Skip to ContentGo to accessibility pageKeyboard shortcuts menu
OpenStax Logo
Organic Chemistry

Summary of Reactions

Organic ChemistrySummary of Reactions
Search for key terms or text.

24 • Summary of Reactions

24 • Summary of Reactions

  1. Synthesis of amines (Section 24.6)
    1. Reduction of nitriles
      An alkyl halide reacts with sodium cyanide to form cyano nitrile. This reacts with lithium aluminum hydride in ether, then water to form an amine.
    2. Reduction of amides
      An amide reacts with lithium aluminum hydride in ether, then water to form an amine.
    3. Reduction of nitrobenzenes
      Nitrobenzene reacts with hydrogen, platinum, or iron, hydronium or tin (II) chloride, hydronium ion to form aniline.
    4. SN2 Alkylation of alkyl halides
      The primary, secondary, and tertiary amine and quaternary ammonium salt are formed from ammonia, primary, secondary, and tertiary amine, respectively.
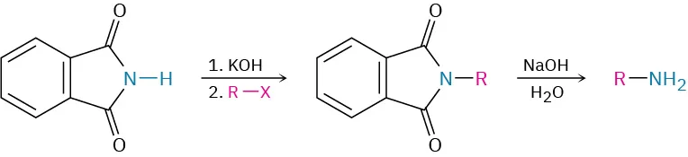
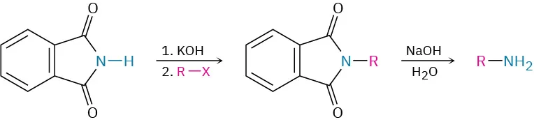
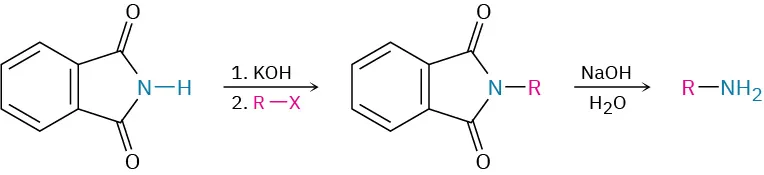
    5. Gabriel amine synthesis
      Phthalimide reacts with potassium hydroxide, then alkyl halide to form a product in which N-H gets replaced by N-R bond. This reacts with sodium hydroxide and water forming primary amine.
    6. Reduction of azides
      An alkyl halide reacts with sodium azide and ethanol to form a compound that further reacts with lithium aluminum hydride in ether, then water to form an amine.
    7. Reductive amination of aldehydes/ketones
      A carbonyl compound reacts with ammonia and sodium borohydride to form a secondary amine.
    8. Hofmann rearrangement of amides
      An amide reacts with sodium hydroxide, bromine, and water to produce a primary amine and carbon dioxide.
    9. Curtius rearrangement of acyl azides
      An acyl chloride reacts with sodium azide and ethanol to form an intermediate. This reacts with water in the presence of heat to form an amine, carbon dioxide, and nitrogen.
  2. Reactions of amines
    1. Alkylation with alkyl halides; see reaction 1(d)
    2. Hofmann elimination (Section 24.7)
      An alkyl amine reacts with methyl iodide, then silver oxide in the presence of heat to form an alkene.
    3. Diazotization (Section 24.8)
      Aniline reacts with nitrous acid and sulfuric acid to form an arene diazonium salt and H S O 4 minus.
  3. Reactions of arenediazonium salts (Section 24.8)
    1. Nucleophilic substitutions
      Benezenediazonium hydrogen phosphate can react with any of six different sets of reagents to form chlorobenzene, bromobenzene, iodobenzene, cyanobenzene, phenol and benzene.
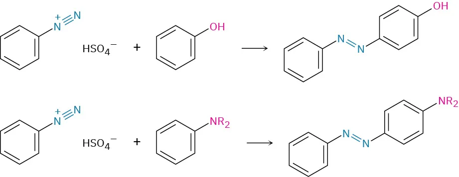
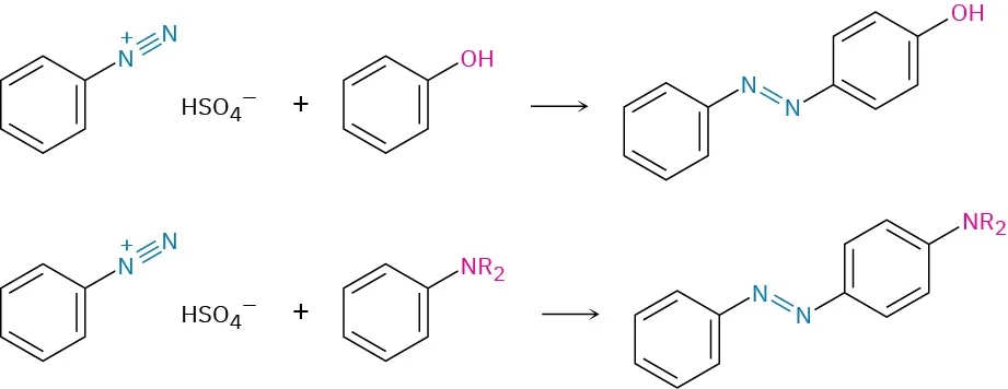
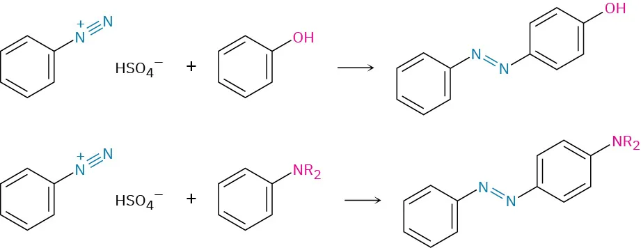
    2. Diazonium coupling
      Benzenediazonium hydrogen phosphate reacts with phenol to form para-hydroxyazobenzene. It reacts with aryl amine to form para-aminoazobenzene in which a secondary amine is bonded at fourth position.
Citation/Attribution

This book may not be used in the training of large language models or otherwise be ingested into large language models or generative AI offerings without OpenStax's permission.

Want to cite, share, or modify this book? This book uses the Creative Commons Attribution-NonCommercial-ShareAlike License and you must attribute OpenStax.

Attribution information
  • If you are redistributing all or part of this book in a print format, then you must include on every physical page the following attribution:

    Access for free at https://openstax.org/books/organic-chemistry/pages/1-why-this-chapter

  • If you are redistributing all or part of this book in a digital format, then you must include on every digital page view the following attribution:

    Access for free at https://openstax.org/books/organic-chemistry/pages/1-why-this-chapter

Citation information

© Jul 9, 2025 OpenStax. Textbook content produced by OpenStax is licensed under a Creative Commons Attribution-NonCommercial-ShareAlike License . The OpenStax name, OpenStax logo, OpenStax book covers, OpenStax CNX name, and OpenStax CNX logo are not subject to the Creative Commons license and may not be reproduced without the prior and express written consent of Rice University.