Skip to ContentGo to accessibility pageKeyboard shortcuts menu
OpenStax Logo
Intermediate Algebra 2e

9.7 Graph Quadratic Functions Using Transformations

Intermediate Algebra 2e9.7 Graph Quadratic Functions Using Transformations
Search for key terms or text.

Learning Objectives

By the end of this section, you will be able to:

  • Graph quadratic equations of the form f(x)=x2+kf(x)=x2+k
  • Graph quadratic functions of the form f(x)=(x-h)2f(x)=(x-h)2
  • Graph quadratic functions of the form f(x)=ax2f(x)=ax2
  • Graph quadratic functions using transformations
  • Find a quadratic function from its graph

Be Prepared 9.19

Before you get started, take this readiness quiz.

Graph the function f(x)=x2f(x)=x2 by plotting points.
If you missed this problem, review Example 3.54.

Be Prepared 9.20

Factor completely: y214y+49.y214y+49.
If you missed this problem, review Example 6.24.

Be Prepared 9.21

Factor completely: 2x216x+32.2x216x+32.
If you missed this problem, review Example 6.26.

Graph Quadratic Functions of the form f(x)=x2+kf(x)=x2+k

In the last section, we learned how to graph quadratic functions using their properties. Another method involves starting with the basic graph of f(x)=x2f(x)=x2 and ‘moving’ it according to information given in the function equation. We call this graphing quadratic functions using transformations.

In the first example, we will graph the quadratic function f(x)=x2f(x)=x2 by plotting points. Then we will see what effect adding a constant, k, to the equation will have on the graph of the new function f(x)=x2+k.f(x)=x2+k.

Example 9.53

Graph f(x)=x2,g(x)=x2+2,f(x)=x2,g(x)=x2+2, and h(x)=x22h(x)=x22 on the same rectangular coordinate system. Describe what effect adding a constant to the function has on the basic parabola.

Try It 9.105

Graph f(x)=x2,g(x)=x2+1,f(x)=x2,g(x)=x2+1, and h(x)=x21h(x)=x21 on the same rectangular coordinate system.
Describe what effect adding a constant to the function has on the basic parabola.

Try It 9.106

Graph f(x)=x2,g(x)=x2+6,f(x)=x2,g(x)=x2+6, and h(x)=x26h(x)=x26 on the same rectangular coordinate system.
Describe what effect adding a constant to the function has on the basic parabola.

The last example shows us that to graph a quadratic function of the form f(x)=x2+k,f(x)=x2+k, we take the basic parabola graph of f(x)=x2f(x)=x2 and vertically shift it up (k>0)(k>0) or shift it down (k<0)(k<0).

This transformation is called a vertical shift.

Graph a Quadratic Function of the form f ( x ) = x 2 + k f ( x ) = x 2 + k Using a Vertical Shift

The graph of f(x)=x2+kf(x)=x2+k shifts the graph of f(x)=x2f(x)=x2 vertically k units.

  • If k > 0, shift the parabola vertically up k units.
  • If k < 0, shift the parabola vertically down |k||k| units.

Now that we have seen the effect of the constant, k, it is easy to graph functions of the form f(x)=x2+k.f(x)=x2+k. We just start with the basic parabola of f(x)=x2f(x)=x2 and then shift it up or down.

It may be helpful to practice sketching f(x)=x2f(x)=x2 quickly. We know the values and can sketch the graph from there.

This figure shows an upward-opening parabola on the x y-coordinate plane, with vertex (0, 0). Other points on the curve are located at (negative 4, 16), (negative 3, 9), (negative 2, 4), (negative 1, 1), (1, 1), (2, 4), (3, 9), and (4, 16).

Once we know this parabola, it will be easy to apply the transformations. The next example will require a vertical shift.

Example 9.54

Graph f(x)=x23f(x)=x23 using a vertical shift.

Try It 9.107

Graph f(x)=x25f(x)=x25 using a vertical shift.

Try It 9.108

Graph f(x)=x2+7f(x)=x2+7 using a vertical shift.

Graph Quadratic Functions of the form f(x)=(xh)2f(x)=(xh)2

In the first example, we graphed the quadratic function f(x)=x2f(x)=x2 by plotting points and then saw the effect of adding a constant k to the function had on the resulting graph of the new function f(x)=x2+k.f(x)=x2+k.

We will now explore the effect of subtracting a constant, h, from x has on the resulting graph of the new function f(x)=(xh)2.f(x)=(xh)2.

Example 9.55

Graph f(x)=x2,g(x)=(x1)2,f(x)=x2,g(x)=(x1)2, and h(x)=(x+1)2h(x)=(x+1)2 on the same rectangular coordinate system. Describe what effect adding a constant to the function has on the basic parabola.

Try It 9.109

Graph f(x)=x2,g(x)=(x+2)2,f(x)=x2,g(x)=(x+2)2, and h(x)=(x2)2h(x)=(x2)2 on the same rectangular coordinate system.
Describe what effect adding a constant to the function has on the basic parabola.

Try It 9.110

Graph f(x)=x2,g(x)=x2+5,f(x)=x2,g(x)=x2+5, and h(x)=x25h(x)=x25 on the same rectangular coordinate system.
Describe what effect adding a constant to the function has on the basic parabola.

The last example shows us that to graph a quadratic function of the form f(x)=(xh)2,f(x)=(xh)2, we take the basic parabola graph of f(x)=x2f(x)=x2 and shift it left (h > 0) or shift it right (h < 0).

This transformation is called a horizontal shift.

Graph a Quadratic Function of the form f ( x ) = ( x h ) 2 f ( x ) = ( x h ) 2 Using a Horizontal Shift

The graph of f(x)=(xh)2f(x)=(xh)2 shifts the graph of f(x)=x2f(x)=x2 horizontally hh units.

  • If h > 0, shift the parabola horizontally right h units.
  • If h < 0, shift the parabola horizontally left |h||h| units.

Now that we have seen the effect of the constant, h, it is easy to graph functions of the form f(x)=(xh)2.f(x)=(xh)2. We just start with the basic parabola of f(x)=x2f(x)=x2 and then shift it left or right.

The next example will require a horizontal shift.

Example 9.56

Graph f(x)=(x5)2f(x)=(x5)2 using a horizontal shift.

Try It 9.111

Graph f(x)=(x4)2f(x)=(x4)2 using a horizontal shift.

Try It 9.112

Graph f(x)=(x+6)2f(x)=(x+6)2 using a horizontal shift.

Now that we know the effect of the constants h and k, we will graph a quadratic function of the form f(x)=(xh)2+kf(x)=(xh)2+k by first drawing the basic parabola and then making a horizontal shift followed by a vertical shift. We could do the vertical shift followed by the horizontal shift, but most students prefer the horizontal shift followed by the vertical.

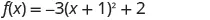
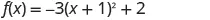
Example 9.57

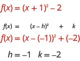
Graph f(x)=(x+1)22f(x)=(x+1)22 using transformations.

Try It 9.113

Graph f(x)=(x+2)23f(x)=(x+2)23 using transformations.

Try It 9.114

Graph f(x)=(x3)2+1f(x)=(x3)2+1 using transformations.

Graph Quadratic Functions of the Form f(x)=ax2f(x)=ax2

So far we graphed the quadratic function f(x)=x2f(x)=x2 and then saw the effect of including a constant h or k in the equation had on the resulting graph of the new function. We will now explore the effect of the coefficient a on the resulting graph of the new function f(x)=ax2.f(x)=ax2.

A table depicting the effect of constants on the basic function of x squared. The table has seven columns labeled x, f of x equals x squared, the ordered pair (x, f of x), g of x equals 2 times x squared, the ordered pair (x, g of x), h of x equals one-half times x squared, and the ordered pair (x, h of x). In the x column, the values given are negative 2, negative 1, 0, 1, and 2. In the f of x equals x squared column, the values are 4, 1, 0, 1, and 4. In the (x, f of x) column, the ordered pairs (negative 2, 4), (negative 1, 1), (0, 0), (1, 1), and (2, 4) are given. The g of x equals 2 times x squared column contains the expressions 2 times 4, 2 times 1, 2 times 0, 2 times 1, and 2 times 4. The (x, g of x) column has the ordered pairs of (negative 2, 8), (negative 1, 2), (0, 0), (1, 2), and (2,8). In the h of x equals one-half times x squared, the expressions given are one-half times 4, one-half times 1, one-half times 0, one-half times 1, and one-half times 4. In last column, (x, h of x), contains the ordered pairs (negative 2, 2), (negative 1, one-half), (0, 0), (1, one-half), and (2, 2).

If we graph these functions, we can see the effect of the constant a, assuming a > 0.

This figure shows 3 upward-opening parabolas on the x y-coordinate plane. One is the graph of f of x equals x squared and has a vertex of (0, 0). Other points on the curve are located at (negative 1, 1) and (1, 1). The slimmer curve of g of x equals 2 times x square has a vertex at (0,0) and other points of (negative 1, one-half) and (1, one-half). The wider curve, h of x equals one-half x squared, has a vertex at (0,0) and other points of (negative 2, 2) and (2,2).

To graph a function with constant a it is easiest to choose a few points on f(x)=x2f(x)=x2 and multiply the y-values by a.

Graph of a Quadratic Function of the form f ( x ) = a x 2 f ( x ) = a x 2

The coefficient a in the function f(x)=ax2f(x)=ax2 affects the graph of f(x)=x2f(x)=x2 by stretching or compressing it.

  • If 0<|a|<1,0<|a|<1, the graph of f(x)=ax2f(x)=ax2 will be “wider” than the graph of f(x)=x2.f(x)=x2.
  • If |a|>1|a|>1, the graph of f(x)=ax2f(x)=ax2 will be “skinnier” than the graph of f(x)=x2.f(x)=x2.

Example 9.58

Graph f(x)=3x2.f(x)=3x2.

Try It 9.115

Graph f(x)=−3x2.f(x)=−3x2.

Try It 9.116

Graph f(x)=2x2.f(x)=2x2.

Graph Quadratic Functions Using Transformations

We have learned how the constants a, h, and k in the functions, f(x)=x2+k,f(x)=(xh)2,f(x)=x2+k,f(x)=(xh)2, and f(x)=ax2f(x)=ax2 affect their graphs. We can now put this together and graph quadratic functions f(x)=ax2+bx+cf(x)=ax2+bx+c by first putting them into the form f(x)=a(xh)2+kf(x)=a(xh)2+k by completing the square. This form is sometimes known as the vertex form or standard form.

We must be careful to both add and subtract the number to the SAME side of the function to complete the square. We cannot add the number to both sides as we did when we completed the square with quadratic equations.

This figure shows the difference when completing the square with a quadratic equation and a quadratic function. For the quadratic equation, start with x squared plus 8 times x plus 6 equals zero. Subtract 6 from both sides to get x squared plus 8 times x equals negative 6 while leaving space to complete the square. Then, complete the square by adding 16 to both sides to get x squared plush 8 times x plush 16 equals negative 6 plush 16. Factor to get the quantity x plus 4 squared equals 10. For the quadratic function, start with f of x equals x squared plus 8 times x plus 6. The second line shows to leave space between the 8 times x and the 6 in order to complete the square. Complete the square by adding 16 and subtracting 16 on the same side to get f of x equals x squared plus 8 times x plush 16 plus 6 minus 16. Factor to get f of x equals the quantity of x plush 4 squared minus 10.

When we complete the square in a function with a coefficient of x2 that is not one, we have to factor that coefficient from just the x-terms. We do not factor it from the constant term. It is often helpful to move the constant term a bit to the right to make it easier to focus only on the x-terms.

Once we get the constant we want to complete the square, we must remember to multiply it by that coefficient before we then subtract it.

Example 9.59

Rewrite f(x)=−3x26x1f(x)=−3x26x1 in the f(x)=a(xh)2+kf(x)=a(xh)2+k form by completing the square.

Try It 9.117

Rewrite f(x)=−4x28x+1f(x)=−4x28x+1 in the f(x)=a(xh)2+kf(x)=a(xh)2+k form by completing the square.

Try It 9.118

Rewrite f(x)=2x28x+3f(x)=2x28x+3 in the f(x)=a(xh)2+kf(x)=a(xh)2+k form by completing the square.

Once we put the function into the f(x)=(xh)2+kf(x)=(xh)2+k form, we can then use the transformations as we did in the last few problems. The next example will show us how to do this.

Example 9.60

Graph f(x)=x2+6x+5f(x)=x2+6x+5 by using transformations.

Try It 9.119

Graph f(x)=x2+2x3f(x)=x2+2x3 by using transformations.

Try It 9.120

Graph f(x)=x28x+12f(x)=x28x+12 by using transformations.

We list the steps to take to graph a quadratic function using transformations here.

How To

Graph a quadratic function using transformations.

  1. Step 1. Rewrite the function in f(x)=a(xh)2+kf(x)=a(xh)2+k form by completing the square.
  2. Step 2. Graph the function using transformations.

Example 9.61

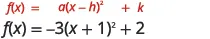
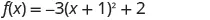
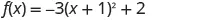
Graph f(x)=−2x24x+2f(x)=−2x24x+2 by using transformations.

Try It 9.121

Graph f(x)=−3x2+12x4f(x)=−3x2+12x4 by using transformations.

Try It 9.122

Graph f(x)=−2x2+12x9f(x)=−2x2+12x9 by using transformations.

Now that we have completed the square to put a quadratic function into f(x)=a(xh)2+kf(x)=a(xh)2+k form, we can also use this technique to graph the function using its properties as in the previous section.

If we look back at the last few examples, we see that the vertex is related to the constants h and k.

The first graph shows an upward-opening parabola on the x y-coordinate plane with a vertex of (negative 3, negative 4) with other points of (0, negative 5) and (0, negative 1). Underneath the graph, it shows the standard form of a parabola, f of x equals the quantity x minus h squared plus k, with the equation of the parabola f of x equals the quantity of x plus 3 squared minus 4 where h equals negative 3 and k equals negative 4. The second graph shows a downward-opening parabola on the x y-coordinate plane with a vertex of (negative 1, 4) and other points of (0,2) and (negative 2,2). Underneath the graph, it shows the standard form of a parabola, f of x equals a times the quantity x minus h squared plus k, with the equation of the parabola f of x equals negative 2 times the quantity of x plus 1 squared plus 4 where h equals negative 1 and k equals 4.

In each case, the vertex is (h, k). Also the axis of symmetry is the line x = h.

We rewrite our steps for graphing a quadratic function using properties for when the function is in f(x)=a(xh)2+kf(x)=a(xh)2+k form.

How To

Graph a quadratic function in the form f(x)=a(xh)2+kf(x)=a(xh)2+k using properties.

  1. Step 1. Rewrite the function in f(x)=a(xh)2+kf(x)=a(xh)2+k form.
  2. Step 2. Determine whether the parabola opens upward, a > 0, or downward, a < 0.
  3. Step 3. Find the axis of symmetry, x = h.
  4. Step 4. Find the vertex, (h, k).
  5. Step 5. Find the y-intercept. Find the point symmetric to the y-intercept across the axis of symmetry.
  6. Step 6. Find the x-intercepts.
  7. Step 7. Graph the parabola.

Example 9.62

Rewrite f(x)=2x2+4x+5f(x)=2x2+4x+5 in f(x)=a(xh)2+kf(x)=a(xh)2+k form and graph the function using properties.

Try It 9.123

Rewrite f(x)=3x26x+5f(x)=3x26x+5 in f(x)=a(xh)2+kf(x)=a(xh)2+k form and graph the function using properties.

Try It 9.124

Rewrite f(x)=−2x2+8x7f(x)=−2x2+8x7 in f(x)=a(xh)2+kf(x)=a(xh)2+k form and graph the function using properties.

Find a Quadratic Function from its Graph

So far we have started with a function and then found its graph.

Now we are going to reverse the process. Starting with the graph, we will find the function.

Example 9.63

Determine the quadratic function whose graph is shown.

The graph shown is an upward facing parabola with vertex (negative 2, negative 1) and y-intercept (0, 7).

Try It 9.125

Write the quadratic function in f(x)=a(xh)2+kf(x)=a(xh)2+k form whose graph is shown.

The graph shown is an upward facing parabola with vertex (3, negative 4) and y-intercept (0, 5).

Try It 9.126

Determine the quadratic function whose graph is shown.

The graph shown is an upward facing parabola with vertex (negative 3, negative 1) and y-intercept (0, 8).

Media

Section 9.7 Exercises

Practice Makes Perfect

Graph Quadratic Functions of the form f(x)=x2+kf(x)=x2+k

In the following exercises, graph the quadratic functions on the same rectangular coordinate system and describe what effect adding a constant, k, to the function has on the basic parabola.

293.

f(x)=x2,g(x)=x2+4,f(x)=x2,g(x)=x2+4, and h(x)=x24.h(x)=x24.

294.

f(x)=x2,g(x)=x2+7,f(x)=x2,g(x)=x2+7, and h(x)=x27.h(x)=x27.

In the following exercises, graph each function using a vertical shift.

295.

f ( x ) = x 2 + 3 f ( x ) = x 2 + 3

296.

f ( x ) = x 2 7 f ( x ) = x 2 7

297.

g ( x ) = x 2 + 2 g ( x ) = x 2 + 2

298.

g ( x ) = x 2 + 5 g ( x ) = x 2 + 5

299.

h ( x ) = x 2 4 h ( x ) = x 2 4

300.

h ( x ) = x 2 5 h ( x ) = x 2 5

Graph Quadratic Functions of the form f(x)=(xh)2f(x)=(xh)2

In the following exercises, graph the quadratic functions on the same rectangular coordinate system and describe what effect adding a constant, hh, inside the parentheses has

301.

f(x)=x2,g(x)=(x3)2,f(x)=x2,g(x)=(x3)2, and h(x)=(x+3)2.h(x)=(x+3)2.

302.

f(x)=x2,g(x)=(x+4)2,f(x)=x2,g(x)=(x+4)2, and h(x)=(x4)2.h(x)=(x4)2.

In the following exercises, graph each function using a horizontal shift.

303.

f ( x ) = ( x 2 ) 2 f ( x ) = ( x 2 ) 2

304.

f ( x ) = ( x 1 ) 2 f ( x ) = ( x 1 ) 2

305.

f ( x ) = ( x + 5 ) 2 f ( x ) = ( x + 5 ) 2

306.

f ( x ) = ( x + 3 ) 2 f ( x ) = ( x + 3 ) 2

307.

f ( x ) = ( x 5 ) 2 f ( x ) = ( x 5 ) 2

308.

f ( x ) = ( x + 2 ) 2 f ( x ) = ( x + 2 ) 2

In the following exercises, graph each function using transformations.

309.

f ( x ) = ( x + 2 ) 2 + 1 f ( x ) = ( x + 2 ) 2 + 1

310.

f ( x ) = ( x + 4 ) 2 + 2 f ( x ) = ( x + 4 ) 2 + 2

311.

f ( x ) = ( x 1 ) 2 + 5 f ( x ) = ( x 1 ) 2 + 5

312.

f ( x ) = ( x 3 ) 2 + 4 f ( x ) = ( x 3 ) 2 + 4

313.

f ( x ) = ( x + 3 ) 2 1 f ( x ) = ( x + 3 ) 2 1

314.

f ( x ) = ( x + 5 ) 2 2 f ( x ) = ( x + 5 ) 2 2

315.

f ( x ) = ( x 4 ) 2 3 f ( x ) = ( x 4 ) 2 3

316.

f ( x ) = ( x 6 ) 2 2 f ( x ) = ( x 6 ) 2 2

Graph Quadratic Functions of the form f(x)=ax2f(x)=ax2

In the following exercises, graph each function.

317.

f ( x ) = −2 x 2 f ( x ) = −2 x 2

318.

f ( x ) = 4 x 2 f ( x ) = 4 x 2

319.

f ( x ) = −4 x 2 f ( x ) = −4 x 2

320.

f ( x ) = x 2 f ( x ) = x 2

321.

f ( x ) = 1 2 x 2 f ( x ) = 1 2 x 2

322.

f ( x ) = 1 3 x 2 f ( x ) = 1 3 x 2

323.

f ( x ) = 1 4 x 2 f ( x ) = 1 4 x 2

324.

f ( x ) = 1 2 x 2 f ( x ) = 1 2 x 2

Graph Quadratic Functions Using Transformations

In the following exercises, rewrite each function in the f(x)=a(xh)2+kf(x)=a(xh)2+k form by completing the square.

325.

f ( x ) = −3 x 2 12 x 5 f ( x ) = −3 x 2 12 x 5

326.

f ( x ) = 2 x 2 12 x + 7 f ( x ) = 2 x 2 12 x + 7

327.

f ( x ) = 3 x 2 + 6 x 1 f ( x ) = 3 x 2 + 6 x 1

328.

f ( x ) = −4 x 2 16 x 9 f ( x ) = −4 x 2 16 x 9

In the following exercises, rewrite each function in f(x)=a(xh)2+kf(x)=a(xh)2+k form and graph it by using transformations.

329.

f ( x ) = x 2 + 6 x + 5 f ( x ) = x 2 + 6 x + 5

330.

f ( x ) = x 2 + 4 x 12 f ( x ) = x 2 + 4 x 12

331.

f ( x ) = x 2 + 4 x + 3 f ( x ) = x 2 + 4 x + 3

332.

f ( x ) = x 2 6 x + 8 f ( x ) = x 2 6 x + 8

333.

f ( x ) = x 2 6 x + 15 f ( x ) = x 2 6 x + 15

334.

f ( x ) = x 2 + 8 x + 10 f ( x ) = x 2 + 8 x + 10

335.

f ( x ) = x 2 + 8 x 16 f ( x ) = x 2 + 8 x 16

336.

f ( x ) = x 2 + 2 x 7 f ( x ) = x 2 + 2 x 7

337.

f ( x ) = x 2 4 x + 2 f ( x ) = x 2 4 x + 2

338.

f ( x ) = x 2 + 4 x 5 f ( x ) = x 2 + 4 x 5

339.

f ( x ) = 5 x 2 10 x + 8 f ( x ) = 5 x 2 10 x + 8

340.

f ( x ) = 3 x 2 + 18 x + 20 f ( x ) = 3 x 2 + 18 x + 20

341.

f ( x ) = 2 x 2 4 x + 1 f ( x ) = 2 x 2 4 x + 1

342.

f ( x ) = 3 x 2 6 x 1 f ( x ) = 3 x 2 6 x 1

343.

f ( x ) = −2 x 2 + 8 x 10 f ( x ) = −2 x 2 + 8 x 10

344.

f ( x ) = −3 x 2 + 6 x + 1 f ( x ) = −3 x 2 + 6 x + 1

In the following exercises, rewrite each function in f(x)=a(xh)2+kf(x)=a(xh)2+k form and graph it using properties.

345.

f ( x ) = 2 x 2 + 4 x + 6 f ( x ) = 2 x 2 + 4 x + 6

346.

f ( x ) = 3 x 2 12 x + 7 f ( x ) = 3 x 2 12 x + 7

347.

f ( x ) = x 2 + 2 x 4 f ( x ) = x 2 + 2 x 4

348.

f ( x ) = −2 x 2 4 x 5 f ( x ) = −2 x 2 4 x 5

Matching

In the following exercises, match the graphs to one of the following functions: f(x)=x2+4f(x)=x2+4 f(x)=x24f(x)=x24 f(x)=(x+4)2f(x)=(x+4)2 f(x)=(x4)2f(x)=(x4)2 f(x)=(x+4)24f(x)=(x+4)24 f(x)=(x+4)2+4f(x)=(x+4)2+4 f(x)=(x4)24f(x)=(x4)24 f(x)=(x4)2+4f(x)=(x4)2+4

349.
This figure shows an upward-opening parabola on the x y-coordinate plane. It has a vertex of (negative 4, 0) and other points (negative 4, 4) and (negative 2, 4).
350.
This figure shows an upward-opening parabola on the x y-coordinate plane. It has a vertex of (0, negative 4) and other points (negative 2, 0) and (2, 0).
351.
This figure shows an upward-opening parabola on the x y-coordinate plane. It has a vertex of (negative 4, negative 4) and other points (negative 4, 0) and (negative 2, 0).
352.
This figure shows an upward-opening parabola on the x y-coordinate plane. It has a vertex of (negative 4, 4) and other points (negative 6, 8) and (negative 2, 8).
353.
This figure shows an upward-opening parabola on the x y-coordinate plane. It has a vertex of (4, 0) and other points (2, 4) and (2, 4).
354.
This figure shows an upward-opening parabola on the x y-coordinate plane. It has a vertex of (0, 4) and other points (negative 2, 8) and (2, 8).
355.
This figure shows an upward-opening parabola on the x y-coordinate plane. It has a vertex of (4, negative 4) and other points (2,0) and (6,0).
356.
This figure shows an upward-opening parabola on the x y-coordinate plane. It has a vertex of (4, 4) and other points (2,8) and (6,8).

Find a Quadratic Function from its Graph

In the following exercises, write the quadratic function in f(x)=a(xh)2+kf(x)=a(xh)2+k form whose graph is shown.

357.
This figure shows an upward-opening parabola on the x y-coordinate plane. It has a vertex of (negative 1, negative 5) and y-intercept (0, negative 4).
358.
This figure shows an upward-opening parabola on the x y-coordinate plane. It has a vertex of (2,4) and y-intercept (0, 8).
359.
This figure shows an upward-opening parabola on the x y-coordinate plane. It has a vertex of (1, negative 3) and y-intercept (0, negative 1).
360.
This figure shows an upward-opening parabola on the x y-coordinate plane. It has a vertex of (negative 1, negative 5) and y-intercept (0, negative 3).

Writing Exercise

361.

Graph the quadratic function f(x)=x2+4x+5f(x)=x2+4x+5 first using the properties as we did in the last section and then graph it using transformations. Which method do you prefer? Why?

362.

Graph the quadratic function f(x)=2x24x3f(x)=2x24x3 first using the properties as we did in the last section and then graph it using transformations. Which method do you prefer? Why?

Self Check

After completing the exercises, use this checklist to evaluate your mastery of the objectives of this section.

This figure is a list to assess your understanding of the concepts presented in this section. It has 4 columns labeled I can…, Confidently, With some help, and No-I don’t get it! Below I can…, there is graph Quadratic Functions of the form f of x equals x squared plus k; graph Quadratic Functions of the form f of x equals the quantity x minus h squared; graph Quadratic functions of the form f of x equals a times x squared; graph Quadratic Functions Using Transformations; find a Quadratic Function from its Graph. The other columns are left blank for you to check you understanding.

After looking at the checklist, do you think you are well-prepared for the next section? Why or why not?

Citation/Attribution

This book may not be used in the training of large language models or otherwise be ingested into large language models or generative AI offerings without OpenStax's permission.

Want to cite, share, or modify this book? This book uses the Creative Commons Attribution License and you must attribute OpenStax.

Attribution information
  • If you are redistributing all or part of this book in a print format, then you must include on every physical page the following attribution:

    Access for free at https://openstax.org/books/intermediate-algebra-2e/pages/1-introduction

  • If you are redistributing all or part of this book in a digital format, then you must include on every digital page view the following attribution:

    Access for free at https://openstax.org/books/intermediate-algebra-2e/pages/1-introduction

Citation information

© Jul 8, 2025 OpenStax. Textbook content produced by OpenStax is licensed under a Creative Commons Attribution License . The OpenStax name, OpenStax logo, OpenStax book covers, OpenStax CNX name, and OpenStax CNX logo are not subject to the Creative Commons license and may not be reproduced without the prior and express written consent of Rice University.