Skip to ContentGo to accessibility pageKeyboard shortcuts menu
OpenStax Logo
Organic Chemistry

27.6 Steroids

Organic Chemistry27.6 Steroids
Search for key terms or text.

27.6 • Steroids

In addition to fats, phospholipids, eicosanoids, and terpenoids, the lipid extracts of plants and animals also contain steroids, molecules that are derived from the triterpenoid lanosterol (Figure 27.7) and whose structures are based on a tetracyclic ring system. The four rings are designated A, B, C, and D, beginning at the lower left. The three 6-membered rings (A, B, and C) adopt chair conformations but are prevented by their rigid geometry from undergoing the usual cyclohexane ring-flips (Section 4.6).

The structure and ball-and-stick model of steroid in which R equals various side chains. It comprises three cyclohexane labeled A, B, and C fused together to another cyclopentane labeled D.

Two cyclohexane rings can be joined in either a cis or a trans manner. With cis fusion to give cis-decalin, both groups at the ring-junction positions (the angular groups) are on the same side of the two rings. With trans fusion to give trans-decalin, the groups at the ring junctions are on opposite sides.

The structure and ball-and-stick model of cis-decalin and trans-decalin. Hydrogen atoms represented as pink spheres are on the same side for cis-decalin and the opposite side for trans-decalin.

As shown in Figure 27.12, steroids can have either a cis or a trans fusion of the A and B rings, but the other ring fusions (B–C and C–D) are usually trans.

The structure and chair conformation of an A-B trans steroid and A-B cis steroid.
Figure 27.12 Steroid conformations. The three 6-membered rings have chair conformations but are unable to undergo ring-flips. The A and B rings can be either cis-fused or trans-fused.

Substituent groups on the steroid ring system can be either axial or equatorial. As with simple cyclohexanes, equatorial substitution is generally more favorable than axial substitution for steric reasons. The hydroxyl group of cholesterol, for example, has the more stable equatorial orientation.

The structure and ball-and-stick model of cholesterol. An arrow points towards the alcohol at an equatorial position in the structure.
Problem 27-8
Draw the following molecules in chair conformations, and tell whether the ring substituents are axial or equatorial:
(a)
The structure of a trans-decline with dashed and wedged hydrogens at the ring junction and a wedged methyl group and dashed hydrogen on the second ring.
(b)
The structure of a trans-decline with dashed and wedged hydrogens at the ring junctions and an equatorial methyl group at C2.
Problem 27-9

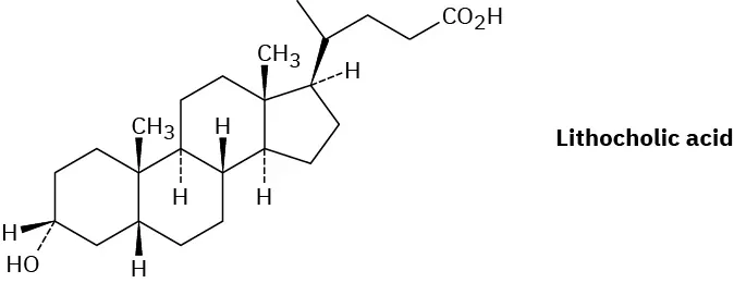
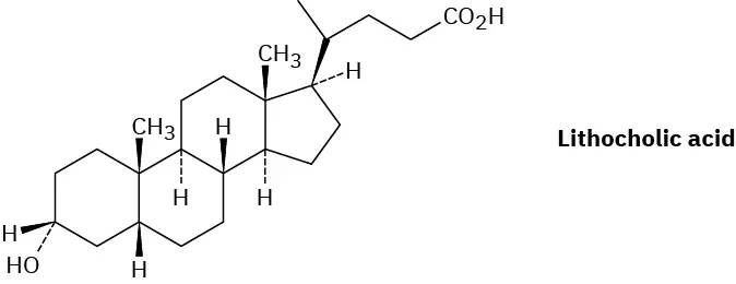
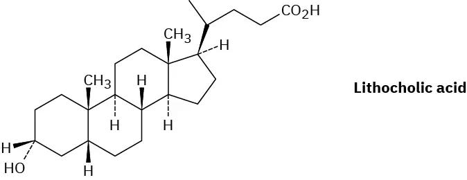
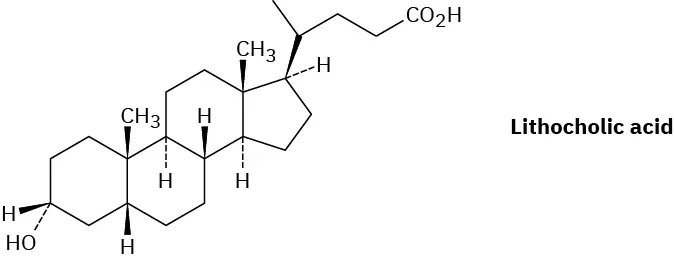
Lithocholic acid is an A–B cis steroid found in human bile. Draw lithocholic acid showing chair conformations, as in Figure 27.12, and tell whether the hydroxyl group at C3 is axial or equatorial.

The figure shows the wedge-dash structure of lithocholic acid.

Steroid Hormones

In humans, most steroids function as hormones, chemical messengers that are secreted by endocrine glands and carried through the bloodstream to target tissues. There are two main classes of steroid hormones: the sex hormones, which control maturation, tissue growth, and reproduction, and the adrenocortical hormones, which regulate a variety of metabolic processes.

Sex Hormones

Testosterone and androsterone are the two most important male sex hormones, or androgens. Androgens are responsible for the development of male secondary sex characteristics during puberty and for promoting tissue and muscle growth. Both are synthesized in the testes from cholesterol. Androstenedione is another minor hormone that has received particular attention because of its use by prominent athletes.

The three structures of hormones or androgens named testosterone, androsterone, and androstenedione.

Estrone and estradiol are the two most important female sex hormones, or estrogens. Synthesized in the ovaries from testosterone, estrogenic hormones are responsible for the development of female secondary sex characteristics and for regulation of the menstrual cycle. Note that both have a benzene-like aromatic A ring. In addition, another kind of sex hormone called a progestin is essential in preparing the uterus for implantation of a fertilized ovum during pregnancy. Progesterone is the most important progestin.

The three structures of estrogen named estrone, estradiol, and progesterone (a progestin).

Adrenocortical Hormones

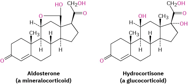
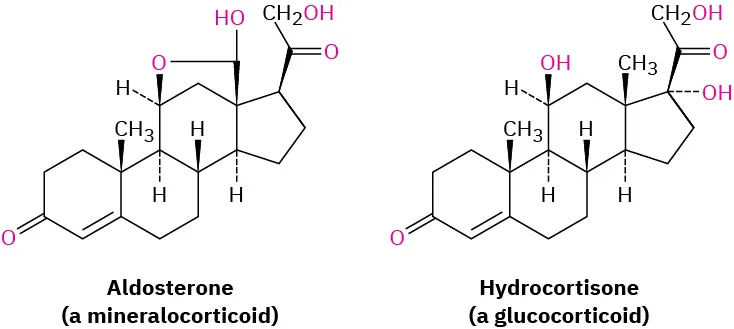
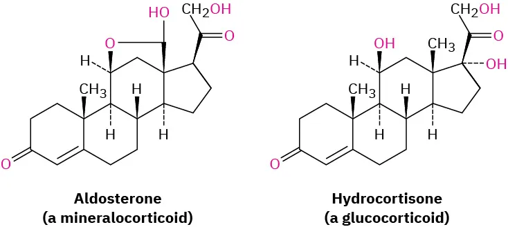
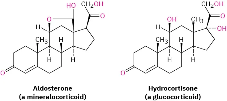
Adrenocortical steroids are secreted by the adrenal glands, small organs located near the upper end of each kidney. There are two types of adrenocortical steroids, called mineralocorticoids and glucocorticoids. Mineralocorticoids, such as aldosterone, control tissue swelling by regulating cellular salt balance between Na+ and K+. Glucocorticoids, such as hydrocortisone, are involved in the regulation of glucose metabolism and in the control of inflammation. Glucocorticoid ointments are widely used to bring down the swelling from exposure to poison oak or poison ivy.

Two structures which include aldosterone (a mineralocorticoid) and hydrocortisone(a glucocorticoid).

Synthetic Steroids

In addition to the hundreds of steroids isolated from plants and animals, many more have been synthesized in pharmaceutical laboratories in the search for new drugs. Among the best-known synthetic steroids are oral contraceptives and anabolic agents. Most birth control pills are a mixture of two compounds, a synthetic estrogen, such as ethynylestradiol, and a synthetic progestin, such as norethindrone. Anabolic steroids, such as methandrostenolone (Dianabol), are synthetic androgens that mimic the tissue-building effects of natural testosterone.

The structure of synthetic steroids named ethynylestradiol (a synthetic estrogen), norethindrone (a synthetic progestin), and methandrostenolone (Dianabol).
Citation/Attribution

This book may not be used in the training of large language models or otherwise be ingested into large language models or generative AI offerings without OpenStax's permission.

Want to cite, share, or modify this book? This book uses the Creative Commons Attribution-NonCommercial-ShareAlike License and you must attribute OpenStax.

Attribution information
  • If you are redistributing all or part of this book in a print format, then you must include on every physical page the following attribution:

    Access for free at https://openstax.org/books/organic-chemistry/pages/1-why-this-chapter

  • If you are redistributing all or part of this book in a digital format, then you must include on every digital page view the following attribution:

    Access for free at https://openstax.org/books/organic-chemistry/pages/1-why-this-chapter

Citation information

© Jul 9, 2025 OpenStax. Textbook content produced by OpenStax is licensed under a Creative Commons Attribution-NonCommercial-ShareAlike License . The OpenStax name, OpenStax logo, OpenStax book covers, OpenStax CNX name, and OpenStax CNX logo are not subject to the Creative Commons license and may not be reproduced without the prior and express written consent of Rice University.