Skip to ContentGo to accessibility pageKeyboard shortcuts menu
OpenStax Logo
Organic Chemistry

31.3 Copolymers

Organic Chemistry31.3 Copolymers
Search for key terms or text.

31.3 • Copolymers

Up to this point we’ve discussed only homopolymers—polymers that are made up of identical repeating units. In practice, however, copolymers are more important commercially. Copolymers are obtained when two or more different monomers are allowed to polymerize together. For example, copolymerization of vinyl chloride with vinylidene chloride (1,1-dichloroethylene) in a 1 : 4 ratio leads to the polymer Saran.

Vinyl chloride reacts with vinylidene chloride to form the polymer named saran depicted in parentheses. m denotes the vinyl chloride unit and n denotes vinylidene chloride unit in the product.

Copolymerization of monomer mixtures often leads to materials with properties quite different from those of either corresponding homopolymer, giving the polymer chemist a vast flexibility for devising new materials. Table 31.1 lists some common copolymers and their commercial applications.

Table 31.1 Some Common Copolymers and Their Uses
Monomers Structures Trade name Uses
Vinyl chloride
Vinylidene chloride
Structures of vinyl chloride and vinylidene chloride (C H 2 C Cl 2) separated by a plus sign. Saran Fibers, food packaging
Styrene
1,3-Butadiene
Structures of styrene (vinylbenzene) and 1,3-butadiene separated by a plus sign. SBR (styrene–butadiene rubber) Tires, rubber articles
Hexafluoropropene
Vinylidene fluoride
Structures of hexafluoropropene and vinylidene fluoride (C H 2 C F 2) separated by a plus sign. Viton Gaskets, seals
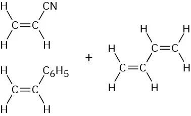
Acrylonitrile
1,3-Butadiene
Structures of acrylonitrile (cyanoethene) and 1,3-butadiene separated by a plus sign. Nitrile rubber Adhesives, hoses
Isobutylene
Isoprene
Structures of isobutylene (2-methyl-1-propene) and isoprene (2-methyl-1,3-butadiene) separated by a plus sign. Butyl rubber Inner tubes
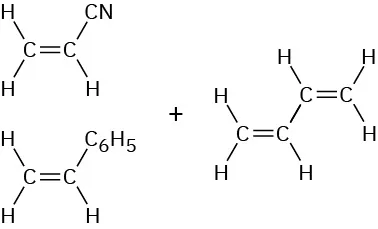
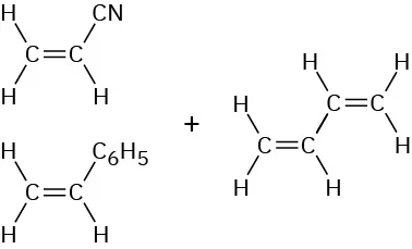
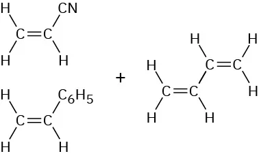
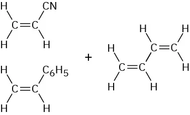
Acrylonitrile
1,3-Butadiene
Styrene
Structures of acrylonitrile (cyanoethene) and styrene (vinylbenzene) on the left separated from 1,3-butadiene on the right by a plus sign. ABS (monomer initials) Pipes, high-impact applications

Several different types of copolymers can be defined, depending on the distribution of monomer units in the chain. If monomer A is copolymerized with monomer B, for instance, the resultant product might have a random distribution of the two units throughout the chain, or it might have an alternating distribution.

The structures of random copolymer and alternating copolymer. The random copolymer has monomer units A and B distributed randomly. An alternating copolymer has monomer units in an alternating manner.

The exact distribution of monomer units depends on the initial proportions of the two reactant monomers and their relative reactivities. In practice, neither perfectly random nor perfectly alternating copolymers are usually found. Most copolymers have many random imperfections.

Two other forms of copolymers that can be prepared under certain conditions are called block copolymers and graft copolymers. Block copolymers are those in which different blocks of identical monomer units alternate with each other; graft copolymers are those in which homopolymer branches of one monomer unit are “grafted” onto a homopolymer chain of another monomer unit.

Two copolymer structures. Block: many units of monomer A are followed by many units of monomer B. Graft: chains of Bs branch off a stem of As.

Block copolymers are prepared by initiating the polymerization of one monomer as if growing a homopolymer chain and then adding an excess of the second monomer to the still-active reaction mix. Graft copolymers are made by gamma irradiation of a completed homopolymer chain in the presence of the second monomer. The high-energy irradiation knocks hydrogen atoms off the homopolymer chain at random points, thus generating new radical sites that can initiate polymerization of the added monomer.

Problem 31-6
Draw the structure of an alternating segment of butyl rubber, a copolymer of isoprene (2-methyl-1,3-butadiene) and isobutylene (2-methylpropene) prepared using a cationic initiator.
Problem 31-7
Irradiation of poly(1,3-butadiene), followed by addition of styrene, yields a graft copolymer that is used to make rubber soles for shoes. Draw the structure of a representative segment of this styrene–butadiene graft copolymer.
Citation/Attribution

This book may not be used in the training of large language models or otherwise be ingested into large language models or generative AI offerings without OpenStax's permission.

Want to cite, share, or modify this book? This book uses the Creative Commons Attribution-NonCommercial-ShareAlike License and you must attribute OpenStax.

Attribution information
  • If you are redistributing all or part of this book in a print format, then you must include on every physical page the following attribution:

    Access for free at https://openstax.org/books/organic-chemistry/pages/1-why-this-chapter

  • If you are redistributing all or part of this book in a digital format, then you must include on every digital page view the following attribution:

    Access for free at https://openstax.org/books/organic-chemistry/pages/1-why-this-chapter

Citation information

© Jul 9, 2025 OpenStax. Textbook content produced by OpenStax is licensed under a Creative Commons Attribution-NonCommercial-ShareAlike License . The OpenStax name, OpenStax logo, OpenStax book covers, OpenStax CNX name, and OpenStax CNX logo are not subject to the Creative Commons license and may not be reproduced without the prior and express written consent of Rice University.