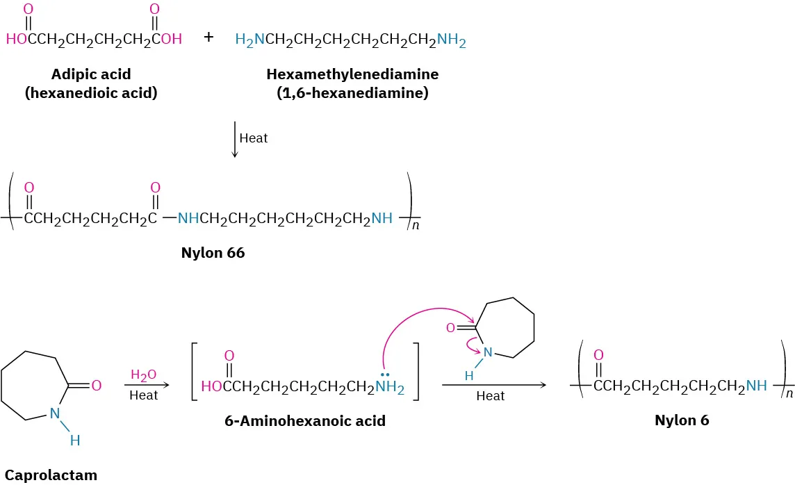
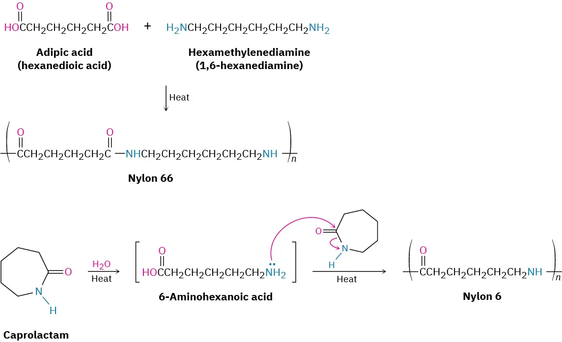
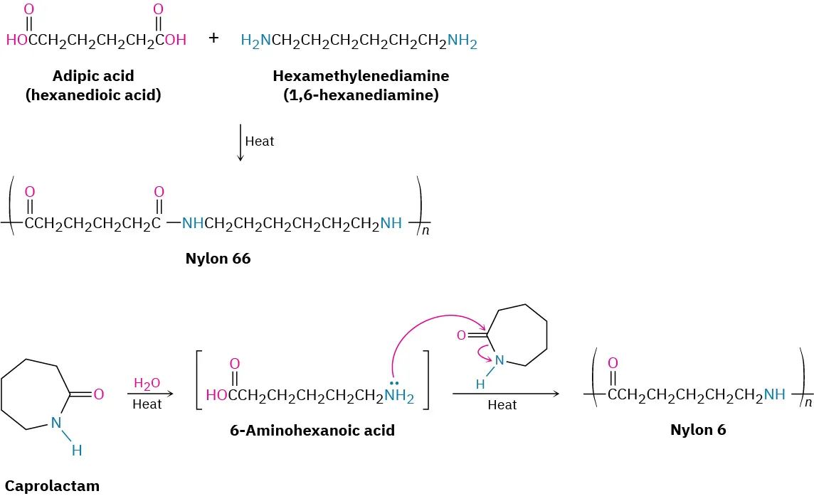
Step-growth polymers are produced by reactions in which each bond in the polymer is formed stepwise, independently of the other bonds. Like the polyamides (nylons) and polyesters that we saw in Section 21.9, most step-growth polymers are produced by reaction between two difunctional reactants. The polymer Nylon 66, for instance, is made by reaction between the six-carbon adipic acid and the six-carbon hexamethylenediamine (1,6-hexanediamine). Alternatively, a single reactant with two different functional groups can polymerize. Nylon 6 is made by polymerization of the six-carbon caprolactam. The reaction is initiated by adding a small amount of water, which hydrolyzes some caprolactam to 6-aminohexanoic acid. Nucleophilic addition of the amino group to caprolactam then propagates the polymerization.

Adipic acid reacts with hexamethylenediamine and heat to give Nylon 66. Caprolactam reacts with water and heat to give 6-aminohexanoic acid that reacts with heat to form Nylon 6.

Polycarbonates

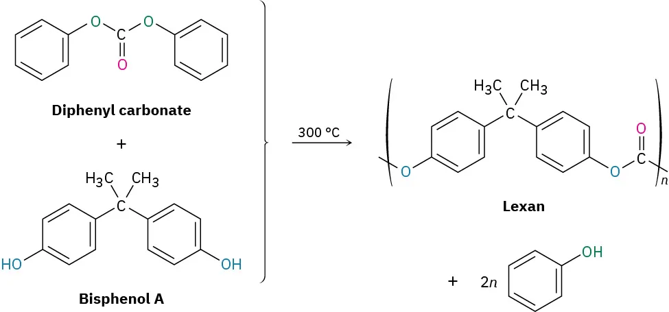
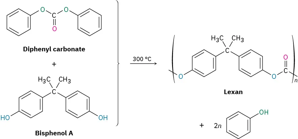
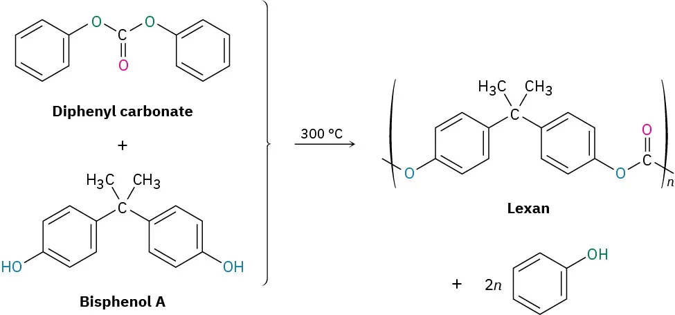
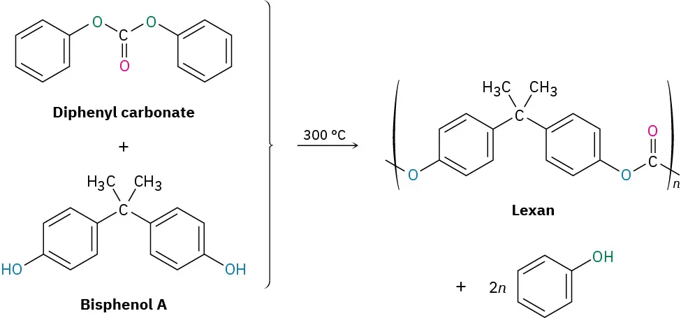
Polycarbonates are like polyesters, but their carbonyl group is linked to two  –OR groups, [OC(OR)2OC(OR)2]. Lexan, for instance, is a polycarbonate prepared from diphenyl carbonate and a diphenol called bisphenol A. Lexan has unusually high impact strength, making it valuable for use in machinery housings, telephones, bicycle safety helmets, and bulletproof glass.

Diphenyl carbonate reacts with bisphenol A at 300 degree Celsius to give Lexan and two n moles of phenol. Lexan's structure is inside parentheses with n as the subscript.

Polyurethanes

A urethane is a carbonyl-containing functional group in which the carbonyl carbon is bonded to both an  –OR group and an  –NR2 group. As such, a urethane is halfway between a carbonate and a urea.

Structures of a carbonate (carbonyl with two O R groups), a urate (carbonyl with O R and N R 2), and a urea (carbonyl with two N R 2 groups).

A urethane is typically prepared by nucleophilic addition reaction of an alcohol with an isocyanate (RNCORNCO), so a polyurethane is prepared by reaction of a diol with a diisocyanate. The diol is usually a low-molecular-weight polymer (MW ≈ 1000 amu) with hydroxyl end-groups; the diisocyanate is often toluene-2,4-diisocyanate.

A polymer bonded with two alcohol groups on both sides reacts with toluene-2,4-diisocyanate to form polyurethane. Polyurethane's structure is inside parentheses with n as the subscript.

Several different kinds of polyurethanes can be produced, depending on the nature of the polymeric alcohol used. One major use of polyurethane is in the stretchable spandex fibers used for bathing suits and athletic gear. These polyurethanes have a fairly low degree of cross-linking so that the resultant polymer is soft and elastic. A second major use of polyurethanes is in the foams used for insulation. Foaming occurs when a small amount of water is added during polymerization, giving a carbamic acid intermediate that spontaneously loses bubbles of CO2.

A carbonyl compound reacts with water having two lone pairs on oxygen to form an intermediate that leads to carbamic acid. This leads to two products, amine and carbon dioxide.

Polyurethane foams are generally made using a polyalcohol rather than a diol as the monomer so that the polymer has a high amount of three-dimensional cross-linking. The result is a rigid but very light foam suitable for use as thermal insulation in building construction and portable ice chests.

Problem 31-8
Poly(ethylene terephthalate), or PET, is a polyester used to make soft-drink bottles. It is prepared by reaction of ethylene glycol with 1,4-benzenedicarboxylic acid (terephthalic acid). Draw the structure of PET.
Problem 31-9
Show the mechanism of the nucleophilic addition reaction of an alcohol with an isocyanate to yield a urethane.
Citation/Attribution

This book may not be used in the training of large language models or otherwise be ingested into large language models or generative AI offerings without OpenStax's permission.

Want to cite, share, or modify this book? This book uses the Creative Commons Attribution-NonCommercial-ShareAlike License and you must attribute OpenStax.

Attribution information
  • If you are redistributing all or part of this book in a print format, then you must include on every physical page the following attribution:

    Access for free at https://openstax.org/books/organic-chemistry/pages/1-why-this-chapter

  • If you are redistributing all or part of this book in a digital format, then you must include on every digital page view the following attribution:

    Access for free at https://openstax.org/books/organic-chemistry/pages/1-why-this-chapter

Citation information

© Jul 9, 2025 OpenStax. Textbook content produced by OpenStax is licensed under a Creative Commons Attribution-NonCommercial-ShareAlike License . The OpenStax name, OpenStax logo, OpenStax book covers, OpenStax CNX name, and OpenStax CNX logo are not subject to the Creative Commons license and may not be reproduced without the prior and express written consent of Rice University.