Skip to ContentGo to accessibility pageKeyboard shortcuts menu
OpenStax Logo
Organic Chemistry

31.5 Olefin Metathesis Polymerization

Organic Chemistry31.5 Olefin Metathesis Polymerization
Search for key terms or text.

31.5 • Olefin Metathesis Polymerization

Perhaps the most important advance in polymer synthesis in recent years has been the development of olefin metathesis polymerization by Yves Chauvin of the Institut Français du Pétrole, Robert H. Grubbs of CalTech, and Richard R.Schrock of MIT who shared the 2005 Nobel Prize in Chemistry for their work. At its simplest, an olefin metathesis reaction is two olefins (alkenes) exchanging substituents on their double bonds.

An alkene with two R groups reacts with an alkene with two R prime groups in presence of catalyst forming two alkene products each with R and R prime groups.

Olefin metathesis catalysts, such as the Grubbs catalyst now in common use, contain a carbon–metal double bond (usually to ruthenium, Ru) and have the general structure M═CHRM═CHR. They function by reacting reversibly with an alkene to form a four-membered, metal-containing intermediate called a metallacycle, which immediately opens to give a different catalyst and a different alkene. The mechanism is shown in Figure 31.3.

Initiation involves two steps and propagation involves four steps. Olefin reacts with Grubbs catalyst forming metallacycle. It further gives another catalyst form, that reacts with olefin 2 to form product.
Figure 31.3 Mechanism of the olefin metathesis reaction. The process is initiated by a two-step sequence that involves (1) reaction of the catalyst and olefin 1 to give a four-membered metallacycle intermediate, followed by (2) ring-opening to give a different form of catalyst that contains part of olefin 1. (3) Reaction of this new catalyst with olefin 2 gives another metallacycle intermediate, (4) which opens to give metathesis product and another form of catalyst. (5, 6) The repeating ring-forming and ring-opening steps then continue.

There are several methods for implementing the olefin metathesis reaction to prepare polymers. One method, called ring-opening metathesis polymerization, or ROMP, involves the use of a moderately strained cycloalkene, such as cyclopentene. The strain of the ring favors ring-opening, thereby driving formation of the open-chain product. The polymer that results has double bonds spaced regularly along the chain, allowing for either hydrogenation or further functionalization if desired.

Cyclopentene reacts with Grubbs catalyst to form the first intermediate which reacts to form second intermediate. This reacts with the catalyst to form a third intermediate leading to a polymer.

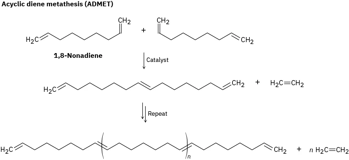
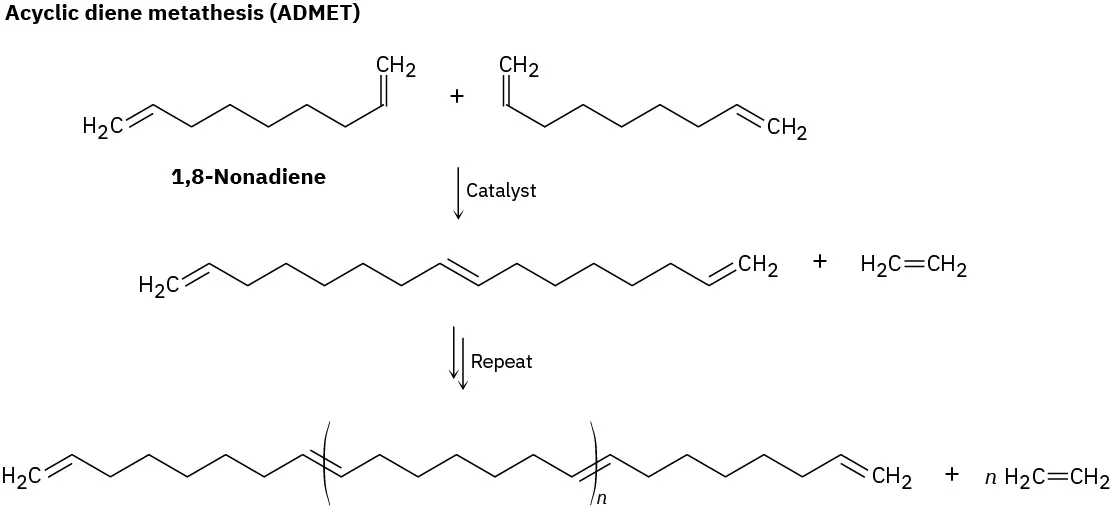
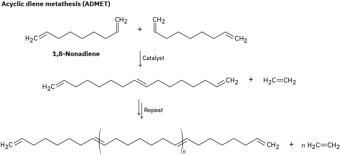
A second method of using olefin metathesis to prepare polymers is by acyclic diene metathesis, or ADMET. As the name suggests, ADMET involves olefin metathesis of an open-chain substrate with two double bonds at the ends of a long chain, such as 1,8-nonadiene. As the reaction proceeds, the gaseous ethylene by-product escapes, thereby driving the equilibrium toward polymer product. So efficient is this reaction that polymers with molecular weights as high as 80,000 amu have been prepared.

Two molecules of 1,8-nonadiene react with a catalyst to create an intermediate and ethylene molecule. Further cycles generate a polymer of n units and n moles of ethylene molecule.

The ROMP and ADMET procedures are particularly valuable because the metathesis reaction is compatible with the presence in the olefin monomer of many different functional groups. In addition, the double bonds in the polymers provide still more flexibility for further manipulations. Among the commercial polymers produced by olefin metathesis are Vestenamer, used in the manufacture of tires and other molded rubber objects, and Norsorex, used in the automobile industry as a sealing material.

The structures of Vestenamer and Norsorex are inside parentheses with subscript n. Vestenamer has ten carbon atoms and Norsorex has seven carbon atoms with two double bonds in each structure.
Problem 31-10
Look at the structures of Vestenamer and Norsorex and show how they might be made by olefin metathesis polymerization.
Citation/Attribution

This book may not be used in the training of large language models or otherwise be ingested into large language models or generative AI offerings without OpenStax's permission.

Want to cite, share, or modify this book? This book uses the Creative Commons Attribution-NonCommercial-ShareAlike License and you must attribute OpenStax.

Attribution information
  • If you are redistributing all or part of this book in a print format, then you must include on every physical page the following attribution:

    Access for free at https://openstax.org/books/organic-chemistry/pages/1-why-this-chapter

  • If you are redistributing all or part of this book in a digital format, then you must include on every digital page view the following attribution:

    Access for free at https://openstax.org/books/organic-chemistry/pages/1-why-this-chapter

Citation information

© Jul 9, 2025 OpenStax. Textbook content produced by OpenStax is licensed under a Creative Commons Attribution-NonCommercial-ShareAlike License . The OpenStax name, OpenStax logo, OpenStax book covers, OpenStax CNX name, and OpenStax CNX logo are not subject to the Creative Commons license and may not be reproduced without the prior and express written consent of Rice University.