Skip to ContentGo to accessibility pageKeyboard shortcuts menu
OpenStax Logo
Organic Chemistry

4.6 Axial and Equatorial Bonds in Cyclohexane

Organic Chemistry4.6 Axial and Equatorial Bonds in Cyclohexane
Search for key terms or text.

4.6 • Axial and Equatorial Bonds in Cyclohexane

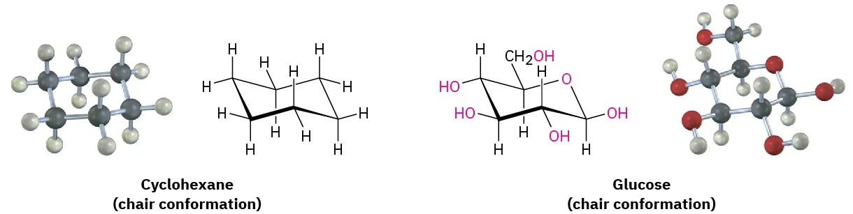
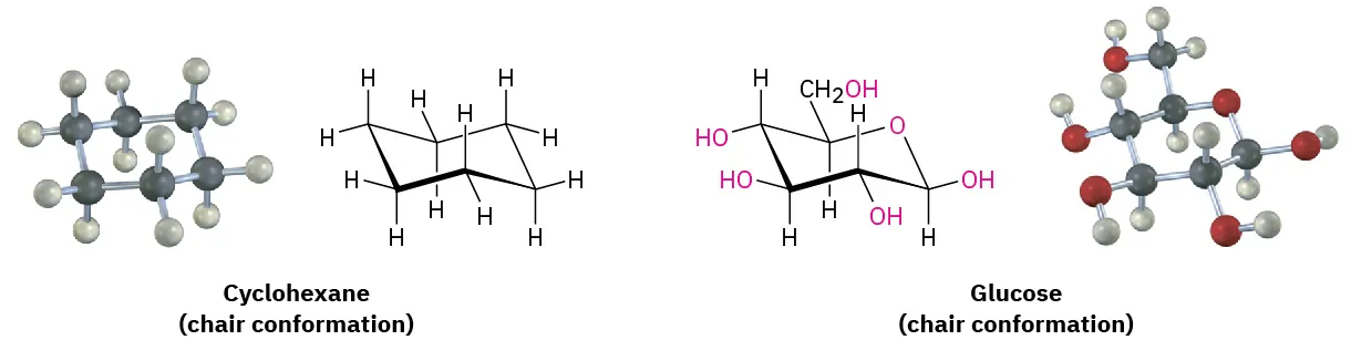
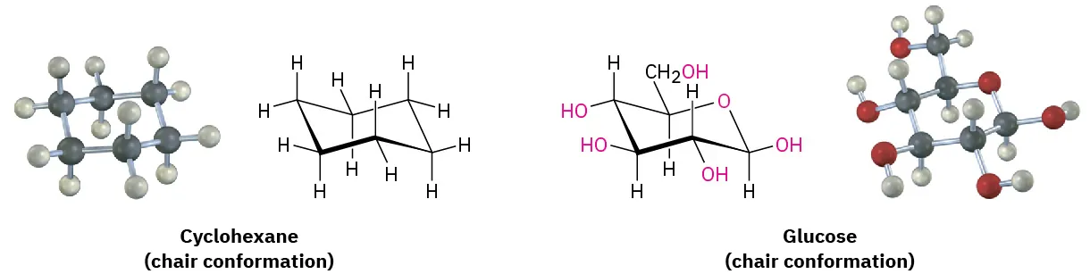
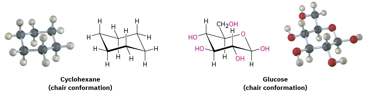
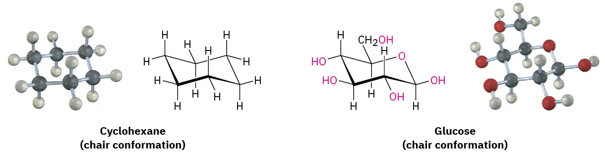
The chair conformation of cyclohexane has many consequences. We’ll see in Section 11.9, for instance, that the chemical behavior of many substituted cyclohexanes is influenced by their conformation. In addition, we’ll see in Section 25.5 that simple carbohydrates, such as glucose, adopt a conformation based on the cyclohexane chair and that their chemistry is directly affected as a result.

The ball and stick model and chair conformation of cyclohexane and glucose. In models, black, gray, and red spheres represent carbon, hydrogen, and oxygen atoms, respectively.

Another trait of the chair conformation is that there are two kinds of positions for substituents on the cyclohexane ring: axial positions and equatorial positions (as shown in Figure 4.9). The six axial positions are parallel to the ring axis, while the six equatorial positions are in the rough plane of the ring, around the ring equator.

The ball and stick model and chemical structure of chair cyclohexane. Axial hydrogens (red) are parallel to the ring axis and equatorial hydrogens (blue) are in the ring equator.
Figure 4.9 Axial and equatorial positions in chair cyclohexane. The six axial hydrogens are parallel to the ring axis, and the six equatorial hydrogens are in a band around the ring equator.

As shown in Figure 4.9, each carbon atom in chair cyclohexane has one axial and one equatorial hydrogen. Furthermore, each side of the ring has three axial and three equatorial hydrogens in an alternating arrangement. For example, if the top side of the ring has axial hydrogens on carbons 1, 3, and 5, then it has equatorial hydrogens on carbons 2, 4, and 6. The reverse is true for the bottom side: carbons 1, 3, and 5 have equatorial hydrogens, but carbons 2, 4, and 6 have axial hydrogens (Figure 4.10).

The space-filling model and ball and stick model of cyclohexane with alternate axial and equatorial positions, represented by red and blue spheres, respectively.
Figure 4.10 Alternating axial and equatorial positions in chair cyclohexane, looking directly down the ring axis. Each carbon atom has one axial and one equatorial position, and each face has alternating axial and equatorial positions.

Note that we haven’t used the words cis and trans in this discussion of cyclohexane conformation. Two hydrogens on the same side of the ring are always cis, regardless of whether they’re axial or equatorial and regardless of whether they’re adjacent. Similarly, two hydrogens on opposite sides of the ring are always trans.

Axial and equatorial bonds can be drawn following the procedure shown in Figure 4.11. If possible, look at a molecular model as you practice.

One cyclohexane with six axial bonds (red)  and three cyclohexanes, each with two equatorial bonds (blue) form a completed cyclohexane that has both six axial and six equatorial bonds.
Figure 4.11 A procedure for drawing axial and equatorial bonds in chair cyclohexane.

Because chair cyclohexane has two kinds of positions—axial and equatorial—we might expect to find two isomeric forms of a monosubstituted cyclohexane. In fact, we don’t. There is only one methylcyclohexane, one bromocyclohexane, one cyclohexanol (hydroxycyclohexane), and so on, because cyclohexane rings are conformationally mobile at room temperature. Different chair conformations readily interconvert, exchanging axial and equatorial positions. This interconversion, called a ring-flip, is shown in Figure 4.12.

The chair conformation and ball and stick model of substituted cyclohexane undergo ring-flip to form new conformation and model. The first chair conformation indicates that carbon moving clockwise.
Figure 4.12 A ring-flip in chair cyclohexane interconverts axial and equatorial positions. What is axial in the starting structure becomes equatorial in the ring-flipped structure, and what is equatorial in the starting structure is axial after ring-flip.

As shown in Figure 4.12, a chair cyclohexane can be ring-flipped by keeping the middle four carbon atoms in place while folding the two end carbons in opposite directions. In so doing, an axial substituent in one chair form becomes an equatorial substituent in the ring-flipped chair form and vice versa. For example, axial bromocyclohexane becomes equatorial bromocyclohexane after a ring-flip. Since the energy barrier to chair–chair interconversion is only about 45 kJ/mol (10.8 kcal/mol), the process is rapid at room temperature and we see what appears to be a single structure rather than distinct axial and equatorial isomers.

The chair conformation and ball and stick model of axial bromocyclohexane undergo ring-flip to form conformation and model of equatorial bromocyclohexane.

Worked Example 4.2

Drawing the Chair Conformation of a Substituted Cyclohexane

Draw 1,1-dimethylcyclohexane in a chair conformation, indicating which methyl group in your drawing is axial and which is equatorial.

Strategy

Draw a chair cyclohexane ring using the procedure in Figure 4.11, and then put two methyl groups on the same carbon. The methyl group in the rough plane of the ring is equatorial, and the one directly above or below the ring is axial.

Solution

In the chair conformation of cyclohexane, C1 is bonded to an axial methyl group and an equatorial methyl group.
Problem 4-12
Draw two different chair conformations of cyclohexanol (hydroxycyclohexane), showing all hydrogen atoms. Identify each position as axial or equatorial.
Problem 4-13
Draw two different chair conformations of trans-1,4-dimethylcyclohexane, and label all positions as axial or equatorial.
Problem 4-14

Identify each of the colored positions—red, blue, and green—as axial or equatorial. Then carry out a ring-flip, and show the new positions occupied by each color.

Ball and stick model of substituted cyclohexane with red, blue, and green spheres at C1, C3, and C6 undergoes ring-flip to form model with all substituents, represented by white circles.
Citation/Attribution

This book may not be used in the training of large language models or otherwise be ingested into large language models or generative AI offerings without OpenStax's permission.

Want to cite, share, or modify this book? This book uses the Creative Commons Attribution-NonCommercial-ShareAlike License and you must attribute OpenStax.

Attribution information
  • If you are redistributing all or part of this book in a print format, then you must include on every physical page the following attribution:

    Access for free at https://openstax.org/books/organic-chemistry/pages/1-why-this-chapter

  • If you are redistributing all or part of this book in a digital format, then you must include on every digital page view the following attribution:

    Access for free at https://openstax.org/books/organic-chemistry/pages/1-why-this-chapter

Citation information

© Jul 9, 2025 OpenStax. Textbook content produced by OpenStax is licensed under a Creative Commons Attribution-NonCommercial-ShareAlike License . The OpenStax name, OpenStax logo, OpenStax book covers, OpenStax CNX name, and OpenStax CNX logo are not subject to the Creative Commons license and may not be reproduced without the prior and express written consent of Rice University.