Skip to ContentGo to accessibility pageKeyboard shortcuts menu
OpenStax Logo
Organic Chemistry

27.5 Terpenoids

Organic Chemistry27.5 Terpenoids
Search for key terms or text.

27.5 • Terpenoids

We saw in the Chapter 8 Chemistry Matters that terpenoids are a vast and diverse group of lipids found in all living organisms. Despite their apparent structural differences, all terpenoids contain a multiple of five carbons and are derived biosynthetically from the five-carbon precursor isopentenyl diphosphate (Figure 27.7). Although formally a terpenoid contains oxygen, while a hydrocarbon is called a terpene, we’ll use the term terpenoid to refer to both for simplicity.

The structure of isopentenyl diphosphate is given in the box. The structure of four terpenoids named Camphor (monoterpenoid), patchouli alcohol (sesquiterpenoid), lanosterol (triterpenoid), and beta-carotene (tetraterpenoid).
Figure 27.7 Structures of some representative terpenoids.

You might recall from the chapter on Alkenes: Reactions and Synthesis that terpenoids are classified according to the number of five-carbon multiples they contain. Monoterpenoids contain 10 carbons and are derived from two isopentenyl diphosphates, sesquiterpenoids contain 15 carbons and are derived from three isopentenyl diphosphates, diterpenoids contain 20 carbons and are derived from four isopentenyl diphosphates, and so on, up to triterpenoids (C30) and tetraterpenoids (C40). Lanosterol, for instance, is a triterpenoid from which steroid hormones are made, and β-carotene is a tetraterpenoid that serves as a dietary source of vitamin A (Figure 27.7).

The terpenoid precursor isopentenyl diphosphate, formerly called isopentenyl pyrophosphate and thus abbreviated IPP, is biosynthesized by two different pathways, depending on the organism and the structure of the final product. In animals and higher plants, sesquiterpenoids and triterpenoids arise primarily from the mevalonate pathway, whereas monoterpenoids, diterpenoids, and tetraterpenoids are biosynthesized by the 1-deoxyxylulose 5-phosphate (DXP) pathway, also called the methylerithritol phosphate, or MEP, pathway. In bacteria, both pathways are used. We’ll look only at the mevalonate pathway, which is more common and better understood at present.

Thye condensation of (R)-mevalonate and 1-deoxy-D-xylose-5-phosphate leads to the formation of isopentenyl diphosphate (I P P). This further forms terpenoids.

The Mevalonate Pathway to Isopentenyl Diphosphate

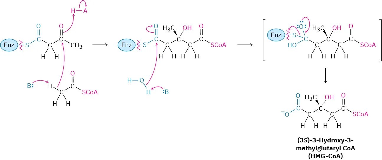
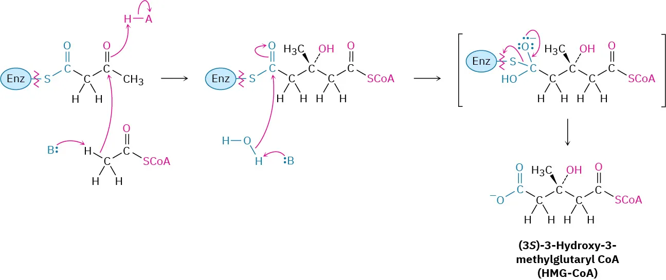
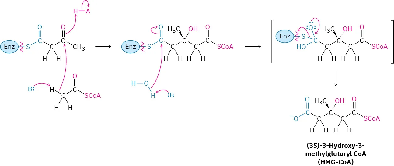
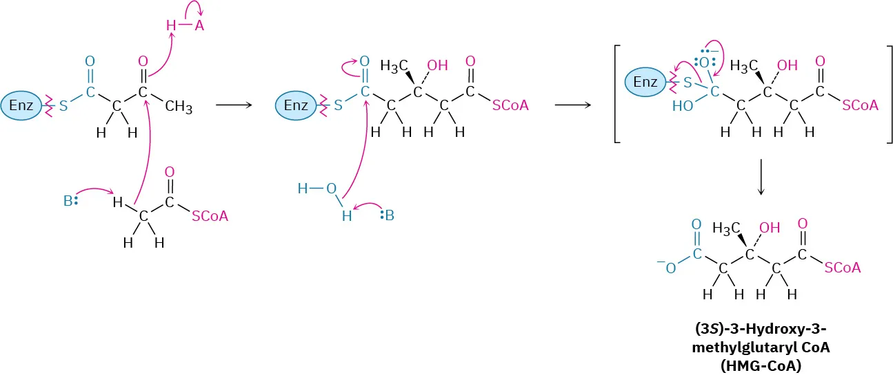
As shown in Figure 27.8, the mevalonate pathway begins with the conversion of acetate to acetyl CoA, followed by Claisen condensation to yield acetoacetyl CoA. A second carbonyl condensation reaction with a third molecule of acetyl CoA, this one an aldol-like process, then yields the six-carbon compound 3-hydroxy-3-methylglutaryl CoA, which is reduced to give mevalonate. Phosphorylation, followed by loss of CO2 and phosphate ion, completes the process.

Step 1 of Figure 27.8: Claisen Condensation

The first step in mevalonate biosynthesis is a Claisen condensation to yield acetoacetyl CoA, a reaction catalyzed by acetoacetyl-CoA acetyltransferase. An acetyl group is first bound to the enzyme by a nucleophilic acyl substitution reaction with a cysteine –SH group. Formation of an enolate ion from a second molecule of acetyl CoA, followed by Claisen condensation, then yields the product.

Claisen condensation of acetyl CoA and a thioacetate forms an intermediate that leads to the formation of acetoacetyl CoA.

Step 2 of Figure 27.8: Aldol Condensation

Acetoacetyl CoA next undergoes an aldol-like addition of an acetyl CoA enolate ion in a reaction catalyzed by 3-hydroxy-3-methylglutaryl-CoA synthase. The reaction occurs by initial binding of the substrate to a cysteine –SH group in the enzyme, followed by enolate-ion addition and subsequent hydrolysis to give (3S)-3-hydroxy-3-methylglutaryl CoA (HMG-CoA).

Figure 27.8 MECHANISM
The mevalonate pathway for the biosynthesis of isopentenyl diphosphate from three molecules of acetyl CoA. Individual steps are explained in the text.
A four-step reaction is involved to produce isopentenyl diphosphate from acetyl CoA via acetoacetyl CoA adol condensation, (3 S)-3-hydroxy-3-methylglutaryl CoA reduction, and (R)-mevalonate phosphorylation.
Base catalyzed Aldol condensation of acetyl CoA with an enzyme-bound thiol diketone generated a tetrahedral intermediate which collapses to (3 S)-3-hydroxy-3-methylglutaryl coenzyme A.

Step 3 of Figure 27.8: Reduction

Reduction of HMG-CoA to give (R)-mevalonate is catalyzed by 3-hydroxy-3-methylglutaryl-CoA reductase and requires 2 equivalents of reduced nicotinamide adenine dinucleotide phosphate (NADPH), a close relative of NADH (Section 19.12). The reaction occurs in two steps and proceeds through an aldehyde intermediate. The first step is a nucleophilic acyl substitution reaction involving hydride transfer from NADPH to the thioester carbonyl group of HMG-CoA. Following expulsion of HSCoA as leaving group, the aldehyde intermediate undergoes a second hydride addition to give mevalonate.

H M G CoA is reduced by two nicotinamide adenine dinucleotide phosphate hydride molecules to form an aldehyde intermediate and then (R)-mevalonate.

Step 4 of Figure 27.8: Phosphorylation and Decarboxylation

Three additional reactions are needed to convert mevalonate to isopentenyl diphosphate. The first two are straightforward phosphorylations by ATP that occur through nucleophilic substitution reactions on the terminal phosphorus. Mevalonate is first converted to mevalonate 5-phosphate (phosphomevalonate) by reaction with ATP; mevalonate 5-phosphate then reacts with a second ATP to give mevalonate 5-diphosphate (diphosphomevalonate). The third reaction results in phosphorylation of the tertiary hydroxyl group, followed by decarboxylation and loss of phosphate ion.

(R)-Mevalonate reacts to form mevalonate-5-phosphate that further reacts to form mevalonate-5-diphosphate. Adenosine triphosphate converts to adenosine diphosphate. This forms isopentenyl diphosphate. Adenosine triphosphate converts to carbon dioxide.

The final decarboxylation of mevalonate 5-diphosphate seems unusual because decarboxylations of acids do not typically occur except in β-keto acids and malonic acids, in which the carboxylate group is two atoms away from an additional carbonyl group. As discussed in Section 22.7, the function of this second carbonyl group is to act as an electron acceptor and stabilize the charge resulting from loss of CO2. In fact, though, the decarboxylation of a β-keto acid and the decarboxylation of mevalonate 5-diphosphate are closely related.

Catalyzed by mevalonate-5-diphosphate decarboxylase, the substrate is first phosphorylated on the free –OH group by reaction with ATP to give a tertiary phosphate, which undergoes spontaneous SN1-like dissociation to give a tertiary carbocation. The positive charge then acts as an electron acceptor to facilitate decarboxylation in the same way a β carbonyl group does, giving isopentenyl diphosphate. (In the following structures, the diphosphate group is abbreviated OPP.)

Mevalonate-5-diphosphate reacts with two molecules of adenosine triphosphate to form mevalonate 5-diphosphate. Decarboxylation of the diphosphate phosphate forms isopentenyl diphosphate and carbon dioxide
Problem 27-6

The conversion of mevalonate 5-phosphate to isopentenyl diphosphate occurs with the following result. Which hydrogen, pro-R or pro-S, ends up cis to the methyl group, and which ends up trans?

Mevalonate-5-diphosphate represented in wedge-dash form undergoes dehydration to form isopentenyl diphosphate.

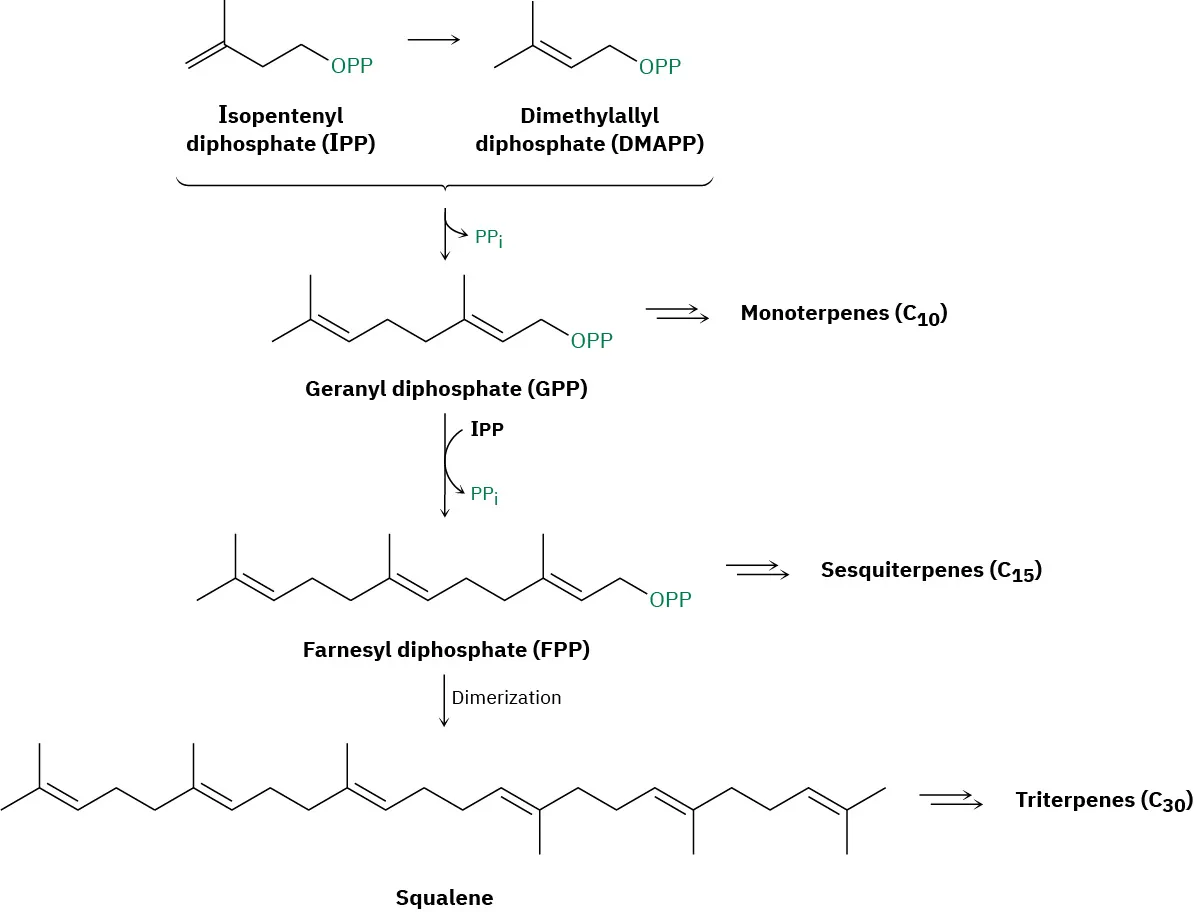
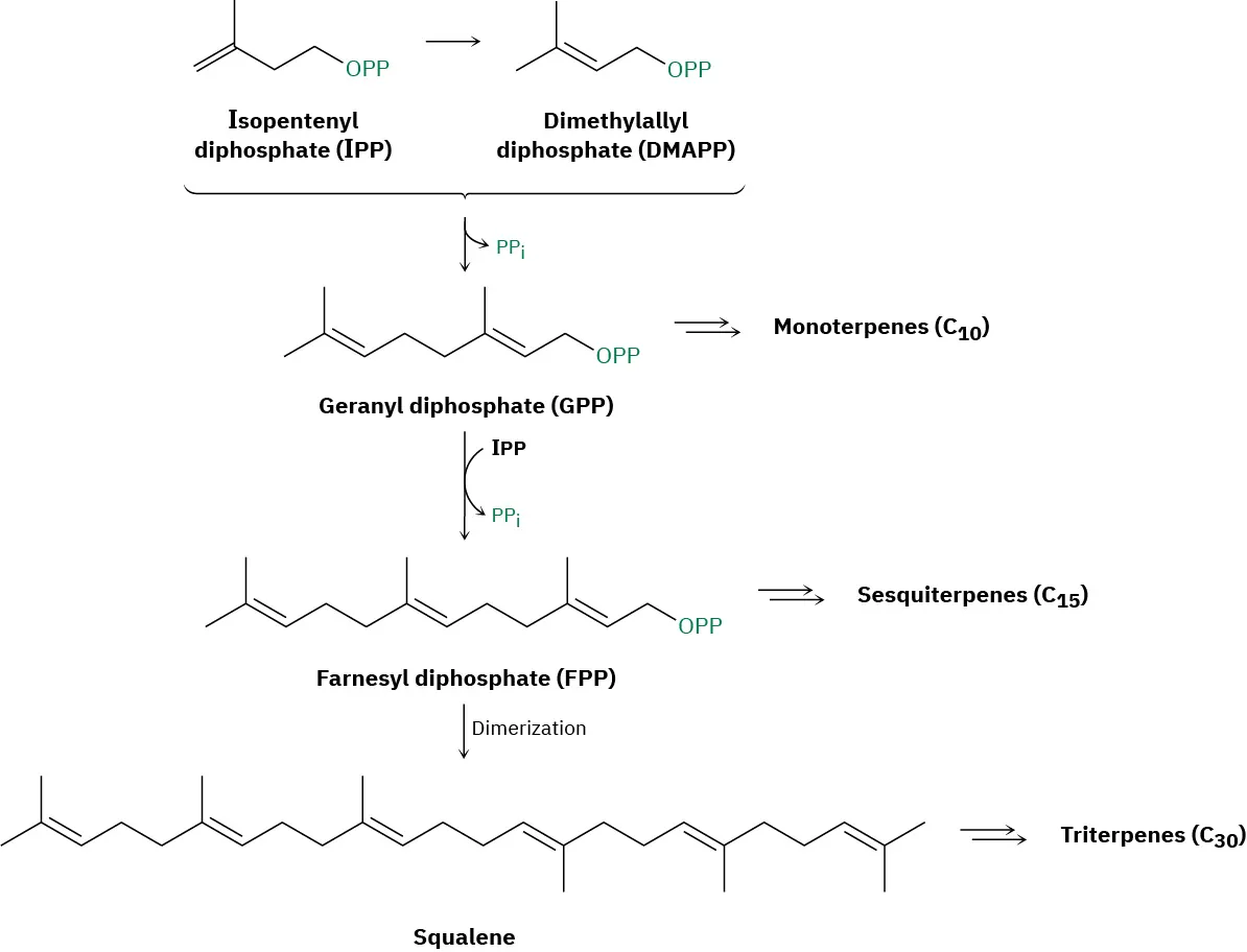
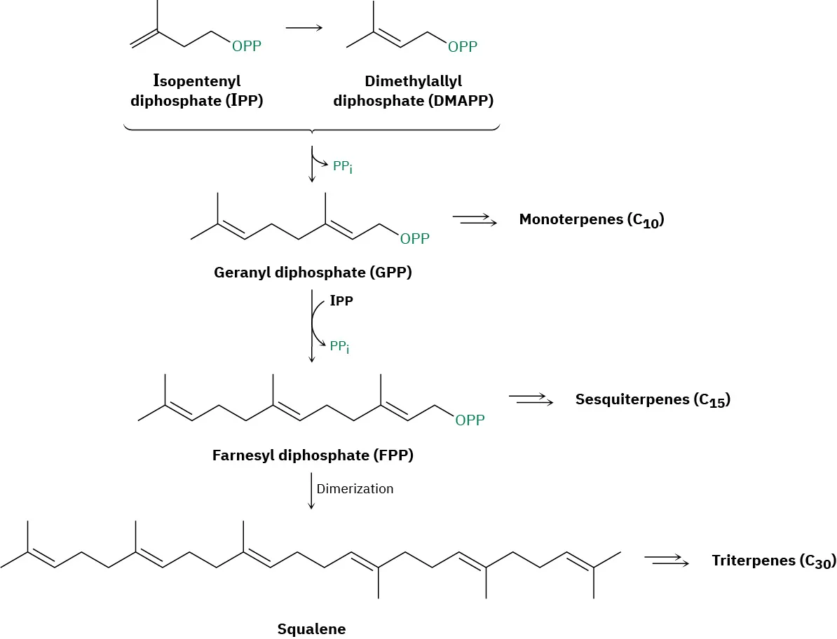
Conversion of Isopentenyl Diphosphate to Terpenoids

The conversion of isopentenyl diphosphate (IPP) to terpenoids begins with its isomerization to dimethylallyl diphosphate, abbreviated DMAPP and formerly called dimethylallyl pyrophosphate. These two C5 building blocks then combine to give the C10 unit geranyl diphosphate (GPP). The corresponding alcohol, geraniol, is itself a fragrant terpenoid that occurs in rose oil.

Further combination of GPP with another IPP gives the C15 unit farnesyl diphosphate (FPP), and so on, up to C25. Terpenoids with more than 25 carbons—that is, triterpenoids (C30) and tetraterpenoids (C40)—are synthesized by dimerization of C15 and C20 units, respectively (Figure 27.9). Triterpenoids and steroids, in particular, arise from dimerization of farnesyl diphosphate to give squalene.

Isopentenyl diphosphate isomerizes to dimethylallyl diphosphate which forms geranyl diphosphate. Geranyl diphosphate generates monoterpenes or farnesyl diphosphate. Farnesyl diphosphate undergoes dimerization to form squalene or triterpenes.
Figure 27.9 An overview of terpenoid biosynthesis from isopentenyl diphosphate.

The isomerization of isopentenyl diphosphate to dimethylallyl diphosphate is catalyzed by IPP isomerase and occurs through a carbocation pathway. Protonation of the IPP double bond by a hydrogen-bonded cysteine residue in the enzyme gives a tertiary carbocation intermediate, which is deprotonated by a glutamate residue as base to yield DMAPP. X-ray structural studies on the enzyme show that it holds the substrate in an unusually deep, well-protected pocket to shield the highly reactive carbocation from reaction with solvent or other external substances.

Protonation of isopentenyl diphosphate leads to a carbocation that rearranges to dimethylallyl diphosphate.

Both the initial coupling of DMAPP with IPP to give geranyl diphosphate and the subsequent coupling of GPP with a second molecule of IPP to give farnesyl diphosphate are catalyzed by farnesyl diphosphate synthase. The process requires Mg2+ ion, and the key step is a nucleophilic substitution reaction in which the double bond of IPP behaves as a nucleophile in displacing diphosphate ion leaving group (PPi) or DMAPP. Evidence suggests that the DMAPP develops a considerable cationic character and that spontaneous dissociation of the allylic diphosphate ion in an SN1-like pathway probably occurs (Figure 27.10).

Dimethylallyl diphosphate forms an allylic carbocation that reacts with isopentenyl pyrophosphate to form geranyl diphosphate. This further reacts to form farnesyl diphosphate.
Figure 27.10 Mechanism of the coupling reaction of dimethylallyl diphosphate (DMAPP) and isopentenyl diphosphate (IPP), to give geranyl diphosphate (GPP).

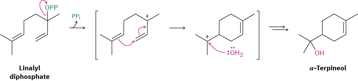
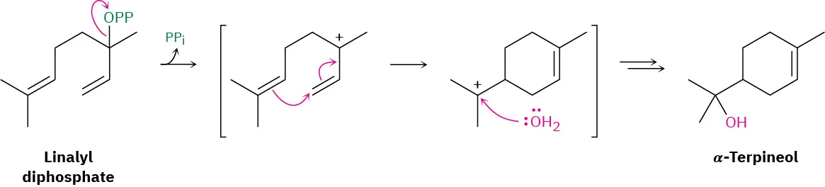
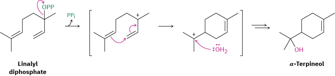
Further conversion of geranyl diphosphate into monoterpenoids typically involves carbocation intermediates and multistep reaction pathways that are catalyzed by terpene cyclases. Monoterpene cyclases function by first isomerizing geranyl diphosphate to its allylic isomer linalyl diphosphate (LPP), a process that occurs by spontaneous SN1-like dissociation to an allylic carbocation, followed by recombination. The effect of this isomerization is to convert the C2–C3 double bond of GPP into a single bond, thereby making cyclization possible and allowing E/Z isomerization of the double bond.

Further dissociation and cyclization by electrophilic addition of the cationic carbon to the terminal double bond then gives a cyclic cation, which might either rearrange, undergo a hydride shift, be captured by a nucleophile, or be deprotonated to give any of the several hundred known monoterpenoids. As just one example, limonene, a monoterpenoid found in many citrus oils, arises by the biosynthetic pathway shown in Figure 27.11.

Geranyl diphosphate via an allylic carbocation forms linalyl diphosphate, which further rearranges through an allylic carbocation cyclization to form limonene.
Figure 27.11 Mechanism for the formation of the monoterpenoid limonene from geranyl diphosphate.

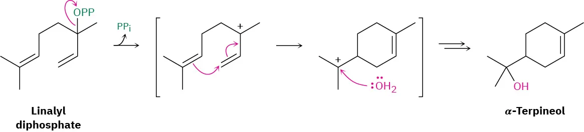
Worked Example 27.1

Proposing a Terpenoid Biosynthesis Pathway

Propose a mechanistic pathway for the biosynthesis of α-terpineol from geranyl diphosphate.

The structure of alpha-terpineol in which cyclohexene has methyl on C 1, and a C H linked to two methyl groups and an alcohol on C 4 position.

Strategy

α-Terpineol, a monoterpenoid, must be derived biologically from geranyl diphosphate through its isomer linalyl diphosphate. Draw the precursor in a conformation that approximates the structure of the target molecule, and then carry out a cationic cyclization, using the appropriate double bond to displace the diphosphate leaving group. Since the target is an alcohol, the carbocation resulting from cyclization evidently reacts with water.

Solution

Linalyl diphosphate forms a carbocation intermediate with the release of inorganic pyrophosphate. The attack of water on carbocation leads to alpha-terpineol.
Problem 27-7
Propose mechanistic pathways for the biosynthetic formation of the following terpenoids:
(a)
The structure of alpha-pinene in which cyclohexene has a methyl group on C 1, two methyl groups on C 3, and two methyl groups connected inside the ring.
(b)
Gamma-bisabolene comprises cyclohexene bonded with methyl and a double bond linked to methyl. Further linked to two methylene groups and C-H is linked to double bond with two methyl groups.
Citation/Attribution

This book may not be used in the training of large language models or otherwise be ingested into large language models or generative AI offerings without OpenStax's permission.

Want to cite, share, or modify this book? This book uses the Creative Commons Attribution-NonCommercial-ShareAlike License and you must attribute OpenStax.

Attribution information
  • If you are redistributing all or part of this book in a print format, then you must include on every physical page the following attribution:

    Access for free at https://openstax.org/books/organic-chemistry/pages/1-why-this-chapter

  • If you are redistributing all or part of this book in a digital format, then you must include on every digital page view the following attribution:

    Access for free at https://openstax.org/books/organic-chemistry/pages/1-why-this-chapter

Citation information

© Jul 9, 2025 OpenStax. Textbook content produced by OpenStax is licensed under a Creative Commons Attribution-NonCommercial-ShareAlike License . The OpenStax name, OpenStax logo, OpenStax book covers, OpenStax CNX name, and OpenStax CNX logo are not subject to the Creative Commons license and may not be reproduced without the prior and express written consent of Rice University.