Skip to ContentGo to accessibility pageKeyboard shortcuts menu
OpenStax Logo
Intermediate Algebra 2e

9.6 Graph Quadratic Functions Using Properties

Intermediate Algebra 2e9.6 Graph Quadratic Functions Using Properties
Search for key terms or text.

Learning Objectives

By the end of this section, you will be able to:

  • Recognize the graph of a quadratic function
  • Find the axis of symmetry and vertex of a parabola
  • Find the intercepts of a parabola
  • Graph quadratic functions using properties
  • Solve maximum and minimum applications

Be Prepared 9.16

Before you get started, take this readiness quiz.

Graph the function f(x)=x2f(x)=x2 by plotting points.
If you missed this problem, review Example 3.54.

Be Prepared 9.17

Solve: 2x2+3x2=0.2x2+3x2=0.
If you missed this problem, review Example 6.45.

Be Prepared 9.18

Evaluate b2ab2a when a = 3 and b = −6.
If you missed this problem, review Example 1.21.

Recognize the Graph of a Quadratic Function

Previously we very briefly looked at the function f(x)=x2f(x)=x2, which we called the square function. It was one of the first non-linear functions we looked at. Now we will graph functions of the form f(x)=ax2+bx+cf(x)=ax2+bx+c if a0.a0. We call this kind of function a quadratic function.

Quadratic Function

A quadratic function, where a, b, and c are real numbers and a0,a0, is a function of the form

f(x)=ax2+bx+cf(x)=ax2+bx+c

We graphed the quadratic function f(x)=x2f(x)=x2 by plotting points.

This figure shows an upward-opening parabola graphed on the x y-coordinate plane. The x-axis of the plane runs from negative 4 to 4. The y-axis of the plane runs from negative 2 to 6. The parabola has a vertex at (0, 0) and also passes through the points (-2, 4), (-1, 1), (1, 1), and (2, 4). To the right of the graph is a table of values with 3 columns. The first row is a header row and labels each column, “x”, “f of x equals x squared”, and “the order pair x, f of x.” In row 2, x equals negative 3, f of x equals x squared is 9 and the ordered pair x, f of x is the ordered pair negative 3, 9. In row 3, x equals negative 2, f of x equals x squared is 4 and the ordered pair x, f of x is the ordered pair negative 2, 4. In row 4, x equals negative 1, f of x equals x squared is 1 and the ordered pair x, f of x is the ordered pair negative 1, 1. In row 5, x equals 0, f of x equals x squared is 0 and the ordered pair x, f of x is the ordered pair 0, 0. In row 6, x equals 1, f of x equals x squared is 1 and the ordered pair x, f of x is the ordered pair 1, 1. In row 7, x equals 2, f of x equals x squared is 4 and the ordered pair x, f of x is the ordered pair 2, 4. In row 8, x equals 3, f of x equals x squared is 9 and the ordered pair x, f of x is the ordered pair 3, 9.

Every quadratic function has a graph that looks like this. We call this figure a parabola.

Let’s practice graphing a parabola by plotting a few points.

Example 9.42

Graph f(x)=x21.f(x)=x21.

Try It 9.83

Graph f(x)=x2.f(x)=x2..

Try It 9.84

Graph f(x)=x2+1.f(x)=x2+1.

All graphs of quadratic functions of the form f (x) = ax2 + bx + c are parabolas that open upward or downward. See Figure 9.2.

This image shows 2 graphs side-by-side. The graph on the left shows an upward-opening parabola graphed on the x y-coordinate plane. The x-axis of the plane runs from negative 10 to 10. The y-axis of the plane runs from negative 10 to 10. The parabola has a vertex at (negative 2, negative 1) and passes through the points (negative 4, 3) and (0, 3). The general form for the equation of this graph is f of x equals a x squared plus b x plus c. The equation of this parabola is x squared plus 4 x plus 3. The leading coefficient, a, is greater than 0, so this parabola opens upward.The graph on the right shows an downward-opening parabola graphed on the x y-coordinate plane. The x-axis of the plane runs from negative 10 to 10. The y-axis of the plane runs from negative 10 to 10. The parabola has a vertex at (2, 7) and passes through the points (0, 3) and (4, 3). The general form for the equation of this graph is f of x equals a x squared plus b x plus c. The equation of this parabola is negative x squared plus 4 x plus 3. The leading coefficient, a, is less than 0, so this parabola opens downward.
Figure 9.2

Notice that the only difference in the two functions is the negative sign before the quadratic term (x2 in the equation of the graph in Figure 9.2). When the quadratic term, is positive, the parabola opens upward, and when the quadratic term is negative, the parabola opens downward.

Parabola Orientation

For the graph of the quadratic function f (x) = ax2 + bx + c, if

This images shows a bulleted list. The first bullet notes that, if a is greater than 0, then the parabola opens upward and shows an image of an upward-opening parabola. The second bullet notes that, if a is less than 0, then the parabola opens downward and shows an image of a downward-opening parabola.

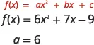
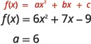
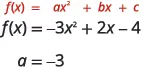
Example 9.43

Determine whether each parabola opens upward or downward:

f(x)=−3x2+2x4f(x)=−3x2+2x4 f(x)=6x2+7x9.f(x)=6x2+7x9.

Try It 9.85

Determine whether the graph of each function is a parabola that opens upward or downward:

f(x)=2x2+5x2f(x)=2x2+5x2 f(x)=−3x24x+7.f(x)=−3x24x+7.

Try It 9.86

Determine whether the graph of each function is a parabola that opens upward or downward:

f(x)=−2x22x3f(x)=−2x22x3 f(x)=5x22x1.f(x)=5x22x1.

Find the Axis of Symmetry and Vertex of a Parabola

Look again at Figure 9.2. Do you see that we could fold each parabola in half and then one side would lie on top of the other? The ‘fold line’ is a line of symmetry. We call it the axis of symmetry of the parabola.

We show the same two graphs again with the axis of symmetry. See Figure 9.3.

This image shows 2 graphs side-by-side. The graph on the left shows an upward-opening parabola and a dashed vertical line graphed on the x y-coordinate plane. The x-axis of the plane runs from negative 10 to 10. The y-axis of the plane runs from negative 10 to 10. The parabola has a vertex at (negative 2, negative 1) and passes through the points (negative 4, 3) and (0, 3). The equation of this parabola is x squared plus 4 x plus 3. The vertical line passes through the point (negative 2, 0) and has the equation x equals negative 2. The graph on the right shows an downward-opening parabola and a dashed vertical line graphed on the x y-coordinate plane. The x-axis of the plane runs from negative 10 to 10. The y-axis of the plane runs from negative 10 to 10. The parabola has a vertex at (2, 7) and passes through the points (0, 3) and (4, 3). The equation of this parabola is negative x squared plus 4 x plus 3. The vertical line passes through the point (2, 0) and has the equation x equals 2.
Figure 9.3

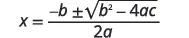
The equation of the axis of symmetry can be derived by using the Quadratic Formula. We will omit the derivation here and proceed directly to using the result. The equation of the axis of symmetry of the graph of f (x) = ax2 + bx + c is x=b2a.x=b2a.

So to find the equation of symmetry of each of the parabolas we graphed above, we will substitute into the formula x=b2a.x=b2a.

Compare the function f of x equals x squared plus 4 x plus 3 to the standard form of a quadratic function, f of x equals a x squared plus b x plus c. The axis of symmetry is the line x equals negative b divided by the product 2 a. Substituting for b and a yields x equals negative 4 divided by the product 2 times 1. The axis of symmetry equals negative 2. Next, compare the function f of x equals negative x squared plus 4 x plus 3 to the standard form of a quadratic function, f of x equals a x squared plus b x plus c. The axis of symmetry is the line x equals negative b divided by the product 2 a. Substituting for b and a yields x equals negative 4 divided by the product 2 times negative 1. The axis of symmetry equals 2.

Notice that these are the equations of the dashed blue lines on the graphs.

The point on the parabola that is the lowest (parabola opens up), or the highest (parabola opens down), lies on the axis of symmetry. This point is called the vertex of the parabola.

We can easily find the coordinates of the vertex, because we know it is on the axis of symmetry. This means its
x-coordinate is b2a.b2a. To find the y-coordinate of the vertex we substitute the value of the x-coordinate into the quadratic function.

For the function f of x equals x squared plus 4 x plus 3, the axis of symmetry is x equals negative 2. The vertex is the point on the parabola with x-coordinate negative 2. Substitute x equals negative 2 into the function f of x equals x squared plus 4 x plus 3. F of x equals the square of negative 2 plus 4 times negative 2 plus 3, so f of x equals negative 1. The vertex is the point (negative 2, negative 1). For the function f of x equals negative x squared plus 4 x plus 3, the axis of symmetry is x equals 2. The vertex is the point on the parabola with x-coordinate 2. Substitute x equals 2 into the function f of x equals x squared plus 4 x plus 3. F of x equals 2 squared plus 4 times 2 plus 3, so f of x equals 7. The vertex is the point (2, 7).

Axis of Symmetry and Vertex of a Parabola

The graph of the function f (x) = ax2 + bx + c is a parabola where:

  • the axis of symmetry is the vertical line x=b2a.x=b2a.
  • the vertex is a point on the axis of symmetry, so its x-coordinate is b2a.b2a.
  • the y-coordinate of the vertex is found by substituting x=b2ax=b2a into the quadratic equation.

Example 9.44

For the graph of f(x)=3x26x+2f(x)=3x26x+2 find:

the axis of symmetry the vertex.

Try It 9.87

For the graph of f(x)=2x28x+1f(x)=2x28x+1 find:

the axis of symmetry the vertex.

Try It 9.88

For the graph of f(x)=2x24x3f(x)=2x24x3 find:

the axis of symmetry the vertex.

Find the Intercepts of a Parabola

When we graphed linear equations, we often used the x- and y-intercepts to help us graph the lines. Finding the coordinates of the intercepts will help us to graph parabolas, too.

Remember, at the y-intercept the value of x is zero. So to find the y-intercept, we substitute x = 0 into the function.

Let’s find the y-intercepts of the two parabolas shown in Figure 9.4.

This image shows 2 graphs side-by-side. The graph on the left shows an upward-opening parabola and a dashed vertical line graphed on the x y-coordinate plane. The x-axis of the plane runs from negative 10 to 10. The y-axis of the plane runs from negative 10 to 10. The parabola has a vertex at (negative 2, negative 1) and passes through the points (negative 4, 3) and (0, 3). The vertical line is an axis of symmetry for the parabola, and passes through the point (negative 2, 0). It has the equation x equals negative 2. The equation of this parabola is x squared plus 4 x plus 3. When x equals 0, f of 0 equals 0 squared plus 4 times 0 plus 3. F of 0 equals 3. The y-intercept of the graph is the point (0, 3). The graph on the right shows an downward-opening parabola and a dashed vertical line graphed on the x y-coordinate plane. The x-axis of the plane runs from negative 10 to 10. The y-axis of the plane runs from negative 10 to 10. The parabola has a vertex at (2, 7) and passes through the points (0, 3) and (4, 3). The vertical line is an axis of symmetry for the parabola and passes through the point (2, 0). It has the equation x equals 2. The equation of this parabola is negative x squared plus 4 x plus 3. When x equals 0, f of 0 equals negative 0 squared plus 4 times 0 plus 3. F of 0 equals 3. The y-intercept of the graph is the point (0, 3).
Figure 9.4

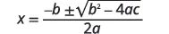
An x-intercept results when the value of f (x) is zero. To find an x-intercept, we let f (x) = 0. In other words, we will need to solve the equation 0 = ax2 + bx + c for x.

f(x)=ax2+bx+c0=ax2+bx+cf(x)=ax2+bx+c0=ax2+bx+c

Solving quadratic equations like this is exactly what we have done earlier in this chapter!

We can now find the x-intercepts of the two parabolas we looked at. First we will find the x-intercepts of the parabola whose function is f (x) = x2 + 4x + 3.

.
Let f(x)=0f(x)=0. .
Factor. .
Use the Zero Product Property. .
Solve. .
The x-intercepts are (−1,0)(−1,0) and (−3,0)(−3,0).

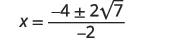
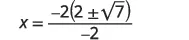
Now we will find the x-intercepts of the parabola whose function is f (x) = −x2 + 4x + 3.

.
Let f(x)=0f(x)=0. .
This quadratic does not factor, so
we use the Quadratic Formula.
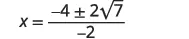
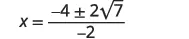
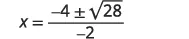
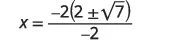
.
a=−1,b=4,c=3a=−1,b=4,c=3 .
Simplify. .
.
.
.
The x-intercepts are (2+7,0)(2+7,0) and
(27,0)(27,0).

We will use the decimal approximations of the x-intercepts, so that we can locate these points on the graph,

(2+7,0)(4.6,0)(27,0)(−0.6,0)(2+7,0)(4.6,0)(27,0)(−0.6,0)

Do these results agree with our graphs? See Figure 9.5.

This image shows 2 graphs side-by-side. The graph on the left shows the upward-opening parabola defined by the function f of x equals x squared plus 4 x plus 3 and a dashed vertical line, x equals negative 2, graphed on the x y-coordinate plane. The x-axis of the plane runs from negative 10 to 10. The y-axis of the plane runs from negative 10 to 10. The parabola has a vertex at (negative 2, negative 1). The y-intercept is (0, 3) and the x-intercepts are (negative 1, 0) and (negative 3, 0). The graph on the right shows the downward-opening parabola defined by the function f of x equals negative x squared plus 4 x plus 3 and a dashed vertical line, x equals 2, graphed on the x y-coordinate plane. The x-axis of the plane runs from negative 10 to 10. The y-axis of the plane runs from negative 10 to 10. The parabola has a vertex at (2, 7). The y-intercept is (0, 3) and the x-intercepts are (2 plus square root 7, 0), approximately (4.6, 0) and (2 minus square root, 0), approximately (negative 0.6, 0).
Figure 9.5

Find the Intercepts of a Parabola

To find the intercepts of a parabola whose function is f(x)=ax2+bx+c:f(x)=ax2+bx+c:

y-interceptx-interceptsLetx=0and solve forf(x).Letf(x)=0and solve forx.y-interceptx-interceptsLetx=0and solve forf(x).Letf(x)=0and solve forx.

Example 9.45

Find the intercepts of the parabola whose function is f(x)=x22x8.f(x)=x22x8.

Try It 9.89

Find the intercepts of the parabola whose function is f(x)=x2+2x8.f(x)=x2+2x8.

Try It 9.90

Find the intercepts of the parabola whose function is f(x)=x24x12.f(x)=x24x12.

In this chapter, we have been solving quadratic equations of the form ax2 + bx + c = 0. We solved for x and the results were the solutions to the equation.

We are now looking at quadratic functions of the form f (x) = ax2 + bx + c. The graphs of these functions are parabolas. The x-intercepts of the parabolas occur where f (x) = 0.

For example:

Quadratic equationQuadratic function x22x15=0(x5)(x+3)=0x5=0x+3=0x=5x=−3Letf(x)=0.f(x)=x22x150=x22x150=(x5)(x+3)x5=0x+3=0x=5x=−3(5,0)and(−3,0)x-interceptsQuadratic equationQuadratic function x22x15=0(x5)(x+3)=0x5=0x+3=0x=5x=−3Letf(x)=0.f(x)=x22x150=x22x150=(x5)(x+3)x5=0x+3=0x=5x=−3(5,0)and(−3,0)x-intercepts

The solutions of the quadratic function are the x values of the x-intercepts.

Earlier, we saw that quadratic equations have 2, 1, or 0 solutions. The graphs below show examples of parabolas for these three cases. Since the solutions of the functions give the x-intercepts of the graphs, the number of x-intercepts is the same as the number of solutions.

Previously, we used the discriminant to determine the number of solutions of a quadratic function of the form ax2+bx+c=0.ax2+bx+c=0. Now we can use the discriminant to tell us how many x-intercepts there are on the graph.

This image shows three graphs side-by-side. The graph on the left shows an upward-opening parabola graphed on the x y-coordinate plane. The vertex of the parabola lies below the x-axis and the parabola crosses the x-axis at two different points. If b squared minus 4 a c is greater than 0, then the quadratic equation a x squared plus b x plus c equals 0 has two solutions, and the graph of the parabola has 2 x-intercepts. The graph in the middle shows a downward-opening parabola graphed on the x y-coordinate plane. The vertex of the parabola lies on the x-axis, the only point of intersection between the parabola and the x-axis. If b squared minus 4 a c equals 0, then the quadratic equation a x squared plus b x plus c equals 0 has one solution, and the graph of the parabola has 1 x-intercept. The graph on the right shows an upward-opening parabola graphed on the x y-coordinate plane. The vertex of the parabola lies above the x-axis and the parabola does not cross the x-axis. If b squared minus 4 a c is less than 0, then the quadratic equation a x squared plus b x plus c equals 0 has no solutions, and the graph of the parabola has no x-intercepts.

Before you to find the values of the x-intercepts, you may want to evaluate the discriminant so you know how many solutions to expect.

Example 9.46

Find the intercepts of the parabola for the function f(x)=5x2+x+4.f(x)=5x2+x+4.

Try It 9.91

Find the intercepts of the parabola whose function is f(x)=3x2+4x+4.f(x)=3x2+4x+4.

Try It 9.92

Find the intercepts of the parabola whose function is f(x)=x24x5.f(x)=x24x5.

Graph Quadratic Functions Using Properties

Now we have all the pieces we need in order to graph a quadratic function. We just need to put them together. In the next example we will see how to do this.

Example 9.47

How to Graph a Quadratic Function Using Properties

Graph f (x) = x2 −6x + 8 by using its properties.

Try It 9.93

Graph f (x) = x2 + 2x − 8 by using its properties.

Try It 9.94

Graph f (x) = x2 − 8x + 12 by using its properties.

We list the steps to take in order to graph a quadratic function here.

How To

To graph a quadratic function using properties.

  1. Step 1. Determine whether the parabola opens upward or downward.
  2. Step 2. Find the equation of the axis of symmetry.
  3. Step 3. Find the vertex.
  4. Step 4. Find the y-intercept. Find the point symmetric to the y-intercept across the axis of symmetry.
  5. Step 5. Find the x-intercepts. Find additional points if needed.
  6. Step 6. Graph the parabola.

We were able to find the x-intercepts in the last example by factoring. We find the x-intercepts in the next example by factoring, too.

Example 9.48

Graph f (x) = –x2 + 6x − 9 by using its properties.

Try It 9.95

Graph f (x) = −3x2 + 12x − 12 by using its properties.

Try It 9.96

Graph f (x) = 4x2 + 24x + 36 by using its properties.

For the graph of f (x) = −x2 + 6x − 9, the vertex and the x-intercept were the same point. Remember how the discriminant determines the number of solutions of a quadratic equation? The discriminant of the equation 0 = −x2 + 6x − 9 is 0, so there is only one solution. That means there is only one x-intercept, and it is the vertex of the parabola.

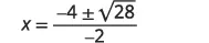
How many x-intercepts would you expect to see on the graph of f (x) = x2 + 4x + 5?

Example 9.49

Graph f (x) = x2 + 4x + 5 by using its properties.

Try It 9.97

Graph f (x) = x2 − 2x + 3 by using its properties.

Try It 9.98

Graph f (x) = −3x2 − 6x − 4 by using its properties.

Finding the y-intercept by finding f (0) is easy, isn’t it? Sometimes we need to use the Quadratic Formula to find the x-intercepts.

Example 9.50

Graph f (x) = 2x2 − 4x − 3 by using its properties.

Try It 9.99

Graph f (x) = 5x2 + 10x + 3 by using its properties.

Try It 9.100

Graph f (x) = −3x2 − 6x + 5 by using its properties.

Solve Maximum and Minimum Applications

Knowing that the vertex of a parabola is the lowest or highest point of the parabola gives us an easy way to determine the minimum or maximum value of a quadratic function. The y-coordinate of the vertex is the minimum value of a parabola that opens upward. It is the maximum value of a parabola that opens downward. See Figure 9.6.

This figure shows 2 graphs side-by-side. The left graph shows a downward opening parabola plotted in the x y-plane. An arrow points to the vertex with the label maximum. The right graph shows an upward opening parabola plotted in the x y-plane. An arrow points to the vertex with the label minimum.
Figure 9.6

Minimum or Maximum Values of a Quadratic Function

The y-coordinate of the vertex of the graph of a quadratic function is the

  • minimum value of the quadratic equation if the parabola opens upward.
  • maximum value of the quadratic equation if the parabola opens downward.

Example 9.51

Find the minimum or maximum value of the quadratic function f(x)=x2+2x8.f(x)=x2+2x8.

Try It 9.101

Find the maximum or minimum value of the quadratic function f(x)=x28x+12.f(x)=x28x+12.

Try It 9.102

Find the maximum or minimum value of the quadratic function f(x)=−4x2+16x11.f(x)=−4x2+16x11.

We have used the formula

h(t)=−16t2+v0t+h0h(t)=−16t2+v0t+h0

to calculate the height in feet, h , of an object shot upwards into the air with initial velocity, v0, after t seconds .

This formula is a quadratic function, so its graph is a parabola. By solving for the coordinates of the vertex (t, h), we can find how long it will take the object to reach its maximum height. Then we can calculate the maximum height.

Example 9.52

The quadratic equation h(t) = −16t2 + 176t + 4 models the height of a volleyball hit straight upwards with velocity 176 feet per second from a height of 4 feet.

How many seconds will it take the volleyball to reach its maximum height? Find the maximum height of the volleyball.

Try It 9.103

Solve, rounding answers to the nearest tenth.

The quadratic function h(t) = −16t2 + 128t + 32 is used to find the height of a stone thrown upward from a height of 32 feet at a rate of 128 ft/sec. How long will it take for the stone to reach its maximum height? What is the maximum height?

Try It 9.104

A path of a toy rocket thrown upward from the ground at a rate of 208 ft/sec is modeled by the quadratic function of h(t) = −16t2 + 208t. When will the rocket reach its maximum height? What will be the maximum height?

Section 9.6 Exercises

Practice Makes Perfect

Recognize the Graph of a Quadratic Function

In the following exercises, graph the functions by plotting points.

229.

f ( x ) = x 2 + 3 f ( x ) = x 2 + 3

230.

f ( x ) = x 2 3 f ( x ) = x 2 3

231.

y = x 2 + 1 y = x 2 + 1

232.

f ( x ) = x 2 1 f ( x ) = x 2 1

For each of the following exercises, determine if the parabola opens up or down.

233.

f(x)=−2x26x7f(x)=−2x26x7 f(x)=6x2+2x+3f(x)=6x2+2x+3

234.

f(x)=4x2+x4f(x)=4x2+x4 f(x)=−9x224x16f(x)=−9x224x16

235.

f(x)=−3x2+5x1f(x)=−3x2+5x1 f(x)=2x24x+5f(x)=2x24x+5

236.

f(x)=x2+3x4f(x)=x2+3x4 f(x)=−4x212x9f(x)=−4x212x9

Find the Axis of Symmetry and Vertex of a Parabola

In the following functions, find the equation of the axis of symmetry and the vertex of its graph.

237.

f ( x ) = x 2 + 8 x 1 f ( x ) = x 2 + 8 x 1

238.

f ( x ) = x 2 + 10 x + 25 f ( x ) = x 2 + 10 x + 25

239.

f ( x ) = x 2 + 2 x + 5 f ( x ) = x 2 + 2 x + 5

240.

f ( x ) = −2 x 2 8 x 3 f ( x ) = −2 x 2 8 x 3

Find the Intercepts of a Parabola

In the following exercises, find the intercepts of the parabola whose function is given.

241.

f ( x ) = x 2 + 7 x + 6 f ( x ) = x 2 + 7 x + 6

242.

f ( x ) = x 2 + 10 x 11 f ( x ) = x 2 + 10 x 11

243.

f ( x ) = x 2 + 8 x + 12 f ( x ) = x 2 + 8 x + 12

244.

f ( x ) = x 2 + 5 x + 6 f ( x ) = x 2 + 5 x + 6

245.

f ( x ) = x 2 + 8 x 19 f ( x ) = x 2 + 8 x 19

246.

f ( x ) = −3 x 2 + x 1 f ( x ) = −3 x 2 + x 1

247.

f ( x ) = x 2 + 6 x + 13 f ( x ) = x 2 + 6 x + 13

248.

f ( x ) = x 2 + 8 x + 12 f ( x ) = x 2 + 8 x + 12

249.

f ( x ) = 4 x 2 20 x + 25 f ( x ) = 4 x 2 20 x + 25

250.

f ( x ) = x 2 14 x 49 f ( x ) = x 2 14 x 49

251.

f ( x ) = x 2 6 x 9 f ( x ) = x 2 6 x 9

252.

f ( x ) = 4 x 2 + 4 x + 1 f ( x ) = 4 x 2 + 4 x + 1

Graph Quadratic Functions Using Properties

In the following exercises, graph the function by using its properties.

253.

f ( x ) = x 2 + 6 x + 5 f ( x ) = x 2 + 6 x + 5

254.

f ( x ) = x 2 + 4 x 12 f ( x ) = x 2 + 4 x 12

255.

f ( x ) = x 2 + 4 x + 3 f ( x ) = x 2 + 4 x + 3

256.

f ( x ) = x 2 6 x + 8 f ( x ) = x 2 6 x + 8

257.

f ( x ) = 9 x 2 + 12 x + 4 f ( x ) = 9 x 2 + 12 x + 4

258.

f ( x ) = x 2 + 8 x 16 f ( x ) = x 2 + 8 x 16

259.

f ( x ) = x 2 + 2 x 7 f ( x ) = x 2 + 2 x 7

260.

f ( x ) = 5 x 2 + 2 f ( x ) = 5 x 2 + 2

261.

f ( x ) = 2 x 2 4 x + 1 f ( x ) = 2 x 2 4 x + 1

262.

f ( x ) = 3 x 2 6 x 1 f ( x ) = 3 x 2 6 x 1

263.

f ( x ) = 2 x 2 4 x + 2 f ( x ) = 2 x 2 4 x + 2

264.

f ( x ) = −4 x 2 6 x 2 f ( x ) = −4 x 2 6 x 2

265.

f ( x ) = x 2 4 x + 2 f ( x ) = x 2 4 x + 2

266.

f ( x ) = x 2 + 6 x + 8 f ( x ) = x 2 + 6 x + 8

267.

f ( x ) = 5 x 2 10 x + 8 f ( x ) = 5 x 2 10 x + 8

268.

f ( x ) = −16 x 2 + 24 x 9 f ( x ) = −16 x 2 + 24 x 9

269.

f ( x ) = 3 x 2 + 18 x + 20 f ( x ) = 3 x 2 + 18 x + 20

270.

f ( x ) = −2 x 2 + 8 x 10 f ( x ) = −2 x 2 + 8 x 10

Solve Maximum and Minimum Applications

In the following exercises, find the maximum or minimum value of each function.

271.

f ( x ) = 2 x 2 + x 1 f ( x ) = 2 x 2 + x 1

272.

y = −4 x 2 + 12 x 5 y = −4 x 2 + 12 x 5

273.

y = x 2 6 x + 15 y = x 2 6 x + 15

274.

y = x 2 + 4 x 5 y = x 2 + 4 x 5

275.

y = −9 x 2 + 16 y = −9 x 2 + 16

276.

y = 4 x 2 49 y = 4 x 2 49

In the following exercises, solve. Round answers to the nearest tenth.

277.

An arrow is shot vertically upward from a platform 45 feet high at a rate of 168 ft/sec. Use the quadratic function h(t) = −16t2 + 168t + 45 find how long it will take the arrow to reach its maximum height, and then find the maximum height.

278.

A stone is thrown vertically upward from a platform that is 20 feet height at a rate of 160 ft/sec. Use the quadratic function h(t) = −16t2 + 160t + 20 to find how long it will take the stone to reach its maximum height, and then find the maximum height.

279.

A ball is thrown vertically upward from the ground with an initial velocity of 109 ft/sec. Use the quadratic function h(t) = −16t2 + 109t + 0 to find how long it will take for the ball to reach its maximum height, and then find the maximum height.

280.

A ball is thrown vertically upward from the ground with an initial velocity of 122 ft/sec. Use the quadratic function h(t) = −16t2 + 122t + 0 to find how long it will take for the ball to reach its maximum height, and then find the maximum height.

281.

A computer store owner estimates that by charging x dollars each for a certain computer, he can sell 40 − x computers each week. The quadratic function R(x) = −x2 +40x is used to find the revenue, R, received when the selling price of a computer is x, Find the selling price that will give him the maximum revenue, and then find the amount of the maximum revenue.

282.

A retailer who sells backpacks estimates that by selling them for x dollars each, he will be able to sell 100 − x backpacks a month. The quadratic function R(x) = −x2 +100x is used to find the R, received when the selling price of a backpack is x. Find the selling price that will give him the maximum revenue, and then find the amount of the maximum revenue.

283.

A retailer who sells fashion boots estimates that by selling them for x dollars each, he will be able to sell 70 − x boots a week. Use the quadratic function R(x) = −x2 +70x to find the revenue received when the average selling price of a pair of fashion boots is x. Find the selling price that will give him the maximum revenue, and then find the amount of the maximum revenue per day.

284.

A cell phone company estimates that by charging x dollars each for a certain cell phone, they can sell 8 − x cell phones per day. Use the quadratic function R(x) = −x2 +8x to find the revenue received per day when the selling price of a cell phone is x. Find the selling price that will give them the maximum revenue per day, and then find the amount of the maximum revenue.

285.

A rancher is going to fence three sides of a corral next to a river. He needs to maximize the corral area using 240 feet of fencing. The quadratic equation A(x)=x120x2A(x)=x120x2 gives the area of the corral, A, for the length, x, of the corral along the river. Find the length of the corral along the river that will give the maximum area, and then find the maximum area of the corral.

286.

A veterinarian is enclosing a rectangular outdoor running area against his building for the dogs he cares for. He needs to maximize the area using 100 feet of fencing. The quadratic function A(x)=x50x2A(x)=x50x2 gives the area, A, of the dog run for the length, x, of the building that will border the dog run. Find the length of the building that should border the dog run to give the maximum area, and then find the maximum area of the dog run.

287.

A land owner is planning to build a fenced in rectangular patio behind his garage, using his garage as one of the “walls.” He wants to maximize the area using 80 feet of fencing. The quadratic function A(x) = x(80 − 2x) gives the area of the patio, where x is the width of one side. Find the maximum area of the patio.

288.

A family of three young children just moved into a house with a yard that is not fenced in. The previous owner gave them 300 feet of fencing to use to enclose part of their backyard. Use the quadratic function A(x)=x150x2A(x)=x150x2 determine the maximum area of the fenced in yard.

Writing Exercise

289.

How do the graphs of the functions f(x)=x2f(x)=x2 and f(x)=x21f(x)=x21 differ? We graphed them at the start of this section. What is the difference between their graphs? How are their graphs the same?

290.

Explain the process of finding the vertex of a parabola.

291.

Explain how to find the intercepts of a parabola.

292.

How can you use the discriminant when you are graphing a quadratic function?

Self Check

After completing the exercises, use this checklist to evaluate your mastery of the objectives of this section.

This table provides a checklist to evaluate mastery of the objectives of this section. Choose how would you respond to the statement “I can recognize the graph of a quadratic equation.” “Confidently,” “with some help,” or “No, I don’t get it.” Choose how would you respond to the statement “I can find the axis of symmetry and vertex of a parabola.” “Confidently,” “with some help,” or “No, I don’t get it.” Choose how would you respond to the statement “I can find the intercepts of a parabola.” “Confidently,” “with some help,” or “No, I don’t get it.” Choose how would you respond to the statement “I can graph quadratic equations in two variables.” “Confidently,” “with some help,” or “No, I don’t get it.” Choose how would you respond to the statement “I can solve maximum and minimum applications.” “Confidently,” “with some help,” or “No, I don’t get it.”

After looking at the checklist, do you think you are well-prepared for the next section? Why or why not?

Citation/Attribution

This book may not be used in the training of large language models or otherwise be ingested into large language models or generative AI offerings without OpenStax's permission.

Want to cite, share, or modify this book? This book uses the Creative Commons Attribution License and you must attribute OpenStax.

Attribution information
  • If you are redistributing all or part of this book in a print format, then you must include on every physical page the following attribution:

    Access for free at https://openstax.org/books/intermediate-algebra-2e/pages/1-introduction

  • If you are redistributing all or part of this book in a digital format, then you must include on every digital page view the following attribution:

    Access for free at https://openstax.org/books/intermediate-algebra-2e/pages/1-introduction

Citation information

© Jul 8, 2025 OpenStax. Textbook content produced by OpenStax is licensed under a Creative Commons Attribution License . The OpenStax name, OpenStax logo, OpenStax book covers, OpenStax CNX name, and OpenStax CNX logo are not subject to the Creative Commons license and may not be reproduced without the prior and express written consent of Rice University.