Skip to ContentGo to accessibility pageKeyboard shortcuts menu
OpenStax Logo
Organic Chemistry

16.8 Oxidation of Aromatic Compounds

Organic Chemistry16.8 Oxidation of Aromatic Compounds
Search for key terms or text.

16.8 • Oxidation of Aromatic Compounds

Oxidation of Alkyl Side Chains

Despite its unsaturation, the benzene ring is inert to strong oxidizing agents such as KMnO4, which will cleave alkene carbon–carbon bonds (Section 8.8). It turns out, however, that the presence of the aromatic ring has a dramatic effect on the reactivity of alkyl side chains. These side chains react rapidly with oxidizing agents and are converted into carboxyl groups, –CO2H.The net effect is conversion of an alkylbenzene into a benzoic acid, Ar–RArCO2HAr–RArCO2H. Butylbenzene is oxidized by aqueous KMnO4 to give benzoic acid, for instance.

Butylbenzene reacts with potassium permanganate in the presence of water to form benzoic acid in 85 percent yield.

A similar oxidation is employed industrially for the preparation of the terephthalic acid used in the production of polyester fibers. Worldwide, approximately 118 million tons per year of terephthalic acid is produced by oxidation of p-xylene, using air as the oxidant and Co(III) salts as catalyst.

Para-xylene reacts with molecular oxygen in the presence of cobalt (3) to form terephthalic acid.

The mechanism of side-chain oxidation is complex and involves reaction of C–H bonds at the position next to the aromatic ring to form intermediate benzylic radicals. tert-Butylbenzene has no benzylic hydrogens, however, and is therefore inert.

Tertiary-butylbenzene does not react with potassium permanganate in water

Analogous side-chain oxidations occur in various biosynthetic pathways. The neurotransmitter norepinephrine, for instance, is biosynthesized from dopamine by a benzylic hydroxylation reaction. The process is catalyzed by the copper-containing enzyme dopamine β-monooxygenase and occurs by a radical mechanism. A copper–oxygen species in the enzyme first abstracts the pro-R benzylic hydrogen to give a radical, and a hydroxyl is then transferred from copper to carbon.

A reaction shows dopamine forming norepinephrine through an intermediate.
Problem 16-18
What aromatic products would you obtain from the KMnO4 oxidation of the following substances?
(a)
In a benzene ring, C 1 is bonded to C H (C H 3) 2 group and C 3 is bonded to a nitro group.
(b)
In a benzene ring, C 1 is bonded to C (C H 3) 3 group. C 4 is bonded to a methyl group.

Bromination of Alkylbenzene Side Chains

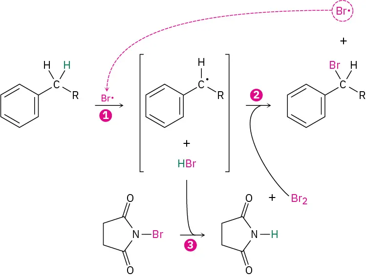
Side-chain bromination at the benzylic position occurs when an alkylbenzene is treated with N-bromosuccinimide (NBS). For example, propylbenzene gives (1-bromopropyl)benzene in 97% yield on reaction with NBS in the presence of benzoyl peroxide, (PhCO2)2, as a radical initiator. Bromination occurs exclusively in the benzylic position next to the aromatic ring and does not give a mixture of products.

In C C l 4, propylbenzene reacts with N-bromosuccinimide in the presence of (P h C O 2) 2 to form (1-Bromopropyl)benzene in 97 percent yield and succinimide.

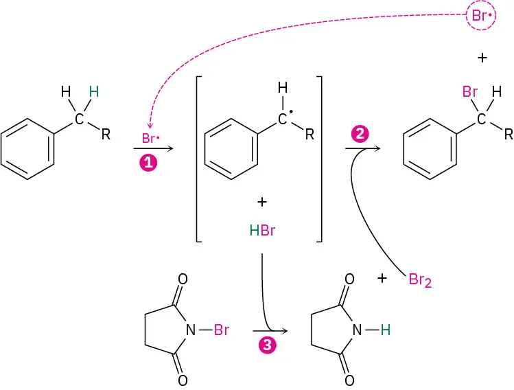
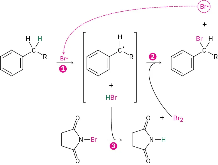
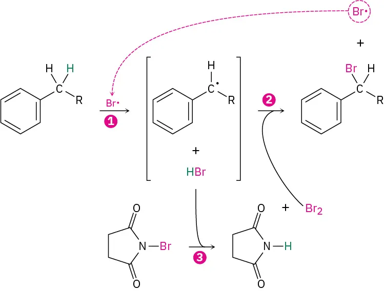
The mechanism of benzylic bromination is similar to that discussed in Section 10.3 for allylic bromination of alkenes. Abstraction of a benzylic hydrogen atom first generates an intermediate benzylic radical, which then reacts with Br2 in step 2 to yield product and a Br·Br· radical, which cycles back into the reaction to carry on the chain shown below as a summary. The Br2 needed for reaction with the benzylic radical is produced in step 3 by a concurrent reaction of HBr with NBS.

Three-step reaction of a B r plus ion wih a benzene ring bearing a C H 2 R group, in the presence of N bromosuccinimide.

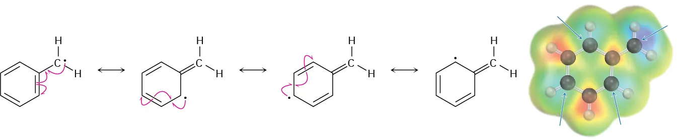
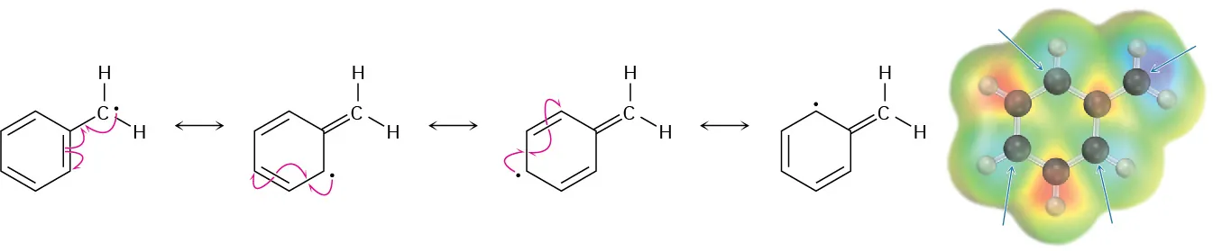
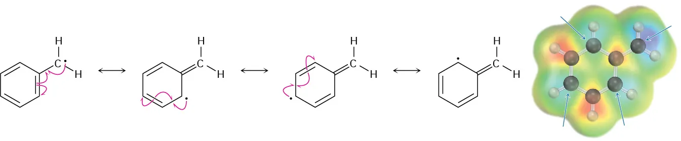
Reaction occurs exclusively at the benzylic position because the benzylic radical intermediate is stabilized by resonance. Figure 16.21 shows how the benzyl radical is stabilized by overlap of its p orbital with the ringed π electron system.

Four benzylic radicals with double-headed arrows in-between. To the right, the ball-and-stick model with the electrostatic potential map of benzylic radical is depicted.
Figure 16.21 A resonance-stabilized benzylic radical. The spin-density surface shows that the unpaired electron is shared by the ortho and para carbons of the ring.
Problem 16-19
Refer to Table 6.3 for a quantitative idea of the stability of a benzyl radical. How much more stable (in kJ/mol) is the benzyl radical than a primary alkyl radical? How does a benzyl radical compare in stability to an allyl radical?
Problem 16-20

Styrene, the simplest alkenylbenzene, is prepared commercially for use in plastics manufacture by catalytic dehydrogenation of ethylbenzene. How might you prepare styrene from benzene using reactions you’ve studied?

Styrene has a benzene ring. C 1 attached to an ethene group.
Citation/Attribution

This book may not be used in the training of large language models or otherwise be ingested into large language models or generative AI offerings without OpenStax's permission.

Want to cite, share, or modify this book? This book uses the Creative Commons Attribution-NonCommercial-ShareAlike License and you must attribute OpenStax.

Attribution information
  • If you are redistributing all or part of this book in a print format, then you must include on every physical page the following attribution:

    Access for free at https://openstax.org/books/organic-chemistry/pages/1-why-this-chapter

  • If you are redistributing all or part of this book in a digital format, then you must include on every digital page view the following attribution:

    Access for free at https://openstax.org/books/organic-chemistry/pages/1-why-this-chapter

Citation information

© Jul 9, 2025 OpenStax. Textbook content produced by OpenStax is licensed under a Creative Commons Attribution-NonCommercial-ShareAlike License . The OpenStax name, OpenStax logo, OpenStax book covers, OpenStax CNX name, and OpenStax CNX logo are not subject to the Creative Commons license and may not be reproduced without the prior and express written consent of Rice University.