Skip to ContentGo to accessibility pageKeyboard shortcuts menu
OpenStax Logo
Organic Chemistry

16.7 Benzyne

Organic Chemistry16.7 Benzyne
Search for key terms or text.

16.7 • Benzyne

Halobenzenes without electron-withdrawing substituents don’t react with nucleophiles under most conditions. At high temperature and pressure, however, even chlorobenzene can be forced to react. Chemists at the Dow Chemical Company discovered in 1928 that phenol could be prepared on an industrial scale by treatment of chlorobenzene with dilute aqueous NaOH at 340 °C under 170 atm pressure.

At high temperature and pressure, chlorobenzene reacts in water with sodium hydroxide, to form phenol.

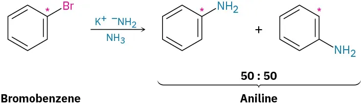
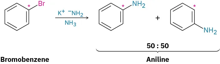
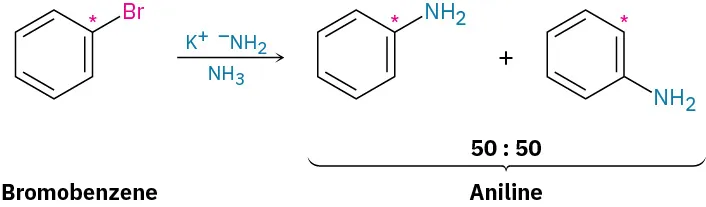
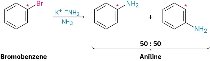
A similar substitution reaction occurs with other strong bases. Treatment of bromobenzene with potassium amide (KNH2) in liquid NH3 solvent, for instance, gives aniline. Curiously, though, when using bromobenzene labeled with radioactive 14C at the C1 position, the substitution product has equal amounts of the label at both C1 and C2, implying the presence of a symmetrical reaction intermediate in which C1 and C2 are equivalent.

Bromobenzene reacts with potassium amide in the presence of ammonia to form two aniline compounds. C 1 of both reactants and products are labeled with an asterisk.

Further mechanistic evidence comes from trapping experiments. When bromobenzene is treated with KNH2 in the presence of a conjugated diene, such as furan, a Diels–Alder reaction (Section 14.4) occurs, implying that the symmetrical intermediate is a benzyne, formed by elimination of HBr from bromobenzene. Benzyne is too reactive to be isolated as a pure compound but, in the presence of water, addition occurs to give phenol. In the presence of a diene, Diels–Alder cycloaddition takes place.

On reaction with hydroxide ion, hydrigen chloride is eliminated from chlorobenzene to generate benzyne which on reaction with water to form phenol..
Bromobenzene reacts with N H 2 minus ion to form benzyne, which reacts with ammonia to form a 50 50 mix of two aniline carbocations

The electronic structure of benzyne, shown in Figure 16.20, is that of a highly distorted alkyne. Although a typical alkyne triple bond uses sp-hybridized carbon atoms, the benzyne triple bond uses sp2-hybridized carbons. Furthermore, a typical alkyne triple bond has two mutually perpendicular π bonds formed by pp overlap, but the benzyne triple bond has one π bond formed by pp overlap and one π bond formed by sp2sp2 overlap. The latter π bond is in the plane of the ring and is very weak.

The figure shows the orbital representation and ball-and-stick model in the electrostatic potential map of benzyne. Black and gray spheres represent carbon and hydrogen, respectively.
Figure 16.20 An orbital picture and electrostatic potential map of benzyne. The benzyne carbons are sp2-hybridized, and the “third” bond results from weak overlap of two adjacent sp2 orbitals.
Problem 16-17
Treatment of p-bromotoluene with NaOH at 300 °C yields a mixture of two products, but treatment of m-bromotoluene with NaOH yields a mixture of three products. Explain.
Citation/Attribution

This book may not be used in the training of large language models or otherwise be ingested into large language models or generative AI offerings without OpenStax's permission.

Want to cite, share, or modify this book? This book uses the Creative Commons Attribution-NonCommercial-ShareAlike License and you must attribute OpenStax.

Attribution information
  • If you are redistributing all or part of this book in a print format, then you must include on every physical page the following attribution:

    Access for free at https://openstax.org/books/organic-chemistry/pages/1-why-this-chapter

  • If you are redistributing all or part of this book in a digital format, then you must include on every digital page view the following attribution:

    Access for free at https://openstax.org/books/organic-chemistry/pages/1-why-this-chapter

Citation information

© Jul 9, 2025 OpenStax. Textbook content produced by OpenStax is licensed under a Creative Commons Attribution-NonCommercial-ShareAlike License . The OpenStax name, OpenStax logo, OpenStax book covers, OpenStax CNX name, and OpenStax CNX logo are not subject to the Creative Commons license and may not be reproduced without the prior and express written consent of Rice University.