Omitir e ir al contenidoIr a la página de accesibilidadMenú de atajos de teclado
Logo de OpenStax
Química: Comenzando con los átomos 2ed

17.6 Mecanismos de reacción

Química: Comenzando con los átomos 2ed17.6 Mecanismos de reacción
Buscar términos clave o texto.

Objetivos de aprendizaje

Al final de esta sección, podrá:

  • Distinguir las reacciones netas de las reacciones elementales (pasos)
  • Identificar la molecularidad de las reacciones elementales
  • Escribir una ecuación química balanceada para un proceso dado su mecanismo de reacción
  • Deducir la ley de velocidad consistente con un mecanismo de reacción dado

Las reacciones químicas se producen muy a menudo de forma escalonada, con dos o más reacciones distintas que tienen lugar en secuencia. Una ecuación balanceada indica lo que está reaccionando y lo que se produce, pero no revela ningún detalle sobre cómo se produce realmente la reacción. El mecanismo de reacción (o ruta de reacción) proporciona detalles sobre el proceso preciso, paso a paso, por el que se produce una reacción.

La descomposición del ozono, por ejemplo, parece seguir un mecanismo con dos pasos:

O3(g)O2(g)+OO+O3(g)2O2(g)O3(g)O2(g)+OO+O3(g)2O2(g)

Cada uno de los pasos de un mecanismo de reacción es una reacción elemental. Estas reacciones elementales ocurren precisamente como se representan en las ecuaciones de los pasos, y se deben sumar para obtener la ecuación química balanceada que representa la reacción global:

2O3(g)3O2(g)2O3(g)3O2(g)

Observe que el átomo de oxígeno producido en el primer paso de este mecanismo se consume en el segundo paso y, por tanto, no aparece como producto en la reacción global. Las especies que se producen en una etapa y se consumen en una etapa posterior se denominan intermedios.

Aunque la ecuación de reacción global para la descomposición del ozono indica que dos moléculas de ozono reaccionan para producir tres moléculas de oxígeno, el mecanismo de la reacción no implica la colisión y reacción directa de dos moléculas de ozono. En cambio, una molécula de O3 se descompone para producir O2 y un átomo de oxígeno, y una segunda molécula de O3 reacciona posteriormente con el átomo de oxígeno para producir otras dos moléculas de O2.

A diferencia de las ecuaciones balanceadas que representan una reacción global, las ecuaciones de las reacciones elementales son representaciones explícitas del cambio químico que se lleva a cabo. Los reactivos en la ecuación de una reacción elemental solo sufren los eventos de ruptura o creación de enlaces descritos para obtener los productos. Por esta razón, la ley de velocidad de una reacción elemental se puede deducir directamente de la ecuación química balanceada que describe la reacción. Este no es el caso de las reacciones químicas típicas, cuyas leyes de velocidad solo se pueden determinar de forma fiable mediante la experimentación.

Reacciones elementales unimoleculares

La molecularidad de una reacción elemental es el número de especies de reactivos (átomos, moléculas o iones). Por ejemplo, una reacción unimolecular implica la reacción de una sola especie de reactivo para producir una o más moléculas de producto:

AproductosAproductos

La ley de velocidad para una reacción unimolecular es de primer orden:

velocidad=k[A]velocidad=k[A]

Una reacción unimolecular puede ser una de varias reacciones elementales en un mecanismo complejo. Por ejemplo, la reacción:

O3O2+OO3O2+O

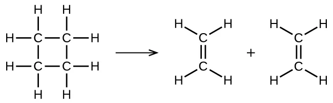
ilustra una reacción elemental unimolecular que se produce como una parte de un mecanismo de reacción de dos pasos, como se ha descrito anteriormente. Sin embargo, algunas reacciones unimoleculares pueden ser el único paso de un mecanismo de reacción de un solo paso (en otras palabras, una reacción "global" puede ser también una reacción elemental en algunos casos). Por ejemplo, la descomposición en fase gaseosa del ciclobutano, C4H8, en etileno, C2H4, se representa mediante la siguiente ecuación química:

En esta figura se utilizan fórmulas estructurales para ilustrar una reacción química. A la izquierda se muestra la fórmula estructural del ciclobutano. Esta estructura está compuesta por 4 átomos de C conectados con enlaces simples en forma de cuadrado. Cada átomo de C está unido a otros dos átomos de C en la estructura, dejando dos enlaces para los átomos de H que apuntan hacia fuera por encima, por debajo, a la izquierda y a la derecha. Una flecha señala a la derecha dos moléculas idénticas de etano con un símbolo + entre ellas. Cada una de estas moléculas contiene dos átomos de C conectados con un doble enlace orientado verticalmente entre ellos. El átomo de C en la parte superior de estas moléculas tiene átomos de H unidos por encima a la derecha y a la izquierda. Del mismo modo, el átomo de C inferior tiene dos átomos de H unidos por debajo a la derecha y a la izquierda.

Esta ecuación representa la reacción global observada y también podría representar una reacción elemental unimolecular legítima. La ley de velocidad predicha a partir de esta ecuación, asumiendo que se trata de una reacción elemental, resulta ser la misma que la ley de velocidad que se dedujo experimentalmente para la reacción global, es decir, una que muestra un comportamiento de primer orden:

velocidad=Δ[C4H8]Δt=k[C4H8]velocidad=Δ[C4H8]Δt=k[C4H8]

Este acuerdo entre las leyes de velocidad observadas y predichas se interpreta que el proceso unimolecular de un solo paso propuesto es un mecanismo razonable para la reacción del butadieno.

Reacciones elementales bimoleculares

Una reacción bimolecular implica dos especies de reactivos, por ejemplo:

A+Bproductosy2AproductosA+Bproductosy2Aproductos

Para el primer tipo, en el que las dos moléculas de reactivos son diferentes, la ley de velocidad es de primer orden en A y de primer orden en B (de segundo orden global):

velocidad=k[A][B]velocidad=k[A][B]

Para el segundo tipo, en el que dos moléculas idénticas chocan y reaccionan, la ley de velocidad es de segundo orden en A:

velocidad=k[A][A]=k[A]2velocidad=k[A][A]=k[A]2

Algunas reacciones químicas se producen por mecanismos que consisten en una única reacción elemental bimolecular. Un ejemplo es la reacción del dióxido de nitrógeno con el monóxido de carbono:

NO2(g)+CO(g)NO(g)+CO2(g)NO2(g)+CO(g)NO(g)+CO2(g)

(vea la Figura 17.17)

Esta figura proporciona una ilustración de una reacción entre dos moléculas de H I utilizando modelos moleculares de espacio lleno. Los átomos de H se muestran como esferas blancas y los átomos de I se muestran como esferas púrpura. A la izquierda, se muestran dos moléculas de H I con una pequeña esfera blanca unida a una esfera púrpura mucho mayor. La etiqueta "Dos moléculas H I" aparece debajo. Una flecha señala a la derecha una estructura similar en la que las dos moléculas aparecen empujadas, de modo que las esferas púrpura de las dos moléculas se tocan. Debajo aparece la etiqueta "Estado de transición". Tras otra flecha, se muestran dos esferas blancas orientadas verticalmente y unidas entre sí con la etiqueta "H subíndice 2" encima. La molécula H subíndice 2 va seguida de un signo de suma y de dos esferas púrpuras unidas con la etiqueta "I subíndice 2" arriba. Debajo de estas estructuras está la etiqueta "Las moléculas de yoduro de hidrógeno se descomponen para producir hidrógeno H subíndice 2 y yodo I subíndice 2".
Figura 17.17 El mecanismo probable de la reacción entre NO2 y CO para producir NO y CO2.

Las reacciones elementales bimoleculares también pueden participar como pasos en un mecanismo de reacción de varios pasos. La reacción del oxígeno atómico con el ozono es el segundo paso del mecanismo de descomposición del ozono en dos etapas que se ha comentado anteriormente en esta sección:

O(g)+O3(g)2O2(g)O(g)+O3(g)2O2(g)

Reacciones elementales termoleculares

Una reacción elemental termolecular implica la colisión simultánea de tres átomos, moléculas o iones. Las reacciones elementales termoleculares son poco comunes porque la probabilidad de que tres partículas colisionen simultáneamente es inferior a una milésima parte de la probabilidad de que dos partículas colisionen. Sin embargo, existen algunas reacciones elementales termoleculares establecidas. La reacción del óxido nítrico con el oxígeno parece implicar pasos termoleculares:

2NO+O22NO2velocidad=k[NO]2[O2]2NO+O22NO2velocidad=k[NO]2[O2]

Así mismo, la reacción del óxido nítrico con el cloro parece implicar pasos termoleculares:

2NO+Cl22NOClvelocidad=k[NO]2[Cl2]2NO+Cl22NOClvelocidad=k[NO]2[Cl2]

Relacionar los mecanismos de reacción con las leyes de velocidad

A menudo ocurre que un paso en un mecanismo de reacción de varios pasos es significativamente más lento que los demás. Dado que una reacción no puede avanzar más rápido que su paso más lento, este paso limitará la velocidad a la que se produce la reacción global. Por lo tanto, el paso más lento se denomina paso limitante de la velocidad (o paso determinante de la velocidad) de la reacción Figura 17.18.

Se muestra una foto de ganado que pasa por una rampa estrecha a un corral de retención. Una persona lo dirige a través de la puerta con un palo blanco y rojo largo.
Figura 17.18 Una rampa para el ganado es un ejemplo no químico de un paso determinante de la velocidad. El ganado solo puede trasladarse de un corral a otro con la misma rapidez con la que un animal puede pasar por la rampa (créditos: Loren Kerns).

Como se ha descrito anteriormente, las leyes de velocidad pueden deducirse directamente de las ecuaciones químicas de las reacciones elementales. Sin embargo, este no es el caso de las reacciones químicas ordinarias. Las ecuaciones balanceadas que se encuentran con más frecuencia representan el cambio global de algún sistema químico y muy a menudo este es el resultado de algunos mecanismos de reacción de varios pasos. En todos los casos, la ley de velocidad debe determinarse a partir de datos experimentales y el mecanismo de reacción debe deducirse posteriormente a partir de la ley de velocidad (y a veces de otros datos). La reacción de NO2 y CO es un ejemplo ilustrativo:

NO2(g)+CO(g)CO2(g)+NO(g)NO2(g)+CO(g)CO2(g)+NO(g)

Para temperaturas superiores a 225 °C, se ha determinado que la ley de velocidad es:

velocidad=k[NO2][CO]velocidad=k[NO2][CO]

La reacción es de primer orden con respecto al NO2 y de primer orden con respecto al CO. Esto es consistente con un mecanismo bimolecular de un solo paso y es posible que este sea el mecanismo para esta reacción a altas temperaturas.

A temperaturas inferiores a 225 °C, la reacción se describe mediante una ley de velocidad que es de segundo orden con respecto al NO2:

velocidad=k[NO2]2velocidad=k[NO2]2

Esta ley de velocidad no es consistente con el mecanismo de un solo paso, pero sí con el siguiente mecanismo de dos pasos:

NO2(g)+NO2(g)NO3(g)+NO(g)(lento)NO3(g)+CO(g)NO2(g)+CO2(g)(rápido)NO2(g)+NO2(g)NO3(g)+NO(g)(lento)NO3(g)+CO(g)NO2(g)+CO2(g)(rápido)

El paso determinante de la velocidad (más lento) da una ley de velocidad que muestra una dependencia de segundo orden de la concentración de NO2, y la suma de las dos ecuaciones da la reacción global neta.

En general, cuando el paso determinante de la velocidad (más lento) es el primer paso de un mecanismo, la ley de velocidad para la reacción global es la misma que la ley de velocidad para este paso. Sin embargo, cuando el paso determinante de la velocidad está precedido por un paso que implica una reacción rápidamente reversible, la ley de velocidad para la reacción global puede ser más difícil de deducir.

Como se ha comentado en varios capítulos de este texto, una reacción reversible se encuentra en equilibrio cuando las velocidades de los procesos directos e inversos son iguales. Consideremos la reacción elemental reversible en la que el NO se dimeriza para obtener una especie intermedia N2O2. Cuando esta reacción está en equilibrio:

NO+NON2O2velocidaddirecta=velocidadinversak1[NO]2 =k-1[N2O2]NO+NON2O2velocidaddirecta=velocidadinversak1[NO]2 =k-1[N2O2]

Esta expresión se puede reordenar para expresar la concentración del intermedio en términos del reactivo NO:

(k1[NO]2k-1)=[N2O2](k1[NO]2k-1)=[N2O2]

Dado que las concentraciones de las especies intermedias no se utilizan en la formulación de las leyes de velocidad para las reacciones globales, este enfoque es a veces necesario, como se ilustra en el siguiente ejercicio de ejemplo.

Ejemplo 17.14

Derivación de una ley de velocidad a partir de un mecanismo de reacción

Se ha propuesto el siguiente mecanismo de dos pasos para una reacción entre el monóxido de nitrógeno y el cloro molecular:
Paso 1:NO(g)+Cl2(g)NOCl2(g)rápido Paso 2:NOCl2(g)+NO(g)2NOCl(g)lentoPaso 1:NO(g)+Cl2(g)NOCl2(g)rápido Paso 2:NOCl2(g)+NO(g)2NOCl(g)lento

Utilice este mecanismo para deducir la ecuación y la ley de velocidad prevista para la reacción global.

Solución

La ecuación de la reacción global se obtiene sumando las dos reacciones elementales:
2NO(g)+Cl2(g)2NOCl(g)2NO(g)+Cl2(g)2NOCl(g)

Para deducir una ley de velocidad de este mecanismo, primero escriba las leyes de velocidad para cada uno de los dos pasos.

velocidad1=k1[NO][Cl2]para la reacción directa del paso 1velocidad-1=k-1[NOCl2]para la reacción inversa del paso 1velocidad2=k2 [NOCl2][NO]para el paso 2velocidad1=k1[NO][Cl2]para la reacción directa del paso 1velocidad-1=k-1[NOCl2]para la reacción inversa del paso 1velocidad2=k2 [NOCl2][NO]para el paso 2

El paso 2 es el que determina la velocidad, por lo que la ley de velocidad para la reacción global debe ser la misma que para este paso. Sin embargo, la ley de velocidad del paso 2, tal como está escrita, contiene una concentración de especie intermedia, [NOCl2]. Para remediar esto, utilice las leyes de velocidad del primer paso para deducir una expresión para la concentración intermedia en términos de las concentraciones de los reactivos.

Asumiendo que el paso 1 está en equilibrio:

velocidad1=velocidad-1 k1[NO][Cl2]=k-1[NOCl2] [NOCl2]=(k1k-1)[NO][Cl2]velocidad1=velocidad-1 k1[NO][Cl2]=k-1[NOCl2] [NOCl2]=(k1k-1)[NO][Cl2]

Sustituyendo esta expresión en la ley de velocidad del paso 2 se obtiene:

velocidad2=velocidadglobal=(k2 k1k-1)[NO]2[Cl2]velocidad2=velocidadglobal=(k2 k1k-1)[NO]2[Cl2]

Compruebe lo aprendido

El primer paso de un mecanismo propuesto de varios pasos es:
F2(g)2F(g)rápidoF2(g)2F(g)rápido

Deduzca la ecuación que relaciona la concentración de flúor atómico con la concentración de flúor molecular.

Respuesta:

[F]=(k1[F2]k-1)1/2[F]=(k1[F2]k-1)1/2

Cita/Atribución

Este libro no puede ser utilizado en la formación de grandes modelos de lenguaje ni incorporado de otra manera en grandes modelos de lenguaje u ofertas de IA generativa sin el permiso de OpenStax.

¿Desea citar, compartir o modificar este libro? Este libro utiliza la Creative Commons Attribution License y debe atribuir a OpenStax.

Información de atribución
  • Si redistribuye todo o parte de este libro en formato impreso, debe incluir en cada página física la siguiente atribución:
    Acceso gratis en https://openstax.org/books/qu%C3%ADmica-comenzando-%C3%A1tomos-2ed/pages/1-introduccion
  • Si redistribuye todo o parte de este libro en formato digital, debe incluir en cada vista de la página digital la siguiente atribución:
    Acceso gratuito en https://openstax.org/books/qu%C3%ADmica-comenzando-%C3%A1tomos-2ed/pages/1-introduccion
Información sobre citas

© 19 may. 2022 OpenStax. El contenido de los libros de texto que produce OpenStax tiene una licencia de Creative Commons Attribution License . El nombre de OpenStax, el logotipo de OpenStax, las portadas de libros de OpenStax, el nombre de OpenStax CNX y el logotipo de OpenStax CNX no están sujetos a la licencia de Creative Commons y no se pueden reproducir sin el previo y expreso consentimiento por escrito de Rice University.