Skip to ContentGo to accessibility pageKeyboard shortcuts menu
OpenStax Logo
Organic Chemistry

Additional Problems

Organic ChemistryAdditional Problems
Search for key terms or text.

24 • Additional Problems

24 • Additional Problems

Visualizing Chemistry

Problem 24-26
Name the following amines, and identify each as primary, secondary, or tertiary:
(a)
A ball-and-stick model of nitrogen bonded to hydrogen, methyl, and isopropyl groups.
(b)
A ball-and-stick model of cyclopentane with methyl and N H 2 substituents on adjacent carbons.
(c)
A ball-and-stick model of nitrogen bonded to a benzene ring, hydrogen, and an isopropyl group
Problem 24-27

The following compound contains three nitrogen atoms. Rank them in order of increasing basicity.

A ball-and-stick model of a large molecule with different functional groups. Black, grey, red, and blue spheres represent carbon, hydrogen, oxygen, and nitrogen.
Problem 24-28

Name the following amine, including R,S stereochemistry, and draw the product of its reaction with excess iodomethane followed by heating with Ag2O (Hofmann elimination). Is the stereochemistry of the alkene product Z or E? Explain.

A ball-and-stick model of a three-carbon chain with benzene rings on C 1 and C 2, and an N H 2 group on C 1.
Problem 24-29

Which nitrogen atom in the following compound is most basic? Explain.

A ball-and-stick model of a large molecule with different functional groups. Black, grey, and blue spheres represent carbon, hydrogen, and nitrogen.

Mechanism Problems

Problem 24-30
Predict the product(s) and write the mechanism for each of the following reactions:
(a)
1-(Bromomethyl)-2-methylbenzene reacts with sodium phthalimide, then hydroxide ion and water to form an unknown product represented by a question mark.
(b)
1-Chloro-3-methylbutane reacts with sodium phthalimide, then hydroxide ion and water to form an unknown product represented by a question mark.
Problem 24-31
Predict the product(s) and write the mechanism for each of the following reactions:
(a)
2-Methyl-1-phenylpropan-1-one reacts with dimethylamine in the presence of sodium borohydride and ethanol to form an unknown product represented by a question mark.
(b)
(1 R,4 S)-Bicyclo[2.2.1]heptan-2-one reacts with pyrrolidine in the presence of sodium borohydride and ethanol to form an unknown product represented by a question mark.
Problem 24-32
Predict the product(s) and write the mechanism for each of the following reactions:
(a)
3-Methylbutanamide reacts with bromine, sodium hydroxide, and water to form an unknown product represented by a question mark.
(b)
Cyclopentanecarboxamide reacts with bromine, sodium hydroxide, and water to form an unknown product represented by a question mark.
(c)
2-Methoxyacetamide reacts with bromine, sodium hydroxide, and water to form an unknown product represented by a question mark.
(d)
2,3-Dihydro-1H-indene-2-carboxamide reacts with bromine, sodium hydroxide, and water to form an unknown product represented by a question mark.
Problem 24-33
Predict the product(s) and write the mechanism for each of the following reactions:
(a)
Bicyclo[4.4.0]decane oriented with C O Cl at top fusion (wedge) and H at bottom fusion (dash) reacts with sodium azide, then water and heat, to form unknown product(s).
(b)
But-3-enoyl chloride reacts with sodium azide, then water and heat to form an unknown product represented by a question mark.
Problem 24-34
The diazotization of aniline first involves the formation of NO+ (nitrosonium ion) by the dehydration of nitrous acid with sulfuric acid. The aniline nitrogen then acts as a nucleophile and eventually loses water. Propose a mechanism for the formation of the dizaonium salt of aniline using curved arrows to show all electron movement.
Problem 24-35

Substituted pyrroles are often prepared by treatment of a 1,4-diketone with ammonia. Propose a mechanism.

A 1,4-diketone reacts with ammonia to form a pyrrole with R and R dash as substituents and water is the second product.
Problem 24-36

3,5-Dimethylisoxazole is prepared by reaction of 2,4-pentanedione with hydroxylamine. Propose a mechanism.

2, 4-Pentanedione reacts with hydroxylamine to produce 3, 5-dimethylisoxazole.
Problem 24-37
One problem with reductive amination as a method of amine synthesis is that by-products are sometimes obtained. For example, reductive amination of benzaldehyde with methylamine leads to a mixture of N-methylbenzylamine and N-methyldibenzylamine. How do you suppose the tertiary amine by-product is formed? Propose a mechanism.
Problem 24-38

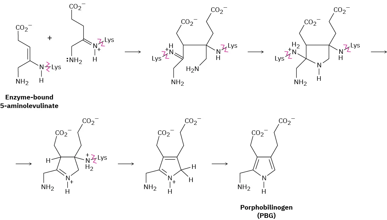
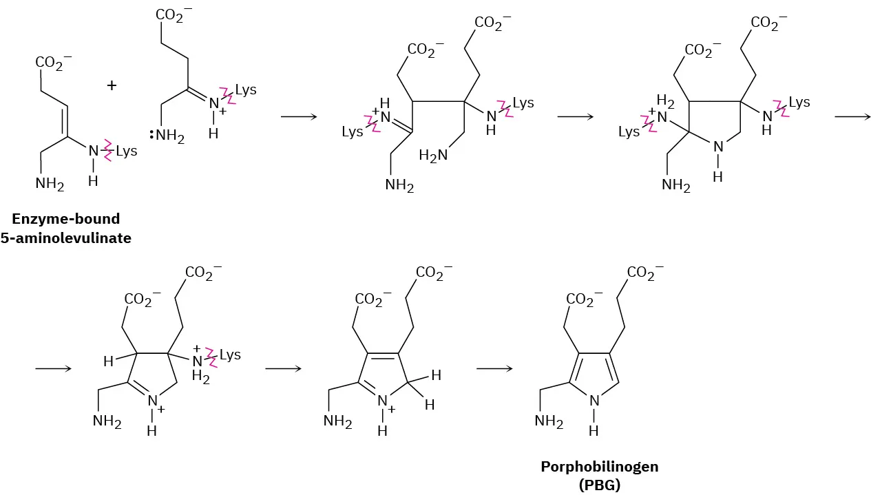
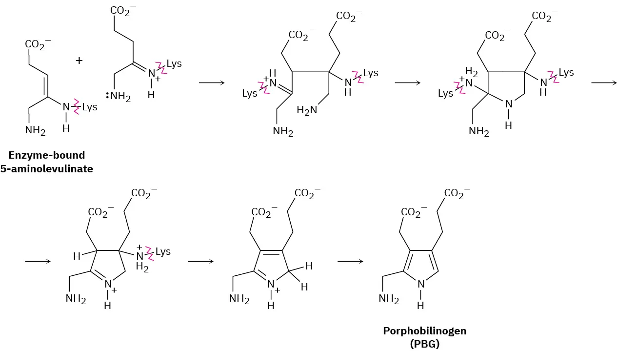
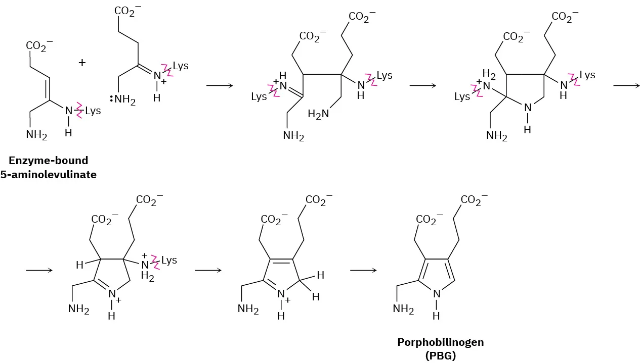
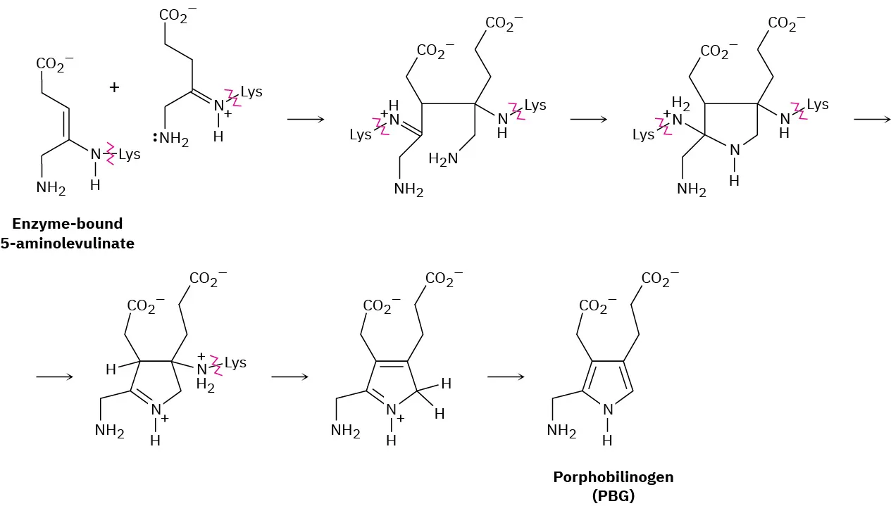
Chlorophyll, heme, vitamin B12, and a host of other substances are biosynthesized from porphobilinogen (PBG), which is itself formed from condensation of two molecules of 5-aminolevulinate. The two 5-aminolevulinates are bound to lysine (Lys) amino acids in the enzyme, one in the enamine form and one in the imine form, and their condensation is thought to occur by the following steps. Use curved arrows to show the mechanism of each step.

Two molecules of enzyme-bound 5-aminolevulinate react to produce four intermediates. This further leads to the final product named Porphobilinogen (P B G).
Problem 24-39

Choline, a component of the phospholipids in cell membranes, can be prepared by SN2 reaction of trimethylamine with ethylene oxide. Show the structure of choline, and propose a mechanism for the reaction.

Trimethylamine reacts with ethylene oxide to produce choline, which has an unknown structure.
Problem 24-40

The antitumor antibiotic mitomycin C functions by forming cross-links in DNA chains.

The removal of methanol from mitomycin C forms enamine. This reacts with two amine groups connected to deoxyribonucleic acid to form an intermediate. This reacts to form the final product.
(a)
The first step is loss of methoxide and formation of an iminium ion intermediate that is deprotonated to give an enamine. Show the mechanism.
(b)
The second step is reaction of the enamine with DNA to open the three-membered, nitrogen-containing (aziridine) ring. Show the mechanism.
(c)
The third step is loss of carbamate (NH2CO2) and formation of an unsaturated iminium ion, followed by a conjugate addition of another part of the DNA chain. Show the mechanism.
Problem 24-41

α-Amino acids can be prepared by the Strecker synthesis, a two-step process in which an aldehyde is treated with ammonium cyanide followed by hydrolysis of the amino nitrile intermediate with aqueous acid. Propose a mechanism for the reaction.

Aldehyde R C H O reacts with ammonium cyanide and water forming C with R, H, amino, and cyano substituents. Further reaction with hydronium and heat forms an alpha-amino acid.
Problem 24-42

One of the reactions used in determining the sequence of nucleotides in a strand of DNA is reaction with hydrazine. Propose a mechanism for the following reaction, which occurs by an initial conjugate addition followed by internal amide formation.

A six-membered ring with two incorporated nitrogens, two carbonyls, and two methyl substituents reacts with hydrazine to form an amide.
Problem 24-43

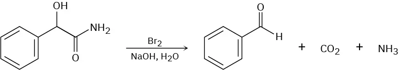
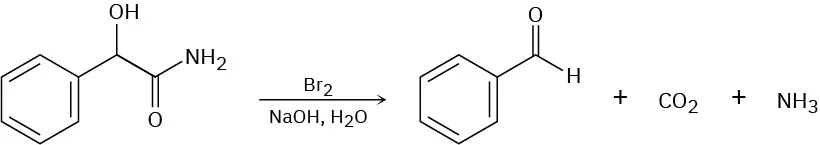
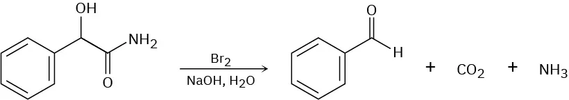
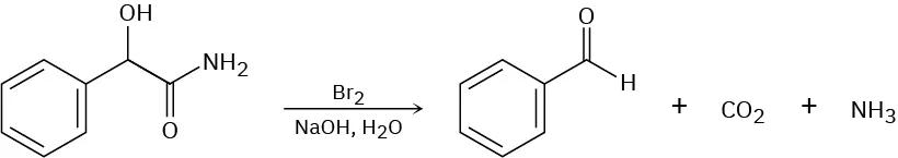
When an α-hydroxy amide is treated with Br2 in aqueous NaOH under Hofmann rearrangement conditions, loss of CO2 occurs and a chain-shortened aldehyde is formed. Propose a mechanism.

2-Hydroxy-2-phenylacetamide reacts with bromine, sodium hydroxide and water to form benzaldehyde, carbon dioxide and ammonia.
Problem 24-44

The following transformation involves a conjugate nucleophilic addition reaction (Section 19.13) followed by an intramolecular nucleophilic acyl substitution reaction (Section 21.2). Show the mechanism.

A carbonyl compound reacts with methylamine to form cyclopentanone with N C H 3 and methoxy group and methanol is the second product.
Problem 24-45

Propose a mechanism for the following reaction:

2-(Benzylamino)ethanol reacts with (Z)-methyl 4-bromobut-2-enoate in the presence of triethylamine and heat to form a product.
Problem 24-46

One step in the biosynthesis of morphine is the reaction of dopamine with p-hydroxyphenylacetaldehyde to give (S)-norcoclaurine. Assuming that the reaction is acid-catalyzed, propose a mechanism.

Dopamine reacts with p-hydroxyphenyl-acetaldehyde to yield (S)-norcoclaurine.

Naming Amines

Problem 24-47
Name the following compounds:
(a)
A benzene ring with an amino substituent. There are two bromine substituents, one ortho and one para to the amino group.
(b)
A cyclopentane ring connected to C H 2 C H 2 N H 2.
(c)
A nitrogen atom with cyclopentyl and ethyl substituents.
(d)
A nitrogen atom with one cyclopentyl and two methyl substituents.
(e)
A five-membered ring incorporating one nitrogen. The nitrogen also has an n-propyl substituent.
(f)
The structure of a four-carbon chain in which one terminal carbon is part of a nitrile. The other terminal carbon has an amino substituent.
Problem 24-48
Draw structures corresponding to the following IUPAC names:
(a)
N,N-Dimethylaniline
(b)
(Cyclohexylmethyl)amine
(c)
N-Methylcyclohexylamine
(d)
(2-Methylcyclohexyl)amine
(e)
3-(N,N-Dimethylamino)propanoic acid
Problem 24-49
Classify each of the amine nitrogen atoms in the following substances as primary, secondary, or tertiary:
(a)
A five-membered ring incorporating one nitrogen. The nitrogen also has a hydrogen.
(b)
An indole with the substituent C H 2 C H 2 N H C H 3 on C 3.
(c)
The structure of lysergic acid diethylamide, a polycyclic compound with several nitrogens.

Amine Basicity

Problem 24-50
Although pyrrole is a much weaker base than most other amines, it is a much stronger acid (pKa ≈ 15 for the pyrrole versus 35 for diethylamine). The N–H hydrogen is readily abstracted by base to yield the pyrrole anion, C4H4N. Explain.
Problem 24-51

Histamine, whose release in the body triggers nasal secretions and constricted airways, has three nitrogen atoms. List them in order of increasing basicity and explain your ordering.

The structure of histamine, a five-membered ring incorporating two nitrogens with a carbon between them. There are two double bonds (one nitrogen has a hydrogen), and an ethylamine substituent.
Problem 24-52
Account for the fact that p-nitroaniline (pKa = 1.0) is less basic than m-nitroaniline (pKa = 2.5) by a factor of 30. Draw resonance structures to support your argument. (The pKa values refer to the corresponding ammonium ions.)

Synthesis of Amines

Problem 24-53
How would you prepare the following substances from 1-butanol?
(a)
Butylamine
(b)
Dibutylamine
(c)
Propylamine
(d)
Pentylamine
(e)
N,N-Dimethylbutylamine
(f)
Propene
Problem 24-54
How would you prepare the following substances from pentanoic acid?
(a)
Pentanamide
(b)
Butylamine
(c)
Pentylamine
(d)
2-Bromopentanoic acid
(e)
Hexanenitrile
(f)
Hexylamine
Problem 24-55
How would you prepare aniline from the following starting materials?
(a)
Benzene
(b)
Benzamide
(c)
Toluene
Problem 24-56
How would you prepare benzylamine, C6H5CH2NH2, from benzene? More than one step is needed.
Problem 24-57
How might you prepare pentylamine from the following starting materials?
(a)
Pentanamide
(b)
Pentanenitrile
(c)
1-Butene
(d)
Hexanamide
(e)
1-Butanol
(f)
5-Decene
(g)
Pentanoic acid
Problem 24-58

How might a reductive amination be used to synthesize ephedrine, an amino alcohol that was widely used for the treatment of bronchial asthma?

The structure of ephedrine. It has benzene ring connected to a C H with hydroxyl linked to another C H with methyl. This is connected to N-H linked to methyl.

Reactions of Amines

Problem 24-59
How would you convert aniline into each of the following products?
(a)
Benzene
(b)
Benzamide
(c)
Toluene
Problem 24-60
Write the structures of the major organic products you would expect from reaction of m-toluidine (m-methylaniline) with the following reagents:
(a)
Br2 (1 equivalent)
(b)
CH3I (excess)
(c)
CH3COCl in pyridine
(d)
The product of (c), then HSO3Cl
Problem 24-61
Show the products from reaction of p-bromoaniline with the following reagents:
(a)
CH3I (excess)
(b)
HCl
(c)
HNO2, H2SO4
(d)
CH3COCl
(e)
CH3MgBr
(f)
CH3CH2Cl, AlCl3
(g)
Product of (c) with CuCl, HCl
(h)
Product of (d) with CH3CH2Cl, AlCl3
Problem 24-62
What are the major products you would expect from Hofmann elimination of the following amines?
(a)
Structure of cyclopentyl methyl amine.
(b)
A nitrogen atom with three substituents: H, benzene ring, and n-hexane (attached by C 2).
(c)
The structure of a six-carbon chain with methyl on C 2 and amine on C 3 position.
Problem 24-63
How would you prepare the following compounds from toluene? A diazonio replacement reaction is needed in some instances.
(a)
The structure of benzene with methyl and amino substituents para to one another.
(b)
The structure of benzene with a methyl substituent and, para to that, a C H 2 N H 2 substituent.
(c)
The structure of benzene with C OO C H 3 on C 1 and iodine on C 3 position.
Problem 24-64
Predict the product(s) of the following reactions. If more than one product is formed, tell which is major.
(a)
Decahydroquinoline reacts with excess methyl iodide to form unknown product A. This reacts with silver oxide and water to form unknown B, that further reacts with heat to form C.
(b)
Benzoyl chloride reacts with sodium azide to form unknown A. This reacts with heat to form unknown B. This reacts with water to form unknown C.
(c)
Isoindoline-1,3-dione reacts with potassium hydroxide to form unknown A. This reacts with (bromomethyl)benzene to form unknown B. This reacts with potassium hydroxide and water to form unknown C.
(d)
1,4-Dibromobutane reacts with one equivalent of methylamine in the presence of sodium hydroxide and water to form an unknown product represented by a question mark.

Spectroscopy

Problem 24-65

Phenacetin, a substance formerly used in over-the-counter headache remedies, has the formula C10H13NO2. Phenacetin is neutral and does not dissolve in either acid or base. When warmed with aqueous NaOH, phenacetin yields an amine, C8H11NO, whose 1H NMR spectrum is shown. When heated with HI, the amine is cleaved to an aminophenol, C6H7NO. What is the structure of phenacetin, and what are the structures of the amine and the aminophenol?

Proton spectrum with signals at shift 1.34 (triplet), 3.40 (wide singlet), 3.93 (quartet), and 6.59 and 6.72 (doublets). Relative areas are 1.50, 1.00, 1.00, 1.00, and 1.00 respectively.
Problem 24-66
Propose structures for amines with the following 1H NMR spectra:
(a)

C3H9NO

Proton spectrum with signals at shift 1.68 (quintet), 2.69 (wide singlet), 2.88 (triplet), and 3.72 (triplet). Relative areas are 1.00, 1.50, 1.00, and 1.00 respectively.
(b)

C4H11NO2

Proton spectrum with signals at shift 1.28 (wide singlet), 2.78 (doublet), 3.39 (singlet), and 4.31 (triplet). Relative areas are 2.00, 2.oo, 6.00, and 1.00 respectively.
(c)

C8H11N

Proton spectrum with signals at shift 1.05 (wide singlet), 2.7 (triplet), 2.95 (triplet), and 7.25 (multiplets). Relative areas are 2.06, 2.02, 2.04, and 4.93 respectively.
Problem 24-67
Draw the structure of the amine that produced the 1H NMR spectrum shown. Proton spectrum with signals at approximate chemical shifts 0.9 (triplet), 1.4 (multiplet), 2 (broad singlet), and 2.55 (triplet) parts per million. This compound has a single strong peak in its IR spectrum at 3280 cm–1.

General Problems

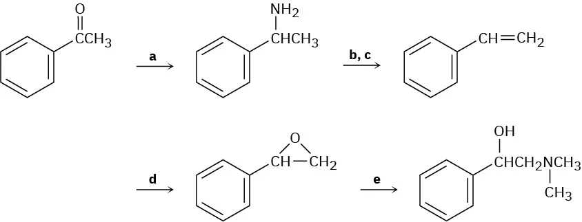
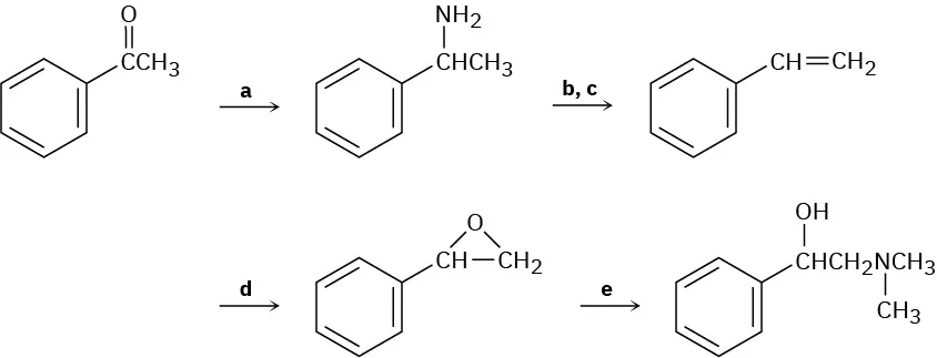
Problem 24-68

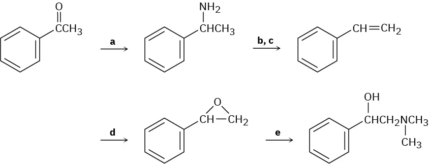
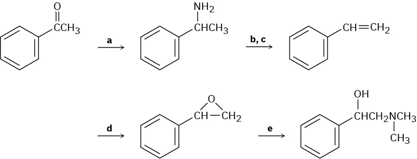
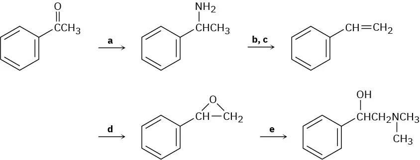
Fill in the missing reagents ae in the following scheme:

Acetophenone reacts with a to form 1-phenylethanamine. This reacts with b and c to form styrene. This reacts with d to form 2-phenyloxirane. This reacts with e to form 2-(dimethylamino)-1-phenylethanol.
Problem 24-69

Oxazole is a five-membered aromatic heterocycle. Would you expect oxazole to be more basic or less basic than pyrrole? Explain.

The structure of oxazole, a five membered ring with oxygen and nitrogen atoms separated by one carbon. There are double bonds between the adjacent carbons, and between carbon and nitrogen.
Problem 24-70

Protonation of an amide using strong acid occurs on oxygen rather than on nitrogen. Suggest a reason for this behavior, taking resonance into account.

An amide undergoes a reversible reaction with sulfuric acid to produce a protonated product in which oxygen carries a positive charge.
Problem 24-71

What is the structure of the compound with formula C8H11N that produced the following IR spectrum?

An I R spectrum with major peaks at wavenumbers 1500, 1600, just above and below 3000, and 3400 (single).
Problem 24-72

Fill in the missing reagents ad in the following synthesis of racemic methamphetamine from benzene.

Benzene reacts with a to produce allylbenzene. This reacts with b and c to produce 1-phenylpropan-2-one. This reacts with d to form (R, S)-methamphetamine.
Problem 24-73

Cyclopentamine is an amphetamine-like central nervous system stimulant. Propose a synthesis of cyclopentamine from materials of five carbons or less.

The stucture of cyclopentamine. A nitrogen with H, methyl, and isopropyl substituents. There is also a cyclopentane on C 1 of the isopropyl group.
Problem 24-74

Tetracaine is a substance used as a spinal anesthetic.

The structure of Tetracaine.
(a)
How would you prepare tetracaine from the corresponding aniline derivative, ArNH2?
(b)
How would you prepare tetracaine from p-nitrobenzoic acid?
(c)
How would you prepare tetracaine from benzene?
Problem 24-75

Atropine, C17H23NO3, is a poisonous alkaloid isolated from the leaves and roots of Atropa belladonna, the deadly nightshade. In small doses, atropine acts as a muscle relaxant; 0.5 ng (nanogram, 10–9 g) is sufficient to cause pupil dilation. On basic hydrolysis, atropine yields tropic acid, C6H5CH(CH2OH)CO2H, and tropine, C8H15NO. Tropine is an optically inactive alcohol that yields tropidene on dehydration with H2SO4. Propose a structure for atropine.

The structure of tropidene, a bicyclic compound incorporating a nitrogen with a methyl substituent.
Problem 24-76
Tropidene (Problem 24-75) can be converted by a series of steps into tropilidene (1,3,5-cycloheptatriene). How would you accomplish this conversion?
Problem 24-77

Propose a structure for the product with formula C9H17N that results when 2-(2-cyanoethyl)cyclohexanone is reduced catalytically.

2-(2-Cyanoethyl)cyclohexanone reacts with hydrogen and platinum catalyst to form a product whose chemical formula is C 9 H 1 7 N.
Problem 24-78
Coniine, C8H17N, is the toxic principle of the poison hemlock drunk by Socrates. When subjected to Hofmann elimination, coniine yields 5-(N,N-dimethylamino)-1-octene. If coniine is a secondary amine, what is its structure?
Problem 24-79
How would you synthesize coniine (Problem 24-78) from acrylonitrile (H2C═CHCN) and ethyl 3-oxohexanoate (CH3CH2CH2COCH2CO2Et)? (See Problem 24-77.)
Problem 24-80

Tyramine is an alkaloid found, among other places, in mistletoe and ripe cheese. How would you synthesize tyramine from benzene? From toluene?

The structure of tyramine. A benzene ring with a hydroxyl group on C 1 and two methylene connected to an amine group on C 4.
Problem 24-81
Reaction of anthranilic acid (o-aminobenzoic acid) with HNO2 and H2SO4 yields a diazonium salt that can be treated with base to yield a neutral diazonium carboxylate.
(a)
What is the structure of the neutral diazonium carboxylate?
(b)

Heating the diazonium carboxylate results in the formation of CO2, N2, and an intermediate that reacts with 1,3-cyclopentadiene to yield the following product:

The structure of benzene fused to a six-membered ring. There is a double bond opposite the fusion and a one-carbon bridge between the carbons adjacent to the fusion points.

What is the structure of the intermediate, and what kind of reaction does it undergo with cyclopentadiene?

Problem 24-82

Cyclooctatetraene was first synthesized in 1911 by a route that involved the following transformation:

9-Methyl-9-azabicyclo[3.3.1]non-2-ene is separated from 1,3,5-cyclooctatriene by an arrow.

How might you use the Hofmann elimination to accomplish this reaction? How would you finish the synthesis by converting cyclooctatriene into cyclooctatetraene?

Problem 24-83
Propose structures for compounds that show the following 1H NMR spectra.
(a)

C9H13N

Proton spectrum with signals at shift 2.25 (singlet), 2.89 (singlet), 6.66 (doublet), and 7.03 (doublet). Relative areas are 1.50, 3.00, 1.00, and 1.00 respectively.
(b)

C15H17N

Proton spectrum with signals at shift 1.14 (triplet), 3.40 (quartet), 4.47 (singlet), 6.65 (multiplet) and 7.16 and 7.24 (multiplets). Relative areas are 1.50, 1.00, 1.00, 1.50, 1.50, 2.00 respectively.
Problem 24-84

4-Dimethylaminopyridine (DMAP) acts as a catalyst in acyl transfer reactions. DMAP’s catalytic activity stems from its nucleophilic character at the pyridine nitrogen, not the dimethylamino group. Explain this behavior, taking resonance into account.

The structure of 4-dimethylaminopyridine. It has a pyridine ring linked to a nitrogen connected to two methyl groups.
Citation/Attribution

This book may not be used in the training of large language models or otherwise be ingested into large language models or generative AI offerings without OpenStax's permission.

Want to cite, share, or modify this book? This book uses the Creative Commons Attribution-NonCommercial-ShareAlike License and you must attribute OpenStax.

Attribution information
  • If you are redistributing all or part of this book in a print format, then you must include on every physical page the following attribution:

    Access for free at https://openstax.org/books/organic-chemistry/pages/1-why-this-chapter

  • If you are redistributing all or part of this book in a digital format, then you must include on every digital page view the following attribution:

    Access for free at https://openstax.org/books/organic-chemistry/pages/1-why-this-chapter

Citation information

© Jul 9, 2025 OpenStax. Textbook content produced by OpenStax is licensed under a Creative Commons Attribution-NonCommercial-ShareAlike License . The OpenStax name, OpenStax logo, OpenStax book covers, OpenStax CNX name, and OpenStax CNX logo are not subject to the Creative Commons license and may not be reproduced without the prior and express written consent of Rice University.