Omitir e ir al contenidoIr a la página de accesibilidadMenú de atajos de teclado
Logo de OpenStax
Cálculo volumen 3

6.5 Divergencia y rizo

Cálculo volumen 36.5 Divergencia y rizo
Buscar términos clave o texto.

Objetivos de aprendizaje

  • 6.5.1 Determinar la divergencia a partir de la fórmula para un campo vectorial dado.
  • 6.5.2 Determinar el rizo a partir de la fórmula para un campo vectorial dado.
  • 6.5.3 Utilizar las propiedades del rizo y la divergencia para determinar si un campo vectorial es conservativo.

En esta sección examinamos dos operaciones importantes sobre un campo vectorial: la divergencia y el rizo. Son importantes para el campo del cálculo por varias razones, entre ellas el uso del rizo y la divergencia para desarrollar algunas versiones de dimensiones superiores del teorema fundamental del cálculo. Además, el rizo y la divergencia aparecen en las descripciones matemáticas de la mecánica de fluidos, el electromagnetismo y la teoría de la elasticidad, que son conceptos importantes en física e ingeniería. También podemos aplicar el rizo y la divergencia a otros conceptos que ya hemos explorado. Por ejemplo, bajo ciertas condiciones, un campo vectorial es conservativo si y solo si su rizo es cero.

Además de definir el rizo y la divergencia, veremos algunas interpretaciones físicas de los mismos, y mostraremos su relación con los campos vectoriales conservativos y sin fuente.

Divergencia

La divergencia es una operación sobre un campo vectorial que nos dice cómo se comporta el campo hacia o lejos de un punto. Localmente, la divergencia de un campo vectorial F en 2 2 o 33 en un punto particular P es una medida de la "salida" del campo vectorial en P. Si F representa la velocidad de un fluido, entonces la divergencia de F en P mide la tasa de cambio neta con respecto al tiempo de la cantidad de fluido que fluye fuera de P (la tendencia del fluido a fluir "fuera" de P). En particular, si la cantidad de fluido que entra en P es la misma que la que sale, entonces la divergencia en P es cero.

Definición

Si los valores de F=P,Q,RF=P,Q,R es un campo vectorial en 33 y Px,Qy,Px,Qy, y RzRz existen, entonces la divergencia de F está definida por

divF=Px+Qy+Rz=Px+Qy+Rz.divF=Px+Qy+Rz=Px+Qy+Rz.
(6.16)

Observe que la divergencia de un campo vectorial no es un campo vectorial, sino una función escalar. En términos del operador de gradiente =x,y,z,=x,y,z, la divergencia puede escribirse simbólicamente como el producto escalar

divF=.F.divF=.F.

Observe que se trata de una notación meramente útil, ya que el producto escalar de un vector de operadores y un vector de funciones no tienen sentido dada nuestra definición actual de producto escalar.

Si los valores de F=P,QF=P,Q es un campo vectorial en 2 ,2 , y PxPx y QyQy ambos existen, entonces la divergencia de F se define de forma similar como

divF=Px+Qy=Px+Qy=.F.divF=Px+Qy=Px+Qy=.F.

Para ilustrar este punto, consideremos los dos campos vectoriales en la Figura 6.50. En cualquier punto concreto, la cantidad que entra es la misma que la que sale, por lo que en cada punto la "salida" del campo es cero. Por lo tanto, esperamos que la divergencia de ambos campos sea cero, y así es, ya que

div(1,2 )=x(1)+y(2 )=0ydiv(y,x)=x(y)+y(x)=0.div(1,2 )=x(1)+y(2 )=0ydiv(y,x)=x(y)+y(x)=0.
Dos imágenes de campos vectoriales A y B en dos dimensiones. El campo vectorial A tiene flechas que apuntan hacia arriba y hacia la derecha. No cambian de tamaño ni de dirección. Tiene una divergencia cero. El campo vectorial B tiene flechas que rodean el origen en sentido contrario a las agujas del reloj. Las flechas son más grandes cuanto más cerca están del origen. También tiene una divergencia cero.
Figura 6.50 (a) Campo vectorial 1,2 1,2 tiene divergencia cero. (b) Campo vectorial y,xy,x también tiene una divergencia cero.

En contraste, consideremos el campo vectorial radial R(x,y)=x,yR(x,y)=x,y en la Figura 6.51. En un momento dado, entra más líquido del que sale, por lo que la "salida" del campo es negativa. Esperamos que la divergencia de este campo sea negativa, y así es, ya que div(R)=x(x)+y(y)=–2.div(R)=x(x)+y(y)=–2.

Un campo vectorial en dos dimensiones con divergencia negativa. Las flechas apuntan hacia el origen en forma radial. Cuanto más cerca estén las flechas del origen, más grandes serán.
Figura 6.51 Este campo vectorial tiene divergencia negativa.

Para tener una idea global de lo que nos dice la divergencia, supongamos que un campo vectorial en 2 2 representa la velocidad de un fluido. Imagínese que toma un círculo elástico (un círculo con una forma que puede ser modificada por el campo vectorial) y lo deja caer en un fluido. Si el círculo mantiene su área exacta mientras fluye a través del fluido, entonces la divergencia es cero. Esto ocurriría para ambos campos vectoriales en la Figura 6.50. Por otro lado, si la forma del círculo se distorsiona de manera que su área se reduce o se expande, entonces la divergencia no es cero. Imagine que deja caer un círculo elástico de este tipo en el campo vectorial radial en la Figura 6.51 de manera que el centro del círculo cae en el punto (3, 3). El círculo fluiría hacia el origen y, al hacerlo, la parte delantera del círculo se desplazaría más lentamente que la trasera, haciendo que el círculo se "arrugue" y pierda superficie. Así se puede ver una divergencia negativa.

Ejemplo 6.48

Calcular la divergencia en un punto

Si los valores de F(x,y,z)=exi+yzjy2 k,F(x,y,z)=exi+yzjy2 k, entonces halla la divergencia de F en (0,2 ,–1).(0,2 ,–1).

Punto de control 6.40

Halle divFdivF por F(x,y,z)=xy,5z2 y,x2 +y2 .F(x,y,z)=xy,5z2 y,x2 +y2 .

Una de las aplicaciones de la divergencia se da en la física, cuando se trabaja con campos magnéticos. Un campo magnético es un campo vectorial que modela la influencia de las corrientes eléctricas y los materiales magnéticos. Los físicos utilizan la divergencia en la ley de Gauss para el magnetismo, que establece que si B es un campo magnético, entonces .B=0;.B=0; en otras palabras, la divergencia de un campo magnético es cero.

Ejemplo 6.49

Determinar si un campo es magnético

¿Es posible que para que F(x,y)=x2 y,yxy2 F(x,y)=x2 y,yxy2 sean campos magnéticos?

Otra aplicación de la divergencia es detectar si un campo está libre de fuentes. Recordemos que un campo sin fuente es un campo vectorial que tiene una función de flujo; de forma equivalente, un campo sin fuente es un campo con un flujo que es cero a lo largo de cualquier curva cerrada. Los dos teoremas siguientes dicen que, bajo ciertas condiciones, los campos vectoriales sin fuente son precisamente los campos vectoriales con divergencia cero.

Teorema 6.14

Divergencia de un campo vectorial sin fuente

Si los valores de F=P,QF=P,Q es un campo vectorial continuo sin fuente con funciones componentes diferenciables, entonces divF=0.divF=0.

Prueba

Como F es libre de fuentes, existe una función g(x,y)g(x,y) con la gy=Pgy=P y gx=Q.gx=Q. Por lo tanto, F=gy,gxF=gy,gx y divF=gyxgxy=0divF=gyxgxy=0 según el teorema de Clairaut.

La inversa de la Divergencia de un campo vectorial sin fuente es cierta en regiones simplemente conectadas, pero la prueba es demasiado técnica para incluirla aquí. Así, tenemos el siguiente teorema, que puede probar si un campo vectorial en 2 2 está libre de fuentes.

Teorema 6.15

Prueba de divergencia para campos vectoriales sin fuente

Supongamos que F=P,QF=P,Q es un campo vectorial continuo con funciones componentes diferenciables con un dominio simplemente conectado. Entonces, divF=0divF=0 si y solo si F está libre de fuentes.

Ejemplo 6.50

Determinar si un campo está libre de fuentes

¿El campo F(x,y)=x2 y,5xy2 F(x,y)=x2 y,5xy2 está libre de fuentes?

Punto de control 6.41

Supongamos que F(x,y)=ay,bxF(x,y)=ay,bx es un campo rotacional donde a y b son constantes positivas. ¿F está libre de fuentes?

Recordemos que la forma de flujo del teorema de Green dice que

CF.Nds=DPx+QydA,CF.Nds=DPx+QydA,

donde C es una curva cerrada y simple y D es la región encerrada por C. Ya que Px+Qy=divF,Px+Qy=divF, el teorema de Green a veces se escribe como

CF.Nds=DdivFdA.CF.Nds=DdivFdA.

Por lo tanto, el teorema de Green se puede escribir en términos de divergencia. Si pensamos en la divergencia como una especie de derivada, entonces el teorema de Green dice que la "derivada" de F en una región puede traducirse en una integral de línea de F a lo largo del límite de la región. Esto es análogo al teorema fundamental del cálculo, en el que la derivada de una función ff en un segmento de línea [a,b][a,b] puede traducirse en una afirmación sobre ff en el borde de [a,b].[a,b]. Utilizando la divergencia, podemos ver que el teorema de Green es un análogo de dimensión superior del teorema fundamental del cálculo.

Podemos utilizar todo lo que hemos aprendido en la aplicación de la divergencia. Supongamos que v es un campo vectorial que modela la velocidad de un fluido. Dado que la divergencia de v en el punto P mide la "salida" del fluido en P, divv(P)>0divv(P)>0 implica que sale más líquido de P del que entra. De la misma manera, divv(P)<0divv(P)<0 implica que en P entra más líquido del que sale, y divv(P)=0divv(P)=0 implica que entra la misma cantidad de líquido que sale.

Ejemplo 6.51

Determinar el caudal de un fluido

Supongamos que v(x,y)=xy,y,y>0v(x,y)=xy,y,y>0 modela el flujo de un fluido. ¿Es más el fluido que entra en el punto (1,4)(1,4) del que sale?

Punto de control 6.42

Para el campo vectorial v(x,y)=xy,y,y>0,v(x,y)=xy,y,y>0, halle todos los puntos P tales que la cantidad de fluido que entra en P es igual a la cantidad de fluido que sale de P.

Rizo

La segunda operación sobre un campo vectorial que examinamos es el rizo, que mide el grado de rotación del campo en torno a un punto. Supongamos que F representa el campo de velocidad de un fluido. Entonces, el rizo de F en el punto P es un vector que mide la tendencia de las partículas cercanas a P a girar alrededor del eje que apunta en la dirección de este vector. La magnitud del vector de rizo en P mide la rapidez con la que las partículas giran alrededor de este eje. En otras palabras, el rizo en un punto es una medida del "giro" del campo vectorial en ese punto. Visualmente, imagine que coloca una rueda de paletas en un fluido en P, con el eje de la rueda de paletas alineado con el vector de curvatura (Figura 6.54). El rizo mide la tendencia de la rueda de paletas a girar.

Un diagrama de una pequeña rueda de paletas en el agua. Las flechas se dibujan rodeando el centro en un círculo en sentido contrario a las agujas del reloj. En el centro, la altura está etiquetada como n.
Figura 6.54 Para visualizar la curvatura en un punto, imagine que coloca una pequeña rueda de paletas en el campo vectorial en un punto.

Considere los campos vectoriales en la Figura 6.50. En la parte (a), el campo vectorial es constante y no hay giro en ningún punto. Por lo tanto, esperamos que el rizo del campo sea cero, y así es. La parte (b) muestra un campo rotacional, por lo que el campo tiene espín. En particular, si se coloca una rueda de paletas en un campo en cualquier punto de manera que el eje de la rueda sea perpendicular a un plano, la rueda gira en sentido contrario a las agujas del reloj. Por lo tanto, esperamos que el rizo del campo sea distinto de cero, y así es (el rizo es 2 k).2 k).

Para ver lo que mide el rizo globalmente, imagine que deja caer una hoja en el líquido. A medida que la hoja se mueve con el flujo de fluido, el rizo mide la tendencia de la hoja a girar. Si el rizo es cero, entonces la hoja no gira al desplazarse por el fluido.

Definición

Si los valores de F=P,Q,RF=P,Q,R es un campo vectorial en 3,3, y Px,Qy,Px,Qy, y RzRz existen, entonces el rizo de F está definido por

rizoF=(RyQz)i+(PzRx)j+(QxPy)k=(RyQz)i+(PzRx)j+(QxPy)k.rizoF=(RyQz)i+(PzRx)j+(QxPy)k=(RyQz)i+(PzRx)j+(QxPy)k.
(6.17)

Observe que el rizo de un campo vectorial es un campo vectorial, a diferencia de la divergencia.

La definición de rizo puede ser difícil de recordar. Para ayudar a recordar, utilizamos la notación ×F×F para representar un "determinante" que da la fórmula del rizo:

|ijkxyzPQR|.|ijkxyzPQR|.

El determinante de esta matriz es

(RyQz)i(RxPz)j+(QxPy)k=(RyQz)i+(PzRx)j+(QxPy)k=rizoF.(RyQz)i(RxPz)j+(QxPy)k=(RyQz)i+(PzRx)j+(QxPy)k=rizoF.

Por lo tanto, esta matriz es una forma de ayudar a recordar la fórmula del rizo. Sin embargo, hay que tener en cuenta que la palabra determinante se utiliza con mucha ligereza. Un determinante no está realmente definido en una matriz con entradas que son tres vectores, tres operadores y tres funciones.

Si los valores de F=P,QF=P,Q es un campo vectorial en 2 ,2 , entonces el rizo de F, por definición, es

rizoF=(QxPy)k=(QxPy)k.rizoF=(QxPy)k=(QxPy)k.

Ejemplo 6.52

Hallar el rizo de un campo vectorial tridimensional

Calcule el rizo de F(P,Q,R)=x2 z,ey+xz,xyz.F(P,Q,R)=x2 z,ey+xz,xyz.

Punto de control 6.43

Calcule el rizo de F=senxcosz,senysenz,cosxcosyF=senxcosz,senysenz,cosxcosy en el punto (0,π2 ,π2 ).(0,π2 ,π2 ).

Ejemplo 6.53

Hallar el rizo de un campo vectorial bidimensional

Calcule el rizo de F=P,Q=y,0.F=P,Q=y,0.

Observe que si F=P,QF=P,Q es un campo vectorial en un plano, entonces rizoF.k=(QxPy)k.k=QxPy.rizoF.k=(QxPy)k.k=QxPy. Por lo tanto, la forma de circulación del teorema de Green se escribe a veces como

CF.dr=DrizoF.kdA,CF.dr=DrizoF.kdA,

donde C es una curva cerrada y simple, D es la región encerrada por C. Por lo tanto, la forma de circulación del teorema de Green se puede escribir en términos del rizo. Si pensamos en el rizo como una especie de derivada, el teorema de Green dice que la "derivada" de F en una región puede traducirse en una integral de línea de F a lo largo del borde de la región. Esto es análogo al teorema fundamental del cálculo, en el que la derivada de una función ff en el segmento de línea [a,b][a,b] puede traducirse en una afirmación sobre ff en el borde de [a,b].[a,b]. Utilizando el rizo, podemos ver que la forma de circulación del teorema de Green es un análogo de dimensión superior del teorema fundamental del cálculo.

Ahora podemos utilizar lo que hemos aprendido sobre el rizo para demostrar que los campos gravitatorios no tienen "giro" Supongamos que hay un objeto en el origen con masa m1m1 en el origen y un objeto con masa m2 .m2 . Recordemos que la fuerza gravitacional que el objeto 1 ejerce sobre el objeto 2 viene dada por el campo

F(x,y,z)=Gm1m2 x(x2 +y2 +z2 )3/2 ,y(x2 +y2 +z2 )3/2 ,z(x2 +y2 +z2 )3/2 .F(x,y,z)=Gm1m2 x(x2 +y2 +z2 )3/2 ,y(x2 +y2 +z2 )3/2 ,z(x2 +y2 +z2 )3/2 .

Ejemplo 6.54

Determinar el giro de un campo gravitatorio

Demuestre que un campo gravitatorio no tiene espín.

Punto de control 6.44

El campo v(x,y)=yx2 +y2 ,xx2 +y2 v(x,y)=yx2 +y2 ,xx2 +y2 modela el flujo de un fluido. Demuestre que si deja caer una hoja en este fluido, a medida que la hoja se mueve en el tiempo, la hoja no gira.

Usar la divergencia y el rizo

Ahora que entendemos los conceptos básicos de divergencia y rizo, podemos discutir sus propiedades y establecer relaciones entre ellos y los campos vectoriales conservativos.

Si F es un campo vectorial en 3,3, entonces el rizo de F es también un campo vectorial en 3.3. Por lo tanto, podemos tomar la divergencia de un rizo. El siguiente teorema dice que el resultado es siempre cero. Este resultado es útil porque nos da una forma de demostrar que algunos campos vectoriales no son el rizo de ningún otro campo. Para dar a este resultado una interpretación física, recordemos que la divergencia de un campo de velocidad v en un punto P mide la tendencia del fluido correspondiente a fluir fuera de P. Puesto que divrizo(v)=0,divrizo(v)=0, la tasa neta de flujo en el campo vectorial rizo(v) en cualquier punto es cero. Tomar el rizo del campo vectorial F elimina cualquier divergencia que estuviera presente en F.

Teorema 6.16

Divergencia del rizo

Supongamos que F=P,Q,RF=P,Q,R es un campo vectorial en 33 de manera que las funciones componentes tengan todas derivadas parciales continuas de segundo orden. Entonces, divrizo(F)=.(×F)=0.divrizo(F)=.(×F)=0.

Prueba

Según las definiciones de divergencia y rizo, y el teorema de Clairaut,

div rizoF=div[(RyQz)i+(PzRx)j+(QxPy)k]=RyxQxz+PyzRyx+QzxPzy=0,div rizoF=div[(RyQz)i+(PzRx)j+(QxPy)k]=RyxQxz+PyzRyx+QzxPzy=0,

Ejemplo 6.55

Demostrar que un campo vectorial no es el rizo de otro

Demuestre que F(x,y,z)=exi+yzj+xz2 kF(x,y,z)=exi+yzj+xz2 k no es el rizo de otro campo vectorial. Es decir, demuestre que no existe ningún otro vector G con rizoG=F.rizoG=F.

Punto de control 6.45

¿Es posible que para que G(x,y,z)=senx,cosy,sen(xyz)G(x,y,z)=senx,cosy,sen(xyz) para ser el rizo de un campo vectorial?

Con los dos teoremas siguientes, demostramos que si F es un campo vectorial conservativo entonces su rizo es cero, y si el dominio de F es simplemente conectado entonces lo contrario también es cierto. Esto nos da otra forma de comprobar si un campo vectorial es conservador.

Teorema 6.17

Rizo de un campo vectorial conservativo

Si F=P,Q,RF=P,Q,R es conservativo, entonces rizoF=0.rizoF=0.

Prueba

Como los campos vectoriales conservativos satisfacen la propiedad de los parciales cruzados, todos los parciales cruzados de F son iguales. Por lo tanto,

rizoF=(RyQz)i+(PzRx)j+(QxPy)k=0,rizoF=(RyQz)i+(PzRx)j+(QxPy)k=0,

El mismo teorema es válido para los campos vectoriales en un plano.

Como un campo vectorial conservativo es el gradiente de una función escalar, el teorema anterior dice que rizo(f)=0rizo(f)=0 para cualquier función escalar f.f. En términos de nuestra notación de rizo, ×(f)=0.×(f)=0. Esta ecuación tiene sentido porque el producto vectorial de un vector consigo mismo es siempre el vector cero. A veces la ecuación ×(f)=0×(f)=0 se simplifica como ×=0.×=0.

Teorema 6.18

Prueba de rizo para un campo conservativo

Supongamos que F=P,Q,RF=P,Q,R es un campo vectorial en el espacio sobre un dominio simplemente conectado. Si los valores de rizoF=0,rizoF=0, entonces F es conservativo.

Prueba

Dado que rizoF=0,rizoF=0, tenemos que Ry=Qz,Pz=Rx,Ry=Qz,Pz=Rx, y Qx=Py.Qx=Py. Por lo tanto, F satisface la propiedad de los parciales cruzados en un dominio simplemente conectado, y la Propiedad parcial cruzada de los campos conservadores implica que F es conservativo.

El mismo teorema se cumple también en un plano. Por lo tanto, si F es un campo vectorial en un plano o en el espacio y el dominio es simplemente conectado, entonces F es conservativo si y solo si rizoF=0.rizoF=0.

Ejemplo 6.56

Comprobar si un campo vectorial es conservativo

Utilice el rizo para determinar si F(x,y,z)=yz,xz,xyF(x,y,z)=yz,xz,xy es conservativo.

Hemos visto que el rizo de un gradiente es cero. ¿Qué es la divergencia de un gradiente? Si los valores de ff es una función de dos variables, entonces div(f)=.(f)=fxx+fyy.div(f)=.(f)=fxx+fyy. Abreviamos este "producto escalar doble" como 2 .2 . Este operador se llama Operador de Laplace y en esta notación la ecuación de Laplace se convierteen 2 f=0.2 f=0. Por lo tanto, la función armónica es la que se hace cero después de tomar la divergencia de un gradiente.

Del mismo modo, si ff es una función de tres variables, entonces

div(f)=.(f)=fxx+fyy+fzz.div(f)=.(f)=fxx+fyy+fzz.

Utilizando esta notación obtenemos la ecuación de Laplace para funciones armónicas de tres variables:

2 f=0.2 f=0.

Las funciones armónicas aparecen en muchas aplicaciones. Por ejemplo, la función potencial de un campo electrostático en una región del espacio que no tiene carga estática es armónica.

Ejemplo 6.57

Analizar una función

¿Es posible que para que f(x,y)=x2 +xyf(x,y)=x2 +xy sea la función potencial de un campo electrostático que se encuentra en una región de 2 2 libre de carga estática?

Punto de control 6.46

¿Es posible que la función f(x,y)=x2 y2 +xf(x,y)=x2 y2 +x sea la función potencial de un campo electrostático situado en una región de 2 2 libre de carga estática?

Sección 6.5 ejercicios

En los siguientes ejercicios, determine si la afirmación es verdadera o falsa.

206.

Si las funciones de coordenadas de F:33F:33 tienen segundas derivadas parciales continuas, entonces rizo(div(F))rizo(div(F)) son iguales a cero.

207.

. ( x i + y j + z k ) = 1 . . ( x i + y j + z k ) = 1 .

208.

Todos los campos vectoriales de la forma F(x,y,z)=f(x)i+g(y)j+h(z)kF(x,y,z)=f(x)i+g(y)j+h(z)k son conservativos.

209.

Si los valores de rizoF=0,rizoF=0, entonces F es conservativo.

210.

Si F es un campo vectorial constante, entonces divF=0.divF=0.

211.

Si F es un campo vectorial constante, entonces rizoF=0.rizoF=0.

En los siguientes ejercicios, halle el rizo de F.

212.

F ( x , y , z ) = x y 2 z 4 i + ( 2 x 2 y + z ) j + y 3 z 2 k F ( x , y , z ) = x y 2 z 4 i + ( 2 x 2 y + z ) j + y 3 z 2 k

213.

F ( x , y , z ) = x 2 z i + y 2 x j + ( y + 2 z ) k F ( x , y , z ) = x 2 z i + y 2 x j + ( y + 2 z ) k

214.

F ( x , y , z ) = 3 x y z 2 i + y 2 sen z j + x e 2 z k F ( x , y , z ) = 3 x y z 2 i + y 2 sen z j + x e 2 z k

215.

F ( x , y , z ) = x 2 y z i + x y 2 z j + x y z 2 k F ( x , y , z ) = x 2 y z i + x y 2 z j + x y z 2 k

216.

F ( x , y , z ) = ( x cos y ) i + x y 2 j F ( x , y , z ) = ( x cos y ) i + x y 2 j

217.

F ( x , y , z ) = ( x y ) i + ( y z ) j + ( z x ) k F ( x , y , z ) = ( x y ) i + ( y z ) j + ( z x ) k

218.

F ( x , y , z ) = x y z i + x 2 y 2 z 2 j + y 2 z 3 k F ( x , y , z ) = x y z i + x 2 y 2 z 2 j + y 2 z 3 k

219.

F ( x , y , z ) = x y i + y z j + x z k F ( x , y , z ) = x y i + y z j + x z k

220.

F ( x , y , z ) = x 2 i + y 2 j + z 2 k F ( x , y , z ) = x 2 i + y 2 j + z 2 k

221.

F(x,y,z)=axi+byj+ckF(x,y,z)=axi+byj+ck para las constantes a, b, c

En los siguientes ejercicios, halle la divergencia de F.

222.

F ( x , y , z ) = x 2 z i + y 2 x j + ( y + 2 z ) k F ( x , y , z ) = x 2 z i + y 2 x j + ( y + 2 z ) k

223.

F ( x , y , z ) = 3 x y z 2 i + y 2 sen z j + x e 2 z k F ( x , y , z ) = 3 x y z 2 i + y 2 sen z j + x e 2 z k

224.

F ( x , y ) = ( sen x ) i + ( cos y ) j F ( x , y ) = ( sen x ) i + ( cos y ) j

225.

F ( x , y , z ) = x 2 i + y 2 j + z 2 k F ( x , y , z ) = x 2 i + y 2 j + z 2 k

226.

F ( x , y , z ) = ( x y ) i + ( y z ) j + ( z x ) k F ( x , y , z ) = ( x y ) i + ( y z ) j + ( z x ) k

227.

F ( x , y ) = x x 2 + y 2 i + y x 2 + y 2 j F ( x , y ) = x x 2 + y 2 i + y x 2 + y 2 j

228.

F ( x , y ) = x i y j F ( x , y ) = x i y j

229.

F(x,y,z)=axi+byj+ckF(x,y,z)=axi+byj+ck para las constantes a, b, c

230.

F ( x , y , z ) = x y z i + x 2 y 2 z 2 j + y 2 z 3 k F ( x , y , z ) = x y z i + x 2 y 2 z 2 j + y 2 z 3 k

231.

F ( x , y , z ) = x y i + y z j + x z k F ( x , y , z ) = x y i + y z j + x z k

En los siguientes ejercicios, determine si cada una de las funciones escalares dadas es armónica.

232.

u(x,y,z)=ex(cosyseny)u(x,y,z)=ex(cosyseny) grandes.

233.

w ( x , y , z ) = ( x 2 + y 2 + z 2 ) 1 / 2 w ( x , y , z ) = ( x 2 + y 2 + z 2 ) 1 / 2

234.

Si los valores de F(x,y,z)=2 i+2 xj+3ykF(x,y,z)=2 i+2 xj+3yk y G(x,y,z)=xiyj+zk,G(x,y,z)=xiyj+zk, calcule rizo(F×G).rizo(F×G).

235.

Si los valores de F(x,y,z)=2 i+2 xj+3ykF(x,y,z)=2 i+2 xj+3yk y G(x,y,z)=xiyj+zk,G(x,y,z)=xiyj+zk, calcule div(F×G).div(F×G).

236.

Halle divF,divF, dado que F=f,F=f, donde f(x,y,z)=xy3z2 .f(x,y,z)=xy3z2 .

237.

Halle la divergencia de F para el campo vectorial F(x,y,z)=(y2 +z2 )(x+y)i+(z2 +x2 )(y+z)j+(x2 +y2 )(z+x)k.F(x,y,z)=(y2 +z2 )(x+y)i+(z2 +x2 )(y+z)j+(x2 +y2 )(z+x)k.

238.

Halle la divergencia de F para el campo vectorial F(x,y,z)=f1(y,z)i+f2 (x,z)j+f3(x,y)k.F(x,y,z)=f1(y,z)i+f2 (x,z)j+f3(x,y)k.

En los siguientes ejercicios, utilice r=|r|r=|r| y r=(x,y,z).r=(x,y,z).

239.

Halle las intersecciones en rizor.rizor.

240.

Halle las intersecciones en rizorr.rizorr.

241.

Halle las intersecciones en rizorr3.rizorr3.

242.

Supongamos que F(x,y)=yi+xjx2 +y2 ,F(x,y)=yi+xjx2 +y2 , donde F se define en {(x,y)|(x,y)(0,0)}.{(x,y)|(x,y)(0,0)}. Halle rizoF.rizoF.

En los siguientes ejercicios, utilice un sistema de álgebra computacional para hallar el rizo de los campos vectoriales dados.

243.

[T] F(x,y,z)=arctan(xy)i+lnx2 +y2 j+kF(x,y,z)=arctan(xy)i+lnx2 +y2 j+k

244.

[T] F(x,y,z)=sen(xy)i+sen(yz)j+sen(zx)kF(x,y,z)=sen(xy)i+sen(yz)j+sen(zx)k

En los siguientes ejercicios, halle la divergencia de F en el punto dado.

245.

F(x,y,z)=i+j+kF(x,y,z)=i+j+k a las (2 ,–1,3)(2 ,–1,3) grandes.

246.

F(x,y,z)=xyzi+yj+zkF(x,y,z)=xyzi+yj+zk a las (1,2 ,3)(1,2 ,3) grandes.

247.

F(x,y,z)=exyi+exzj+eyzkF(x,y,z)=exyi+exzj+eyzk a las (3,2 ,0)(3,2 ,0) grandes.

248.

F(x,y,z)=xyzi+yj+zkF(x,y,z)=xyzi+yj+zk en (1, 2, 1)

249.

F(x,y,z)=exsenyiexcosyjF(x,y,z)=exsenyiexcosyj en (0, 0, 3)

En los siguientes ejercicios, halle el rizo de F en el punto dado.

250.

F(x,y,z)=i+j+kF(x,y,z)=i+j+k a las (2 ,–1,3)(2 ,–1,3) grandes.

251.

F(x,y,z)=xyzi+yj+xkF(x,y,z)=xyzi+yj+xk a las (1,2 ,3)(1,2 ,3) grandes.

252.

F(x,y,z)=exyi+exzj+eyzkF(x,y,z)=exyi+exzj+eyzk en (3, 2, 0)

253.

F(x,y,z)=xyzi+yj+zkF(x,y,z)=xyzi+yj+zk en (1, 2, 1)

254.

F(x,y,z)=exsenyiexcosyjF(x,y,z)=exsenyiexcosyj en (0, 0, 3)

255.

Supongamos que F(x,y,z)=(3x2 y+az)i+x3j+(3x+3z2 )k.F(x,y,z)=(3x2 y+az)i+x3j+(3x+3z2 )k. ¿Para qué valor de a es F conservativo?

256.

Dado el campo vectorial F(x,y)=1x2 +y2 (y,x)F(x,y)=1x2 +y2 (y,x) en el dominio D=2 {(0,0)}={(x,y)2 |(x,y)(0,0)},D=2 {(0,0)}={(x,y)2 |(x,y)(0,0)}, ¿es F conservativo?

257.

Dado el campo vectorial F(x,y)=1x2 +y2 (x,y)F(x,y)=1x2 +y2 (x,y) en el dominio D=2 {(0,0)},D=2 {(0,0)}, ¿es F conservativo?

258.

Calcule el trabajo realizado por el campo de fuerza F(x,y)=eyixeyjF(x,y)=eyixeyj al desplazar un objeto desde P(0, 1) hasta Q(2, 0). ¿El campo de fuerza es conservativo?

259.

Calcule la divergencia F=(senohx)i+(coshy)jxyzk.F=(senohx)i+(coshy)jxyzk.

260.

Calcule el rizo F=(senohx)i+(coshy)jxyzk.F=(senohx)i+(coshy)jxyzk.

En los siguientes ejercicios, considere un cuerpo rígido que está girando alrededor del eje x en sentido contrario a las agujas del reloj con velocidad angular constante ω=a,b,c.ω=a,b,c. Si P es un punto del cuerpo situado en r=xi+yj+zk,r=xi+yj+zk, la velocidad en P viene dada por el campo vectorial F=ω×r.F=ω×r.

Diagrama tridimensional de un objeto que gira alrededor del eje x en sentido contrario a las agujas del reloj con velocidad angular constante w = <a,b,c>. El objeto es más o menos una esfera con extremos puntiagudos en el eje x, que lo corta por la mitad. Se dibuja una flecha r desde (0,0,0) hasta P(x,y,z) y hacia abajo desde P(x,y,z) hasta el eje x.
261.

Exprese F en términos de los vectores i, j y k.

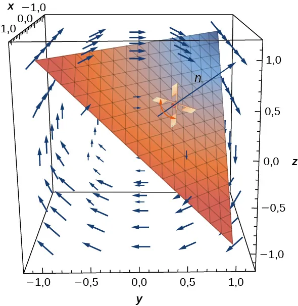
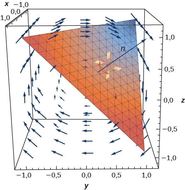
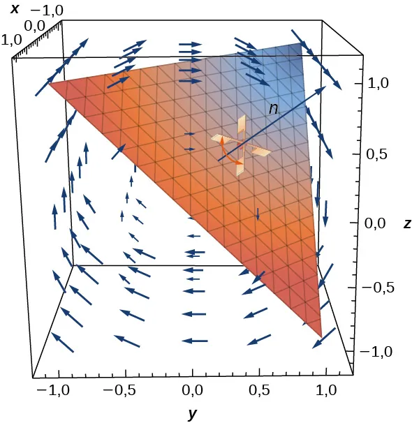
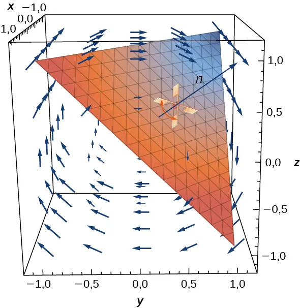
262.

Halle divF.divF.

263.

Halle rizoFrizoF

En los siguientes ejercicios, supongamos que .F=0.F=0 y .G=0..G=0.

264.

¿Existe F+GF+G tiene necesariamente una divergencia cero?

265.

¿Existe F×GF×G tiene necesariamente una divergencia cero?

En los siguientes ejercicios, supongamos un objeto sólido en 33 tiene una distribución de temperatura dada por T(x,y,z).T(x,y,z). El campo vectorial del flujo de calor en el objeto es F=kT,F=kT, donde k>0k>0 es una propiedad del material. El vector de flujo de calor apunta en la dirección opuesta a la del gradiente, que es la dirección de mayor disminución de la temperatura. La divergencia del vector de flujo de calor es .F=k.T=k2 T..F=k.T=k2 T.

266.

Calcule el campo vectorial del flujo de calor.

267.

Calcule la divergencia.

268.

[T] Considere el campo de velocidad rotacional v=0,10z,−10y.v=0,10z,−10y. Si se coloca una rueda de paletas en el plano x+y+z=1x+y+z=1 con su eje normal a este plano, utilizando un sistema de álgebra computacional, calcule la velocidad de giro de la rueda de paletas en revoluciones por unidad de tiempo.

Diagrama tridimensional de un campo de velocidad de rotación. Las flechas muestran una rotación en el sentido de las agujas del reloj. Se muestra una rueda de paletas en el plano x + y + z = 1 con n extendida hacia fuera perpendicularmente al plano.
Cita/Atribución

Este libro no puede ser utilizado en la formación de grandes modelos de lenguaje ni incorporado de otra manera en grandes modelos de lenguaje u ofertas de IA generativa sin el permiso de OpenStax.

¿Desea citar, compartir o modificar este libro? Este libro utiliza la Creative Commons Attribution-NonCommercial-ShareAlike License y debe atribuir a OpenStax.

Información de atribución
  • Si redistribuye todo o parte de este libro en formato impreso, debe incluir en cada página física la siguiente atribución:
    Acceso gratis en https://openstax.org/books/c%C3%A1lculo-volumen-3/pages/1-introduccion
  • Si redistribuye todo o parte de este libro en formato digital, debe incluir en cada vista de la página digital la siguiente atribución:
    Acceso gratuito en https://openstax.org/books/c%C3%A1lculo-volumen-3/pages/1-introduccion
Información sobre citas

© 2 mar. 2022 OpenStax. El contenido de los libros de texto que produce OpenStax tiene una licencia de Creative Commons Attribution-NonCommercial-ShareAlike License . El nombre de OpenStax, el logotipo de OpenStax, las portadas de libros de OpenStax, el nombre de OpenStax CNX y el logotipo de OpenStax CNX no están sujetos a la licencia de Creative Commons y no se pueden reproducir sin el previo y expreso consentimiento por escrito de Rice University.