Skip to ContentGo to accessibility pageKeyboard shortcuts menu
OpenStax Logo
Intermediate Algebra 2e

6.3 Factor Special Products

Intermediate Algebra 2e6.3 Factor Special Products
Search for key terms or text.

Learning Objectives

By the end of this section, you will be able to:

  • Factor perfect square trinomials
  • Factor differences of squares
  • Factor sums and differences of cubes

Be Prepared 6.7

Before you get started, take this readiness quiz.

Simplify: (3x2)3.(3x2)3.
If you missed this problem, review Example 5.18.

Be Prepared 6.8

Multiply: (m+4)2.(m+4)2.
If you missed this problem, review Example 5.32.

Be Prepared 6.9

Multiply: (x3)(x+3).(x3)(x+3).
If you missed this problem, review Example 5.33.

We have seen that some binomials and trinomials result from special products—squaring binomials and multiplying conjugates. If you learn to recognize these kinds of polynomials, you can use the special products patterns to factor them much more quickly.

Factor Perfect Square Trinomials

Some trinomials are perfect squares. They result from multiplying a binomial times itself. We squared a binomial using the Binomial Squares pattern in a previous chapter.

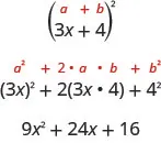
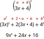
In open parentheses 3x plus 4 close parentheses squared, 3x is a and 4 is b. Writing it as a squared plus 2ab plus b squared, we get open parentheses 3x close parentheses squared plus 2 times 3x times 4 plus 4 squared. This is equal to 9 x squared plus 24x plus 16.

The trinomial 9x2+24x+169x2+24x+16 is called a perfect square trinomial. It is the square of the binomial 3x+4.3x+4.

In this chapter, you will start with a perfect square trinomial and factor it into its prime factors.

You could factor this trinomial using the methods described in the last section, since it is of the form ax2+bx+c.ax2+bx+c. But if you recognize that the first and last terms are squares and the trinomial fits the perfect square trinomials pattern, you will save yourself a lot of work.

Here is the pattern—the reverse of the binomial squares pattern.

Perfect Square Trinomials Pattern

If a and b are real numbers

a2+2ab+b2=(a+b)2a22ab+b2=(ab)2a2+2ab+b2=(a+b)2a22ab+b2=(ab)2

To make use of this pattern, you have to recognize that a given trinomial fits it. Check first to see if the leading coefficient is a perfect square, a2.a2. Next check that the last term is a perfect square, b2.b2. Then check the middle term—is it the product, 2ab?2ab? If everything checks, you can easily write the factors.

Example 6.23

How to Factor Perfect Square Trinomials

Factor: 9x2+12x+4.9x2+12x+4.

Try It 6.45

Factor: 4x2+12x+9.4x2+12x+9.

Try It 6.46

Factor: 9y2+24y+16.9y2+24y+16.

The sign of the middle term determines which pattern we will use. When the middle term is negative, we use the pattern a22ab+b2,a22ab+b2, which factors to (ab)2.(ab)2.

The steps are summarized here.

How To

Factor perfect square trinomials.

Step 1.Does the trinomial fit the pattern?a2+2ab+b2a22ab+b2 Is the first term a perfect square?(a)2(a)2 Write it as a square. Is the last term a perfect square?(a)2(b)2(a)2(b)2 Write it as a square. Check the middle term. Is it2ab?(a)22·a·b(b)2(a)22·a·b(b)2 Step 2.Write the square of the binomial.(a+b)2(ab)2 Step 3.Check by multiplying.Step 1.Does the trinomial fit the pattern?a2+2ab+b2a22ab+b2 Is the first term a perfect square?(a)2(a)2 Write it as a square. Is the last term a perfect square?(a)2(b)2(a)2(b)2 Write it as a square. Check the middle term. Is it2ab?(a)22·a·b(b)2(a)22·a·b(b)2 Step 2.Write the square of the binomial.(a+b)2(ab)2 Step 3.Check by multiplying.

We’ll work one now where the middle term is negative.

Example 6.24

Factor: 81y272y+16.81y272y+16.

Try It 6.47

Factor: 64y280y+25.64y280y+25.

Try It 6.48

Factor: 16z272z+81.16z272z+81.

The next example will be a perfect square trinomial with two variables.

Example 6.25

Factor: 36x2+84xy+49y2.36x2+84xy+49y2.

Try It 6.49

Factor: 49x2+84xy+36y2.49x2+84xy+36y2.

Try It 6.50

Factor: 64m2+112mn+49n2.64m2+112mn+49n2.

Remember the first step in factoring is to look for a greatest common factor. Perfect square trinomials may have a GCF in all three terms and it should be factored out first. And, sometimes, once the GCF has been factored, you will recognize a perfect square trinomial.

Example 6.26

Factor: 100x2y80xy+16y.100x2y80xy+16y.

Try It 6.51

Factor: 8x2y24xy+18y.8x2y24xy+18y.

Try It 6.52

Factor: 27p2q+90pq+75q.27p2q+90pq+75q.

Factor Differences of Squares

The other special product you saw in the previous chapter was the Product of Conjugates pattern. You used this to multiply two binomials that were conjugates. Here’s an example:

We have open parentheses 3x minus 4 close parentheses open parentheses 3x plus 4. This is of the form a minus b, a plus b. We rewrite as open parentheses 3x close parentheses squared minus 4 squared. Here, 3x is a and 4 is b. This is equal to 9 x squared minus 16.

A difference of squares factors to a product of conjugates.

Difference of Squares Pattern

If a and b are real numbers,

a squared minus b squared equals a minus b, a plus b. Here, a squared minus b squared is difference of squares and a minus b, a plus b are conjugates.

Remember, “difference” refers to subtraction. So, to use this pattern you must make sure you have a binomial in which two squares are being subtracted.

Example 6.27

How to Factor a Binomial Using the Difference of Squares

Factor: 64y21.64y21.

Try It 6.53

Factor: 121m21.121m21.

Try It 6.54

Factor: 81y21.81y21.

How To

Factor differences of squares.

Step 1.Does the binomial fit the pattern?a2b2Is this a difference?________Are the first and last terms perfect squares?Step 2.Write them as squares.(a)2(b)2Step 3.Write the product of conjugates.(ab)(a+b)Step 4.Check by multiplying.Step 1.Does the binomial fit the pattern?a2b2Is this a difference?________Are the first and last terms perfect squares?Step 2.Write them as squares.(a)2(b)2Step 3.Write the product of conjugates.(ab)(a+b)Step 4.Check by multiplying.

It is important to remember that sums of squares do not factor into a product of binomials. There are no binomial factors that multiply together to get a sum of squares. After removing any GCF, the expression a2+b2a2+b2 is prime!

The next example shows variables in both terms.

Example 6.28

Factor: 144x249y2.144x249y2.

Try It 6.55

Factor: 196m225n2.196m225n2.

Try It 6.56

Factor: 121p29q2.121p29q2.

As always, you should look for a common factor first whenever you have an expression to factor. Sometimes a common factor may “disguise” the difference of squares and you won’t recognize the perfect squares until you factor the GCF.

Also, to completely factor the binomial in the next example, we’ll factor a difference of squares twice!

Example 6.29

Factor: 48x4y2243y2.48x4y2243y2.

Try It 6.57

Factor: 2x4y232y2.2x4y232y2.

Try It 6.58

Factor: 7a4c27b4c2.7a4c27b4c2.

The next example has a polynomial with 4 terms. So far, when this occurred we grouped the terms in twos and factored from there. Here we will notice that the first three terms form a perfect square trinomial.

Example 6.30

Factor: x26x+9y2.x26x+9y2.

Try It 6.59

Factor: x210x+25y2.x210x+25y2.

Try It 6.60

Factor: x2+6x+94y2.x2+6x+94y2.

Factor Sums and Differences of Cubes

There is another special pattern for factoring, one that we did not use when we multiplied polynomials. This is the pattern for the sum and difference of cubes. We will write these formulas first and then check them by multiplication.

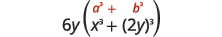
a3+b3=(a+b)(a2ab+b2)a3b3=(ab)(a2+ab+b2)a3+b3=(a+b)(a2ab+b2)a3b3=(ab)(a2+ab+b2)

We’ll check the first pattern and leave the second to you.

.
Distribute. .
Multiply. .
Combine like terms. .

Sum and Difference of Cubes Pattern

a3+b3=(a+b)(a2ab+b2)a3b3=(ab)(a2+ab+b2)a3+b3=(a+b)(a2ab+b2)a3b3=(ab)(a2+ab+b2)

The two patterns look very similar, don’t they? But notice the signs in the factors. The sign of the binomial factor matches the sign in the original binomial. And the sign of the middle term of the trinomial factor is the opposite of the sign in the original binomial. If you recognize the pattern of the signs, it may help you memorize the patterns.

a cubed plus b cubed is open parentheses a plus b close parentheses open parentheses a squared minus ab plus b squared close parentheses. a cubed minus b cubed is open parentheses a minus close parentheses open parentheses a squared plus ab plus b squared close parentheses. In both cases, the sign of the first term on the right side of the equation is the same as the sign on the left side of the equation and the sign of the second term is the opposite of the sign on the left side.

The trinomial factor in the sum and difference of cubes pattern cannot be factored.

It will be very helpful if you learn to recognize the cubes of the integers from 1 to 10, just like you have learned to recognize squares. We have listed the cubes of the integers from 1 to 10 in Table 6.1.

n 1 2 3 4 5 6 7 8 9 10
n3n3 1 8 27 64 125 216 343 512 729 1000
Table 6.1

Example 6.31

How to Factor the Sum or Difference of Cubes

Factor: x3+64.x3+64.

Try It 6.61

Factor: x3+27.x3+27.

Try It 6.62

Factor: y3+8.y3+8.

How To

Factor the sum or difference of cubes.

  1. Step 1. Does the binomial fit the sum or difference of cubes pattern?
    Is it a sum or difference?
    Are the first and last terms perfect cubes?
  2. Step 2. Write them as cubes.
  3. Step 3. Use either the sum or difference of cubes pattern.
  4. Step 4. Simplify inside the parentheses.
  5. Step 5. Check by multiplying the factors.

Example 6.32

Factor: 27u3125v3.27u3125v3.

Try It 6.63

Factor: 8x327y3.8x327y3.

Try It 6.64

Factor: 1000m3125n3.1000m3125n3.

In the next example, we first factor out the GCF. Then we can recognize the sum of cubes.

Example 6.33

Factor: 6x3y+48y4.6x3y+48y4.

Try It 6.65

Factor: 500p3+4q3.500p3+4q3.

Try It 6.66

Factor: 432c3+686d3.432c3+686d3.

The first term in the next example is a binomial cubed.

Example 6.34

Factor: (x+5)364x3.(x+5)364x3.

Try It 6.67

Factor: (y+1)327y3.(y+1)327y3.

Try It 6.68

Factor: (n+3)3125n3.(n+3)3125n3.

Media

Access this online resource for additional instruction and practice with factoring special products.

Section 6.3 Exercises

Practice Makes Perfect

Factor Perfect Square Trinomials

In the following exercises, factor completely using the perfect square trinomials pattern.

159.

16 y 2 + 24 y + 9 16 y 2 + 24 y + 9

160.

25 v 2 + 20 v + 4 25 v 2 + 20 v + 4

161.

36 s 2 + 84 s + 49 36 s 2 + 84 s + 49

162.

49 s 2 + 154 s + 121 49 s 2 + 154 s + 121

163.

100 x 2 20 x + 1 100 x 2 20 x + 1

164.

64 z 2 16 z + 1 64 z 2 16 z + 1

165.

25 n 2 120 n + 144 25 n 2 120 n + 144

166.

4 p 2 52 p + 169 4 p 2 52 p + 169

167.

49 x 2 + 28 x y + 4 y 2 49 x 2 + 28 x y + 4 y 2

168.

25 r 2 + 60 r s + 36 s 2 25 r 2 + 60 r s + 36 s 2

169.

100 y 2 20 y + 1 100 y 2 20 y + 1

170.

64 m 2 16 m + 1 64 m 2 16 m + 1

171.

10 j k 2 + 80 j k + 160 j 10 j k 2 + 80 j k + 160 j

172.

64 x 2 y 96 x y + 36 y 64 x 2 y 96 x y + 36 y

173.

75 u 4 30 u 3 v + 3 u 2 v 2 75 u 4 30 u 3 v + 3 u 2 v 2

174.

90 p 4 + 300 p 3 q + 250 p 2 q 2 90 p 4 + 300 p 3 q + 250 p 2 q 2

Factor Differences of Squares

In the following exercises, factor completely using the difference of squares pattern, if possible.

175.

25 v 2 1 25 v 2 1

176.

169 q 2 1 169 q 2 1

177.

4 49 x 2 4 49 x 2

178.

121 25 s 2 121 25 s 2

179.

6 p 2 q 2 54 p 2 6 p 2 q 2 54 p 2

180.

98 r 3 72 r 98 r 3 72 r

181.

24 p 2 + 54 24 p 2 + 54

182.

20 b 2 + 140 20 b 2 + 140

183.

121 x 2 144 y 2 121 x 2 144 y 2

184.

49 x 2 81 y 2 49 x 2 81 y 2

185.

169 c 2 36 d 2 169 c 2 36 d 2

186.

36 p 2 49 q 2 36 p 2 49 q 2

187.

16 z 4 1 16 z 4 1

188.

m 4 n 4 m 4 n 4

189.

162 a 4 b 2 32 b 2 162 a 4 b 2 32 b 2

190.

48 m 4 n 2 243 n 2 48 m 4 n 2 243 n 2

191.

x 2 16 x + 64 y 2 x 2 16 x + 64 y 2

192.

p 2 + 14 p + 49 q 2 p 2 + 14 p + 49 q 2

193.

a 2 + 6 a + 9 9 b 2 a 2 + 6 a + 9 9 b 2

194.

m 2 6 m + 9 16 n 2 m 2 6 m + 9 16 n 2

Factor Sums and Differences of Cubes

In the following exercises, factor completely using the sums and differences of cubes pattern, if possible.

195.

x 3 + 125 x 3 + 125

196.

n 6 + 512 n 6 + 512

197.

z 6 27 z 6 27

198.

v 3 216 v 3 216

199.

8 343 t 3 8 343 t 3

200.

125 27 w 3 125 27 w 3

201.

8 y 3 125 z 3 8 y 3 125 z 3

202.

27 x 3 64 y 3 27 x 3 64 y 3

203.

216 a 3 + 125 b 3 216 a 3 + 125 b 3

204.

27 y 3 + 8 z 3 27 y 3 + 8 z 3

205.

7 k 3 + 56 7 k 3 + 56

206.

6 x 3 48 y 3 6 x 3 48 y 3

207.

2 x 2 16 x 2 y 3 2 x 2 16 x 2 y 3

208.

−2 x 3 y 2 16 y 5 −2 x 3 y 2 16 y 5

209.

( x + 3 ) 3 + 8 x 3 ( x + 3 ) 3 + 8 x 3

210.

( x + 4 ) 3 27 x 3 ( x + 4 ) 3 27 x 3

211.

( y 5 ) 3 64 y 3 ( y 5 ) 3 64 y 3

212.

( y 5 ) 3 + 125 y 3 ( y 5 ) 3 + 125 y 3

Mixed Practice

In the following exercises, factor completely.

213.

64 a 2 25 64 a 2 25

214.

121 x 2 144 121 x 2 144

215.

27 q 2 3 27 q 2 3

216.

4 p 2 100 4 p 2 100

217.

16 x 2 72 x + 81 16 x 2 72 x + 81

218.

36 y 2 + 12 y + 1 36 y 2 + 12 y + 1

219.

8 p 2 + 2 8 p 2 + 2

220.

81 x 2 + 169 81 x 2 + 169

221.

125 8 y 3 125 8 y 3

222.

27 u 3 + 1000 27 u 3 + 1000

223.

45 n 2 + 60 n + 20 45 n 2 + 60 n + 20

224.

48 q 3 24 q 2 + 3 q 48 q 3 24 q 2 + 3 q

225.

x 2 10 x + 25 y 2 x 2 10 x + 25 y 2

226.

x 2 + 12 x + 36 y 2 x 2 + 12 x + 36 y 2

227.

( x + 1 ) 3 + 8 x 3 ( x + 1 ) 3 + 8 x 3

228.

( y 3 ) 3 64 y 3 ( y 3 ) 3 64 y 3

Writing Exercises

229.

Why was it important to practice using the binomial squares pattern in the chapter on multiplying polynomials?

230.

How do you recognize the binomial squares pattern?

231.

Explain why n2+25(n+5)2.n2+25(n+5)2. Use algebra, words, or pictures.

232.

Maribel factored y230y+81y230y+81 as (y9)2.(y9)2. Was she right or wrong? How do you know?

Self Check

After completing the exercises, use this checklist to evaluate your mastery of the objectives of this section.

This table has 4 columns 3 rows and a header row. The header row labels each column I can, confidently, with some help and no, I don’t get it. The first column has the following statements: factor perfect square trinomials, factor differences of squares, factor sums and differences of cubes. The remaining columns are blank.

What does this checklist tell you about your mastery of this section? What steps will you take to improve?

Citation/Attribution

This book may not be used in the training of large language models or otherwise be ingested into large language models or generative AI offerings without OpenStax's permission.

Want to cite, share, or modify this book? This book uses the Creative Commons Attribution License and you must attribute OpenStax.

Attribution information
  • If you are redistributing all or part of this book in a print format, then you must include on every physical page the following attribution:

    Access for free at https://openstax.org/books/intermediate-algebra-2e/pages/1-introduction

  • If you are redistributing all or part of this book in a digital format, then you must include on every digital page view the following attribution:

    Access for free at https://openstax.org/books/intermediate-algebra-2e/pages/1-introduction

Citation information

© Jul 8, 2025 OpenStax. Textbook content produced by OpenStax is licensed under a Creative Commons Attribution License . The OpenStax name, OpenStax logo, OpenStax book covers, OpenStax CNX name, and OpenStax CNX logo are not subject to the Creative Commons license and may not be reproduced without the prior and express written consent of Rice University.