Skip to ContentGo to accessibility pageKeyboard shortcuts menu
OpenStax Logo
Organic Chemistry

16.6 Nucleophilic Aromatic Substitution

Organic Chemistry16.6 Nucleophilic Aromatic Substitution
Search for key terms or text.

16.6 • Nucleophilic Aromatic Substitution

Although aromatic substitution reactions usually occur by an electrophilic mechanism, aryl halides that have electron-withdrawing substituents can also undergo a nucleophilic substitution reaction. For example, 2,4,6-trinitrochlorobenzene reacts with aqueous NaOH at room temperature to give 2,4,6-trinitrophenol. Here, the nucleophile OH substitutes for Cl.

The ball-and-stick model in the electrostatic potential map of 2,4,6-trinitrochlorobenzene and its reaction with hydroxide ion to produce 2,4,6-trinitrophenol.

Nucleophilic aromatic substitution is much less common than electrophilic substitution but nevertheless does have certain uses. One such use is the reaction of proteins with 2,4-dinitrofluorobenzene, known as Sanger’s reagent, to attach a “label” to the terminal NH2 group of the amino acid at one end of the protein chain.

A reaction shows 2,4-dinitrofluorobenzene reacting with a protein to yield a labeled protein.

Although the reaction appears superficially similar to the SN1 and SN2 nucleophilic substitutions of alkyl halides discussed in the chapter on Reactions of Alkyl Halides: Nucleophilic Substitutions and Eliminations, it must be different because aryl halides are inert to both SN1 and SN2 conditions. SN1 reactions don’t occur with aryl halides because dissociation of the halide is energetically unfavorable, due to the instability of the potential aryl cation product. SN2 reactions don’t occur with aryl halides because the halo-substituted carbon of the aromatic ring is sterically shielded from a backside approach. For a nucleophile to react with an aryl halide, it would have to approach directly through the aromatic ring and invert the stereochemistry of the aromatic ring carbon—a geometric impossibility.

A non-feasible reaction shows chlorobenzene forming chloride ion and benzene with a positive charge. In another non-feasible reaction, nucleophile attacks C 1 of chlorobenzene.

Instead, nucleophilic substitutions on an aromatic ring proceed by the mechanism shown in Figure 16.18. The nucleophile first adds to the electron-deficient aryl halide, forming a resonance-stabilized, negatively charged intermediate called a Meisenheimer complex after its discoverer. Halide ion is then eliminated.

Figure 16.18 MECHANISM
Mechanism of nucleophilic aromatic substitution. The reaction occurs in two steps and involves a resonance-stabilized carbanion intermediate.
A two-step mechanism of a hydroxide ion reacting with 2-nitrochlorobenzene to form 2-nitrophenol and chloride ion.

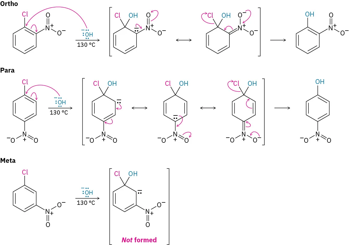
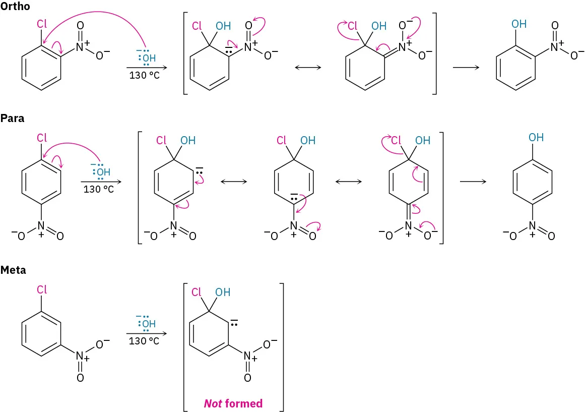
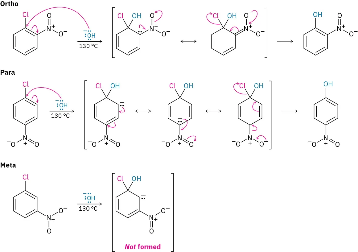
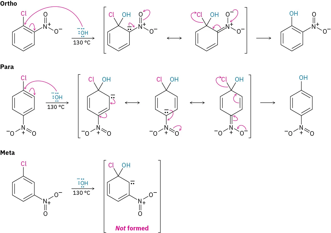
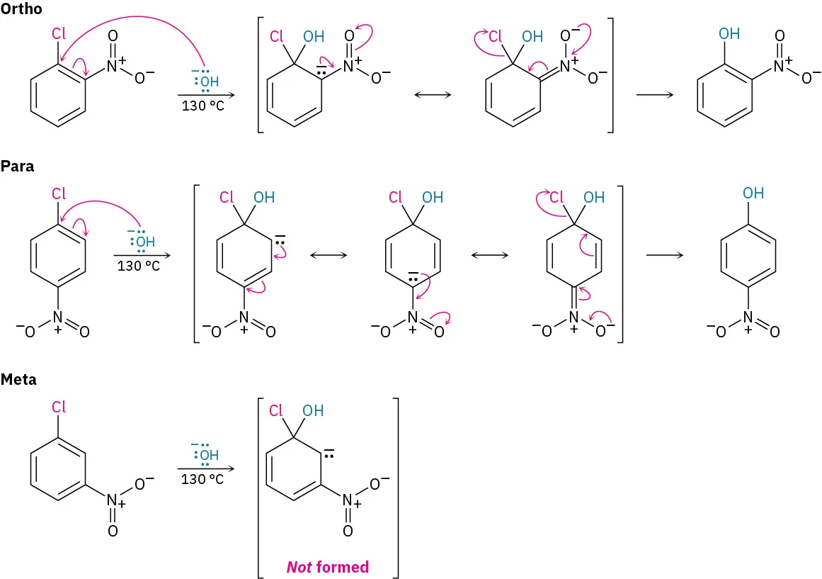
Nucleophilic aromatic substitution occurs only if the aromatic ring has an electron-withdrawing substituent in a position ortho or para to the leaving group to stabilize the anion intermediate through resonance (Figure 16.19). A meta substituent offers no such resonance stabilization. Thus, p-chloronitrobenzene and o-chloronitrobenzene react with hydroxide ion at 130 °C to yield substitution products, but m-chloronitrobenzene is inert to OH.

The reaction mechanisms of ortho-, meta- and para-chloronitrobenzene with a hydroxide ion are each shown.
Figure 16.19 Nucleophilic aromatic substitution on nitrochlorobenzenes. Only in the ortho and para intermediates is the negative charge stabilized by a resonance interaction with the nitro group, so only the ortho and para isomers undergo reaction.

Note the differences between electrophilic and nucleophilic aromatic substitutions. Electrophilic substitutions are favored by electron-donating substituents, which stabilize a carbocation intermediate, while nucleophilic substitutions are favored by electron-withdrawing substituents, which stabilize a carbanion intermediate. Thus, the electron-withdrawing groups that deactivate rings for electrophilic substitution (nitro, carbonyl, cyano, and so forth) activate them for nucleophilic substitution. What’s more, these functional groups are meta directors in electrophilic substitution but are ortho–para directors in nucleophilic substitution. And finally, electrophilic substitutions replace hydrogen on the ring, while nucleophilic substitutions replace a leaving group, usually halide ion.

Problem 16-16

The herbicide oxyfluorfen can be prepared by reaction between a phenol and an aryl fluoride. Propose a mechanism.

A substituted phenol and a substituted aryl fluoride react with each other in the presence of potassium hydroxide to form oxyfluorfen where the two starting materials are joined to one another by an oxygen atom.
Citation/Attribution

This book may not be used in the training of large language models or otherwise be ingested into large language models or generative AI offerings without OpenStax's permission.

Want to cite, share, or modify this book? This book uses the Creative Commons Attribution-NonCommercial-ShareAlike License and you must attribute OpenStax.

Attribution information
  • If you are redistributing all or part of this book in a print format, then you must include on every physical page the following attribution:

    Access for free at https://openstax.org/books/organic-chemistry/pages/1-why-this-chapter

  • If you are redistributing all or part of this book in a digital format, then you must include on every digital page view the following attribution:

    Access for free at https://openstax.org/books/organic-chemistry/pages/1-why-this-chapter

Citation information

© Jul 9, 2025 OpenStax. Textbook content produced by OpenStax is licensed under a Creative Commons Attribution-NonCommercial-ShareAlike License . The OpenStax name, OpenStax logo, OpenStax book covers, OpenStax CNX name, and OpenStax CNX logo are not subject to the Creative Commons license and may not be reproduced without the prior and express written consent of Rice University.