Skip to ContentGo to accessibility pageKeyboard shortcuts menu
OpenStax Logo
Organic Chemistry

27.7 Biosynthesis of Steroids

Organic Chemistry27.7 Biosynthesis of Steroids
Search for key terms or text.

27.7 • Biosynthesis of Steroids

Steroids are heavily modified triterpenoids that are biosynthesized in living organisms from farnesyl diphosphate (C15). A reductive dimerization first converts farnesyl diphosphate to the acyclic hydrocarbon squalene (C30), which is converted into lanosterol (Figure 27.13). Further rearrangements and degradations then take place to yield various steroids. The conversion of squalene to lanosterol is among the most intensively studied of biosynthetic transformations. Starting from an achiral, open-chain polyene, the entire process requires only two enzymes and results in the formation of six carbon–carbon bonds, four rings, and seven chirality centers.

Two farnesyl diphosphate molecules undergo dimerization to form squalene which cyclizes to lanosterol. This leads to the formation of steroids.
Figure 27.13 An overview of steroid biosynthesis from farnesyl diphosphate.

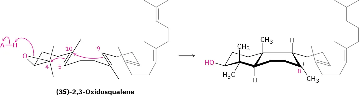
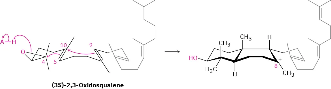
Lanosterol biosynthesis begins with the selective epoxidation of squalene to give (3S)-2,3-oxidosqualene, catalyzed by squalene epoxidase. Molecular O2 provides the epoxide oxygen atom, and NADPH is required, along with a flavin coenzyme. The proposed mechanism involves reaction of FADH2 with O2 to produce a flavin hydroperoxide intermediate (ROOH), which transfers an oxygen to squalene in a pathway initiated by nucleophilic attack of the squalene double bond on the terminal hydroperoxide oxygen (Figure 27.14). The flavin alcohol formed as a by-product loses H2O to give FAD, which is reduced back to FADH2 by NADPH. As noted in Section 8.7, this biological epoxidation mechanism is closely analogous to the mechanism by which peroxyacids (RCO3H) react with alkenes to give epoxides in the laboratory.

The second part of lanosterol biosynthesis is catalyzed by oxidosqualene-lanosterol cyclase and occurs as shown in Figure 27.15. Squalene is folded by the enzyme into a conformation that aligns the various double bonds for a cascade of successive intramolecular electrophilic additions, followed by a series of hydride and methyl migrations. Except for the initial epoxide protonation/cyclization, the process is probably stepwise and appears to involve discrete carbocation intermediates that are stabilized by electrostatic interactions with electron-rich aromatic amino acids in the enzyme.

Squalene undergoes expoxidation to form (3 S)-2,3-oxidosqualene via flavin adenine dinucleotide hydroperoxide, generated from flavin adenine dinucleotide dihydrogen and molecular oxygen.
Figure 27.14 Proposed mechanism of the oxidation of squalene by flavin hydroperoxide.

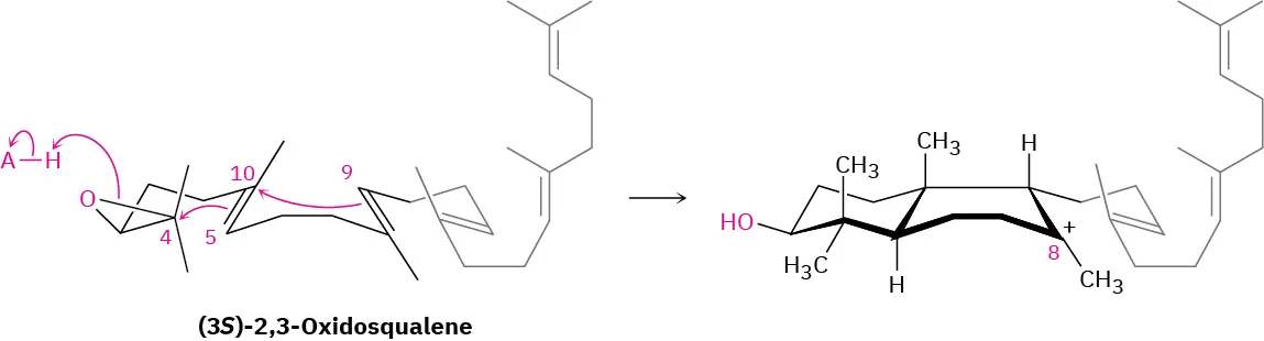
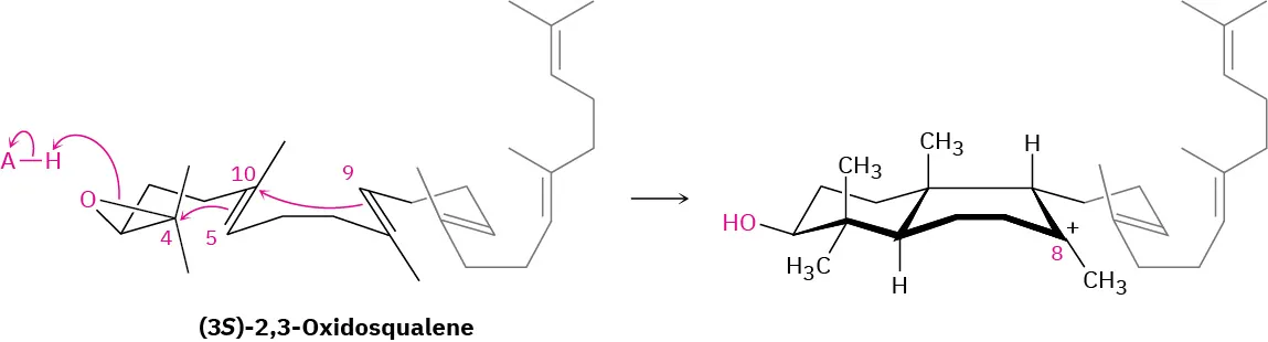
Steps 1, 2 of Figure 27.15: Epoxide Opening and Initial Cyclizations

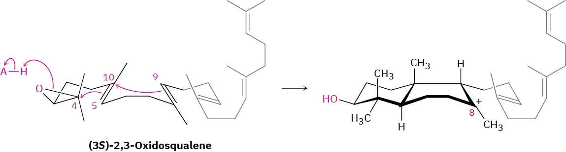
Cyclization begins in step 1 with protonation of the epoxide ring by an aspartic acid residue in the enzyme. Nucleophilic opening of the protonated epoxide by the nearby 5,10 double bond (steroid numbering; Section 27.6) then yields a tertiary carbocation at C10. Further addition of C10 to the 8,9 double bond in step 2 next gives a bicyclic tertiary cation at C8.

Acid-promoted ring opening of (3 S)-2,3-oxidosqualene undergoes two cationic cyclizations to form a decaline ring with carbocation at C 8.

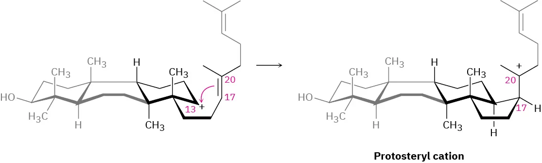
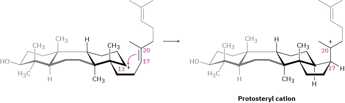
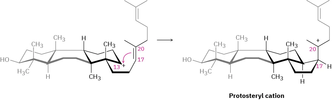
Step 3 of Figure 27.15: Third Cyclization

The third cationic cyclization is somewhat unusual because it occurs with non-Markovnikov regiochemistry and gives a secondary cation at C13 rather than the alternative tertiary cation at C14. There is growing evidence, however, that the tertiary carbocation may in fact be formed initially and that the secondary cation arises by subsequent rearrangement. The secondary cation is probably stabilized in the enzyme pocket by the proximity of an electron-rich aromatic ring.

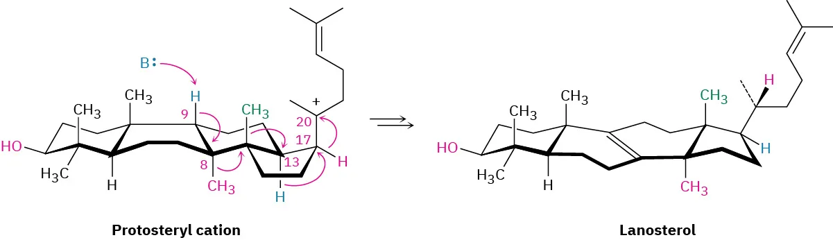
Figure 27.15 MECHANISM
Mechanism of the conversion of 2,3-oxidosqualene to lanosterol. Four cationic cyclizations are followed by four rearrangements and a final loss of H+ from C9. The steroid numbering system is used for referring to specific positions in the intermediates (Section 27.6). Individual steps are explained in the text.
A four-step reaction mechanism in the formation of protosteryl cation from (3 S)-2,3-oxidosqualene.
Figure 27.16
(Continued)
The remaining five steps in the formation of lanosterol where the protosteryl cation undergoes five rearragnments.
The intermediate generated at the second step of oxidation of (3 S)-2,3-oxidosqualene forms tricyclic secondary and tertiary carbocations.

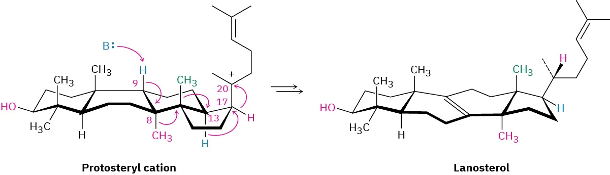
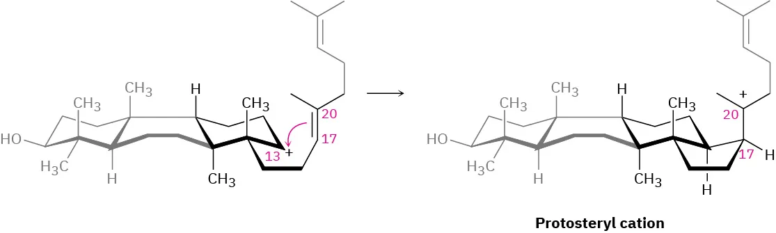
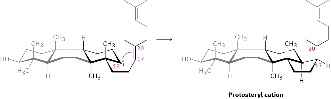
Step 4 of Figure 27.15: Final Cyclization

The fourth and last cyclization occurs in step 4 by addition of the cationic center at C13 to the 17,20 double bond, giving what is known as the protosteryl cation. The side-chain alkyl group at C17 has β (up) stereochemistry, although this stereochemistry is lost in step 5 and then reset in step 6.

The intermediate generated at the third step undergoes cyclization to form protosteryl cation.

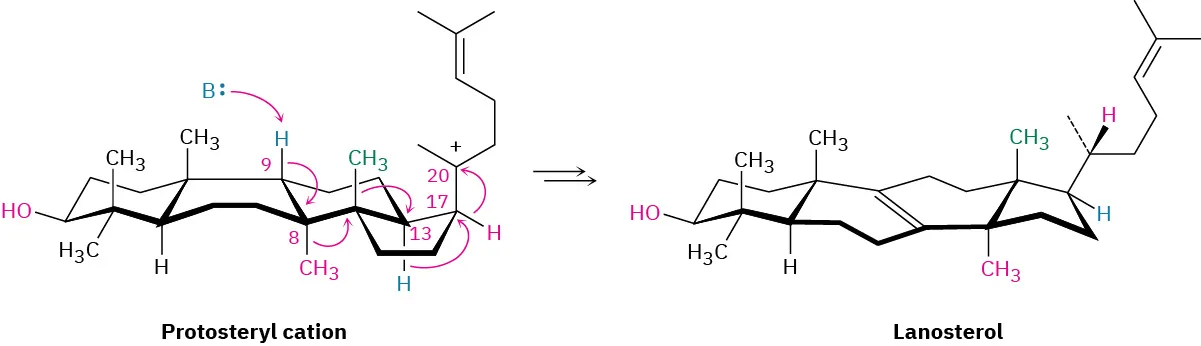
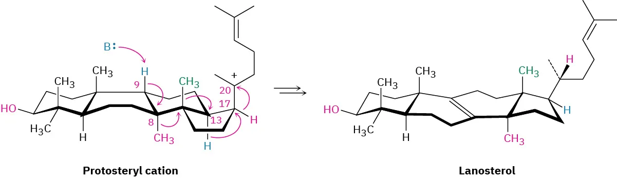
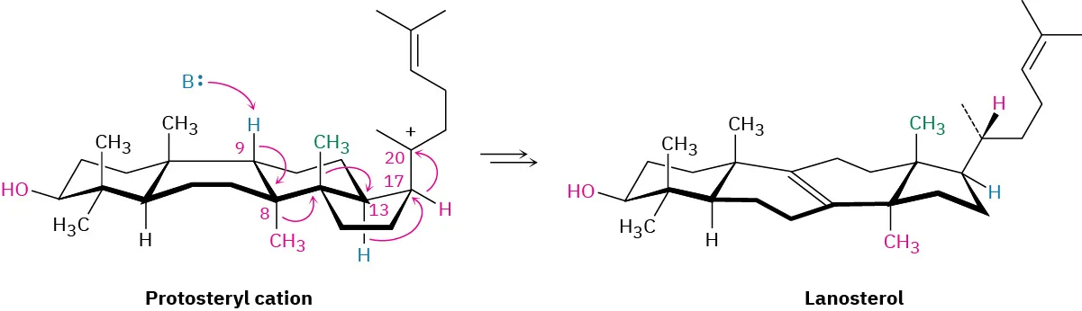
Steps 59 of Figure 27.15: Carbocation Rearrangements

Once the tetracyclic carbon skeleton of lanosterol has been formed, a series of carbocation rearrangements occur (Section 7.11). The first rearrangement, hydride migration from C17 to C20, occurs in step 5 and results in establishment of R stereochemistry at C20 in the side chain. In step 6, a second hydride migration occurs from C13 to C17 on the α (bottom) face of the ring and reestablishes the 17β orientation of the side chain. Finally, two methyl migrations, the first from C14 to C13 on the top (β) face and the second from C8 to C14 on the bottom (α) face, place the positive charge at C8. A basic histidine residue in the enzyme then removes the neighboring β proton from C9 to give lanosterol.

A base reacts with the protosteryl cation to form lanosterol. The reaction mechanism is denoted by multiple arrows.

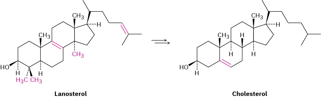
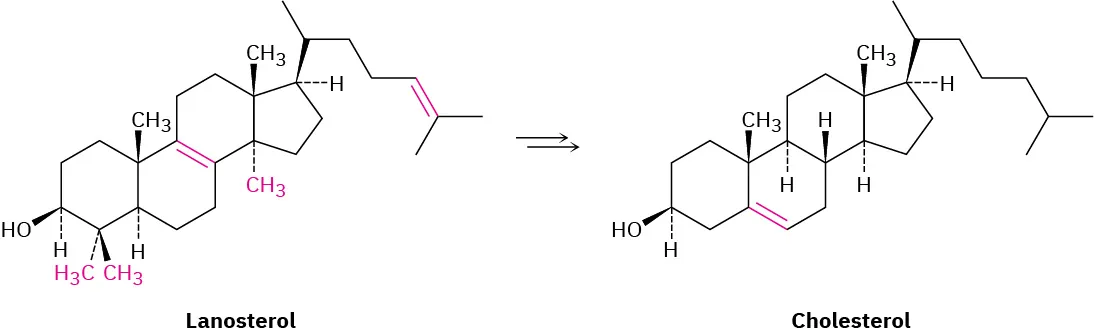
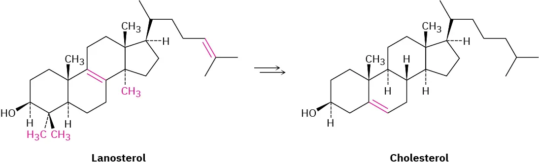
From lanosterol, the pathway for steroid biosynthesis continues on to yield cholesterol. Cholesterol then becomes a branch point, serving as the common precursor from which all other steroids are derived.

Lanosterol forms cholesterol via a double bond rearrangement and a double bond reduction.
Problem 27-10
Compare the structures of lanosterol and cholesterol, and catalog the changes needed for the transformation shown.
Citation/Attribution

This book may not be used in the training of large language models or otherwise be ingested into large language models or generative AI offerings without OpenStax's permission.

Want to cite, share, or modify this book? This book uses the Creative Commons Attribution-NonCommercial-ShareAlike License and you must attribute OpenStax.

Attribution information
  • If you are redistributing all or part of this book in a print format, then you must include on every physical page the following attribution:

    Access for free at https://openstax.org/books/organic-chemistry/pages/1-why-this-chapter

  • If you are redistributing all or part of this book in a digital format, then you must include on every digital page view the following attribution:

    Access for free at https://openstax.org/books/organic-chemistry/pages/1-why-this-chapter

Citation information

© Jul 9, 2025 OpenStax. Textbook content produced by OpenStax is licensed under a Creative Commons Attribution-NonCommercial-ShareAlike License . The OpenStax name, OpenStax logo, OpenStax book covers, OpenStax CNX name, and OpenStax CNX logo are not subject to the Creative Commons license and may not be reproduced without the prior and express written consent of Rice University.