Omitir e ir al contenidoIr a la página de accesibilidadMenú de atajos de teclado
Logo de OpenStax
Física universitaria volumen 2

2.3 Capacidad calorífica y equipartición de energía

Física universitaria volumen 22.3 Capacidad calorífica y equipartición de energía
Buscar términos clave o texto.

Objetivos de aprendizaje

Al final de esta sección, podrá:

  • Resolver problemas de transferencia de calor hacia y desde gases monoatómicos ideales cuyos volúmenes se mantienen constantes.
  • Resolver problemas similares para gases ideales no monoatómicos basados en el número de grados de libertad de una molécula.
  • Estimar las capacidades caloríficas de metales mediante un modelo basado en grados de libertad.

En el capítulo sobre temperatura y calor definimos la capacidad calorífica específica con la ecuación Q=mcΔT,Q=mcΔT, o c=(1/m)Q/ΔTc=(1/m)Q/ΔT. Sin embargo, las propiedades de un gas ideal dependen directamente del número de moles en una muestra, por lo que aquí definimos la capacidad calorífica específica en términos del número de moles, no de la masa. Además, al hablar de sólidos y líquidos, ignoramos los cambios de volumen y presión con los cambios de temperatura: una buena aproximación para sólidos y líquidos, pero para los gases tenemos que poner alguna condición a los cambios de volumen o presión. Aquí nos centramos en la capacidad calorífica y el volumen se mantiene constante. Podemos calcularlo para un gas ideal.

Capacidad calorífica de un gas monoatómico ideal a volumen constante

Definimos la capacidad calorífica molar a volumen constante CVCV dado que

CV=1nQΔT,conVque se mantiene constante.CV=1nQΔT,conVque se mantiene constante.

Esto se expresa a menudo de la forma

Q=nCVΔT.Q=nCVΔT.
2.13

Si el volumen no cambia, no hay desplazamiento global, por lo que no se realiza trabajo, y el único cambio en la energía interna se debe al flujo de calor ΔEint=Q.ΔEint=Q. (este enunciado se analiza con más detalle en el siguiente capítulo). Utilizamos la ecuación Eint=3nRT/2Eint=3nRT/2 para escribir ΔEint=3nRΔT/2ΔEint=3nRΔT/2 y sustituir ΔEΔE para Q para calcular Q=3nRΔT/2Q=3nRΔT/2, lo que da el siguiente resultado simple para un gas ideal monoatómico:

CV=32R.CV=32R.

Es independiente de la temperatura, lo que justifica que utilicemos diferencias finitas en vez de una derivada. Esta fórmula coincide con resultados experimentales.

En el siguiente capítulo tratamos el calor específico molar a presión constante Cp,Cp, que siempre es mayor que CV.CV.

Ejemplo 2.8

Calcular la temperatura

Una muestra de 0,125 kg de xenón está contenida en un cilindro metálico rígido, lo suficientemente grande como para que el xenón se pueda modelar como un gas ideal, a una temperatura de 20,0°C20,0°C. El cilindro se traslada al exterior en un día caluroso de verano. A medida que el xenón entra en equilibrio al alcanzar la temperatura de su entorno, se le conducen 180 J de calor a través de las paredes del cilindro. ¿Cuál es la temperatura de equilibrio? Ignore la expansión del cilindro metálico.

Solución

  1. Identifique los aspectos conocidos: Sabemos que la temperatura inicial T1T1 es de 20,0°C20,0°C, el calor Q es de 180 J y la masa m del xenón es de 0,125 kg.
  2. Identifique la incógnita. Necesitamos la temperatura final, por lo que necesitaremos ΔTΔT.
  3. Determine cuáles ecuaciones son necesarias. Como el gas xenón es monoatómico, podemos utilizar Q=3nRΔT/2.Q=3nRΔT/2. Entonces necesitamos el número de moles, n=m/M.n=m/M.
  4. Sustituya los valores conocidos en las ecuaciones y despeje las incógnitas.
    La masa molar del xenón es de 131,3 g, por lo que obtenemos
    n=125g131,3g/mol=0,952mol,n=125g131,3g/mol=0,952mol,
    ΔT=2Q3nR=2(180J)3(0,952mol)(8,31J/mol·°C)=15,2°C.ΔT=2Q3nR=2(180J)3(0,952mol)(8,31J/mol·°C)=15,2°C.
    Por lo tanto, la temperatura final es 35,2°C35,2°C. El problema se podría resolver igualmente en kelvin; como un kelvin es del mismo tamaño que un grado Celsius de cambio de temperatura, se obtendría ΔT=15,2K.ΔT=15,2K.

Importancia

El calentamiento de un gas ideal o casi ideal a volumen constante es importante en los motores de los automóviles y en muchos otros sistemas prácticos.

Compruebe Lo Aprendido 2.6

Suponga que se mezclan 2 moles de gas helio a 200 K con 2 moles de gas criptón a 400 K en un calorímetro. ¿Cuál es la temperatura final?

Nos gustaría generalizar nuestros resultados a gases ideales con más de un átomo por molécula. En estos sistemas, las moléculas pueden tener otras formas de energía además de la energía cinética traslacional, como la energía cinética rotacional y las energías vibracional cinética y potencial. Veremos que una regla sencilla nos permite determinar las energías promedio presentes en estas formas y resolver problemas de forma muy parecida a como lo hemos hecho con gases monoatómicos.

Grados de libertad

En la sección anterior hemos comprobado que 12mv2=32kBT12mv2=32kBT y v2=3vx2v2=3vx2, de lo que se deduce que 12mvx2=12kBT12mvx2=12kBT. La misma ecuación es válida para vy2vy2 y para vz2vz2. Por lo tanto, podemos ver nuestra energía de 32kBT32kBT como la suma de los aportes de 12kBT12kBT de cada una de las tres dimensiones del movimiento de traslación. Pasando al gas en su conjunto, vemos que el 3 de la fórmula CV=32RCV=32R también refleja esas tres dimensiones. Definimos un grado de libertad como un movimiento posible e independiente de una molécula, como cada una de las tres dimensiones de traslación. Entonces, dejando que d represente el número de grados de libertad, la capacidad calorífica molar a volumen constante de un gas ideal monoatómico es CV=d2R,CV=d2R, donde d=3d=3.

La rama de la física llamada mecánica estadística nos dice, y la experiencia lo confirma, que CVCV de cualquier gas ideal viene dada por esta ecuación, independientemente del número de grados de libertad. Este hecho se desprende de un resultado más general, el teorema de equipartición, que se mantiene en la termodinámica clásica (no cuántica) para sistemas en equilibrio térmico en condiciones técnicas que están fuera de nuestro alcance. Aquí solo mencionamos que en un sistema la energía se reparte entre los grados de libertad mediante colisiones.

Teorema de equipartición

La energía de un sistema termodinámico en equilibrio se reparte por igual entre sus grados de libertad. En consecuencia, la capacidad calorífica molar de un gas ideal es proporcional a su número de grados de libertad, d:

CV=d2R.CV=d2R.
2.14

Este resultado se debe al físico escocés James Clerk Maxwell (1831-1871), cuyo nombre aparecerá varias veces más en este libro.

Por ejemplo, considere un gas ideal diatómico (un buen modelo para el nitrógeno, N2,N2, y el oxígeno, O2).O2). Un gas así tiene más grados de libertad que un gas monoatómico. Además de los tres grados de libertad para la traslación, tiene dos grados de libertad para la rotación perpendicular a su eje. Además, la molécula puede vibrar a lo largo de su eje. Este movimiento se suele modelar imaginando un resorte que conecta los dos átomos, y sabemos por el movimiento armónico simple que dicho movimiento tiene energía cinética y potencial. Cada una de estas formas de energía corresponde a un grado de libertad, lo que da dos más.

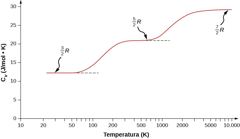
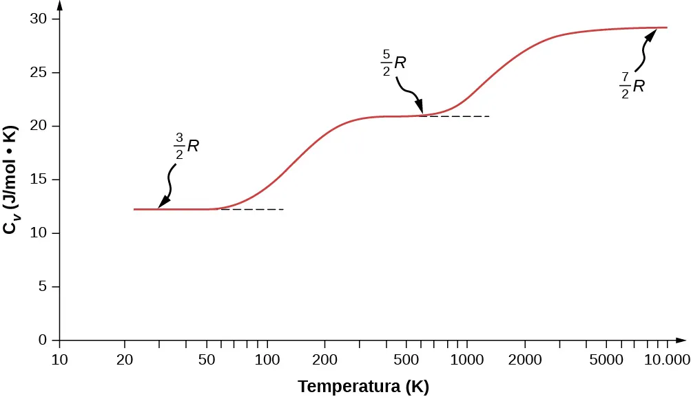
Podríamos esperar que para un gas diatómico deberíamos utilizar 7 como número de grados de libertad; clásicamente, si las moléculas de un gas solo tuvieran energía cinética traslacional, las colisiones entre moléculas pronto las harían girar y vibrar. Sin embargo, como se explicó en el módulo anterior, la mecánica cuántica controla qué grados de libertad están activos. El resultado se muestra en la Figura 2.13. Tanto las energías rotacionales como las vibracionales están limitadas a valores discretos. Para temperaturas inferiores a unos 60 K, las energías de las moléculas de hidrógeno son demasiado bajas para que una colisión lleve el estado rotacional o el estado vibracional de una molécula de la energía más baja a la segunda más baja, por lo que la única forma de energía es la energía cinética traslacional, y d=3d=3 o CV=3R/2CV=3R/2 como en un gas monoatómico. Por encima de esa temperatura, los dos grados de libertad rotacionales comienzan a aportar, es decir, algunas moléculas se excitan al estado rotacional con la segunda energía más baja (esta temperatura es mucho más baja que aquella a la que aportan las rotaciones de los gases monoatómicos porque las moléculas diatómicas tienen inercias rotacionales mucho más altas y, por tanto, energías rotacionales mucho más bajas). Desde la temperatura ambiente (un poco menos de 300 K) hasta alrededor de 600 K, los grados de libertad rotacionales están totalmente activos, pero los vibracionales no, y d=5d=5. Finalmente, por encima de alrededor de 3.000 K, los grados de libertad vibracionales están totalmente activos, y d=7d=7 como predecía la teoría clásica.

Gráfico de la capacidad calorífica molar C V en julios por mol kelvin como una función de temperatura en Kelvin. La escala horizontal es logarítmica y va de 10 a 10.000. La escala vertical es lineal y va de 10 a 30. El gráfico muestra tres fases. El primero se extiende de 20 K a 50 K aproximadamente con un valor constante de alrededor de 12,5 julios por mol kelvin. Esta fase se identifica con tres mitades R. El gráfico sube gradualmente hasta otra fase que se extiende desde 300 K hasta 500 K, aproximadamente, con un valor constante de alrededor de 20 julios por mol kelvin. Esta fase se identifica con cinco mitades R. El gráfico vuelve a subir gradualmente y se aplana para iniciar una tercera fase alrededor de los 3.000 K con un valor constante de algo menos de 30 julios por mol kelvin. Esta fase está identificada como siete mitades R.
Figura 2.13 La capacidad calorífica molar del hidrógeno como una función de temperatura (en una escala logarítmica). Las tres “fases” o “mesetas” muestran diferentes números de grados de libertad que las energías típicas de las moléculas deben alcanzar para activarse. La energía cinética traslacional corresponde a tres grados de libertad, la rotacional a otros dos y la vibracional a otros dos.

Las moléculas poliatómicas suelen tener un grado de libertad rotacional adicional a temperatura ambiente, ya que tienen momentos de inercia comparables alrededor de cualquier eje. Así, a temperatura ambiente, tienen d=6,d=6, y a alta temperatura, d=8.d=8. Solemos suponer que los gases a temperatura ambiente tienen los valores teóricos de d.

Como se muestra en la Tabla 2.3, los resultados concuerdan bien con los experimentos para muchos gases monoatómicos y diatómicos, pero la concordancia para los gases triatómicos es solo justa. Las diferencias surgen de las interacciones que hemos ignorado entre y dentro de las moléculas.

Gas CV/RCV/R a 25°C25°C y 1 atm
Ar 1,50
He 1,50
Ne 1,50
CO 2,50
H2H2 2,47
N2N2 2,50
O2O2 2,53
F2F2 2,8
CO2CO2 3,48
H2SH2S 3,13
N2ON2O 3,66
Tabla 2.3 C V / R C V / R para varios gases monoatómicos, diatómicos y triatómicos

¿Y qué pasa con la energía interna de los gases diatómicos y poliatómicos? Para esos gases, CVCV es una función de temperatura (Figura 2.13), por lo que no tenemos el tipo de resultado simple que tenemos para gases ideales monoatómicos.

Capacidad calorífica molar de elementos sólidos

La idea de equipartición conduce a una estimación de la capacidad calorífica molar de los elementos sólidos a temperaturas ordinarias. Podemos modelar los átomos de un sólido como si estuvieran unidos a los átomos vecinos mediante resortes (Figura 2.14).

La figura es una ilustración del modelo de un sólido. Siete átomos, uno en el centro y otro a cada lado, por encima, por debajo, por delante y por detrás, se representan como pequeñas esferas. El átomo central está conectado a cada uno de los otros por un resorte, identificado como resortes ideales. Los átomos vecinos tienen resortes adicionales para conectarlos a sus vecinos más cercanos, los cuales no están incluidos en el dibujo.
Figura 2.14 En un modelo sencillo de un elemento sólido, cada átomo está unido a otros por seis resortes, dos para cada movimiento posible: x, y y z. Cada uno de los tres movimientos corresponde a dos grados de libertad, uno de energía cinética y otro de energía potencial. Así, d=6.d=6.

De forma análoga a la discusión de la vibración en el módulo anterior, cada átomo tiene seis grados de libertad: uno cinético y uno potencial para cada una de las direcciones x, y y z. En consecuencia, el calor específico molar de un metal debe ser 3R. Este resultado, conocido como la Ley de Dulong y Petit, funciona bastante bien experimentalmente a temperatura ambiente (para cada elemento, falla a bajas temperaturas por razones de mecánica cuántica. Dado que los efectos cuánticos son especialmente importantes para partículas de baja masa, la Ley de Dulong y Petit ya falla a temperatura ambiente para algunos elementos ligeros, como el berilio y el carbono. También falla para algunos elementos más pesados por varias razones más allá de lo que podemos cubrir).

Estrategia de Resolución De Problemas

Capacidad calorífica y equipartición

La estrategia para resolver estos problemas es la misma que la que vimos en la sección Cambios de fase para los efectos de la transferencia de calor. La única novedad es que debe determinar si el caso que acabamos de presentar —gases ideales a volumen constante— se aplica al problema (para los elementos sólidos, buscar la capacidad calorífica específica es, generalmente, mejor que estimarla a partir de la Ley de Dulong y Petit). En el caso de un gas ideal, determine el número d de grados de libertad a partir del número de átomos de la molécula del gas y utilícelo para calcular CVCV (o use CVCV para despejar d).

Ejemplo 2.9

Calcular la temperatura: calorimetría con un gas ideal

Un trozo de 300 g de galio sólido (un metal utilizado en dispositivos semiconductores) en su punto de fusión de solo 30,0°C30,0°C está en contacto con 12,0 moles de aire (que se suponen diatómicos) a 95,0°C95,0°C en un recipiente aislado. Cuando el aire alcanza el equilibrio con el galio, 202 g de galio se han fundido. Según estos datos, ¿cuál es el calor de fusión del galio? Suponga que el volumen del aire no cambia y que no hay otras transferencias de calor.

Estrategia

Usaremos la ecuación Qcaliente+Qfrío=0.Qcaliente+Qfrío=0. Como parte del galio no se funde, sabemos que la temperatura final sigue siendo el punto de fusión. Entonces el único QcalienteQcaliente es el calor que se pierde al enfriar el aire, Qcaliente=naireCVΔT,Qcaliente=naireCVΔT, donde CV=5R/2.CV=5R/2. El único QfríoQfrío es el calor de fusión latente del galio, Qfrío=mGaLf.Qfrío=mGaLf. Es positivo porque el calor fluye hacia el galio.

Solución

  1. Plantee la ecuación:
    naireCVΔT+mGaLf=0.naireCVΔT+mGaLf=0.
  2. Sustituya los valores conocidos y despeje:
    (12,0mol)(52)(8,31Jmol·°C)(30,0°C95,0°C)+(0,202kg)Lf=0.(12,0mol)(52)(8,31Jmol·°C)(30,0°C95,0°C)+(0,202kg)Lf=0.
    Despejamos para hallar que el calor de fusión del galio es de 80,2 kJ/kg.
Cita/Atribución

Este libro no puede ser utilizado en la formación de grandes modelos de lenguaje ni incorporado de otra manera en grandes modelos de lenguaje u ofertas de IA generativa sin el permiso de OpenStax.

¿Desea citar, compartir o modificar este libro? Este libro utiliza la Creative Commons Attribution License y debe atribuir a OpenStax.

Información de atribución
  • Si redistribuye todo o parte de este libro en formato impreso, debe incluir en cada página física la siguiente atribución:
    Acceso gratis en https://openstax.org/books/f%C3%ADsica-universitaria-volumen-2/pages/1-introduccion
  • Si redistribuye todo o parte de este libro en formato digital, debe incluir en cada vista de la página digital la siguiente atribución:
    Acceso gratuito en https://openstax.org/books/f%C3%ADsica-universitaria-volumen-2/pages/1-introduccion
Información sobre citas

© 13 abr. 2022 OpenStax. El contenido de los libros de texto que produce OpenStax tiene una licencia de Creative Commons Attribution License . El nombre de OpenStax, el logotipo de OpenStax, las portadas de libros de OpenStax, el nombre de OpenStax CNX y el logotipo de OpenStax CNX no están sujetos a la licencia de Creative Commons y no se pueden reproducir sin el previo y expreso consentimiento por escrito de Rice University.