Omitir e ir al contenidoIr a la página de accesibilidadMenú de atajos de teclado
Logo de OpenStax
Buscar términos clave o texto.

Objetivos de aprendizaje

Al final de esta sección, podrá:

  • Predecir si una solución salina será ácida, básica o neutra
  • Calcular las concentraciones de las distintas especies en una solución salina
  • Describir la ionización ácida de los iones metálicos hidratados

Sales con iones ácidos

Las sales son compuestos iónicos formados por cationes y aniones, cualquiera de los cuales puede sufrir una reacción de ionización ácida o básica con el agua. Por lo tanto, las soluciones salinas acuosas pueden ser ácidas, básicas o neutras, dependiendo de la fuerza ácido-base relativa de los iones constituyentes de la sal. Por ejemplo, al disolver el cloruro de amonio en agua se produce su disociación, descrita por la ecuación

NH 4 Cl(s) NH 4 + (aq)+ Cl (aq) NH 4 Cl(s) NH 4 + (aq)+ Cl (aq)

El ion de amonio es el ácido conjugado de la base amoníaco, NH3; su reacción de ionización ácida (o hidrólisis ácida) está representada por

NH4+(aq)+H2O(l)H3O+(aq)+NH3(aq)Ka=Kw/KbNH4+(aq)+H2O(l)H3O+(aq)+NH3(aq)Ka=Kw/Kb

Como el amoníaco es una base débil, Kb es medible y Ka > 0 (el ion de amonio es un ácido débil).

El ion de cloruro es la base conjugada del ácido clorhídrico, por lo que su reacción de ionización de la base (o hidrólisis de la base) viene representada por

Cl (aq)+ H 2 O(l)HCl(aq)+ OH (aq) K b = K w / K a Cl (aq)+ H 2 O(l)HCl(aq)+ OH (aq) K b = K w / K a

Como el HCl es un ácido fuerte, Ka es inmensurablemente grande y Kb ≈ 0 (los iones de cloruro no sufren una hidrólisis apreciable).

Así, al disolver el cloruro de amonio en agua se obtiene una solución de cationes ácidos débiles (NH4+NH4+) y aniones inertes (Cl), dando lugar a una solución ácida.

Ejemplo 14.15

Cálculo del pH de una solución salina ácida

La anilina es una amina que se utiliza para fabricar tintes. Se aísla como cloruro de anilinio, [C6H5NH3]Cl,[C6H5NH3]Cl, una sal preparada por la reacción de la base débil anilina y el ácido clorhídrico. ¿Cuál es el pH de una solución 0,233 M de cloruro de anilinio
C6H5NH3+(aq)+H2O(l)H3O+(aq)+C6H5NH2(aq)C6H5NH3+(aq)+H2O(l)H3O+(aq)+C6H5NH2(aq)

Solución

La Ka para el ion de anilinio se deduce de la Kb para su base conjugada, la anilina (vea el Apéndice H):
Ka=KwKb=1,0×10-144,3×10-10=2,3×10-5Ka=KwKb=1,0×10-144,3×10-10=2,3×10-5

A partir de la información proporcionada, se prepara una tabla ICE para este sistema:

Esta tabla tiene dos columnas principales y cuatro filas. La primera fila de la primera columna no tiene encabezamiento y luego dice lo siguiente en la primera columna: Concentración inicial ( M ), Cambio ( M ), Equilibrio ( M ). La segunda columna tiene el encabezado "C subíndice 6 H subíndice 5 N H subíndice 3 superíndice signo positivo más H subíndice 2 O signo de equilibrio C subíndice 6 H subíndice 5 N H subíndice 2 más H subíndice 3 O superíndice signo positivo". Bajo la segunda columna hay un subgrupo de cuatro columnas y tres filas. La primera columna contiene lo siguiente: 0,233, x negativo, 0,233 menos x. Las tres filas de la segunda columna están en blanco. La tercera columna contiene lo siguiente: 0, x positivo, x. La cuarta columna contiene lo siguiente: aproximadamente 0, x positivo, x.

Sustituyendo estos términos de concentración de equilibrio en la expresión Ka se obtiene

K a =[ C 6 H 5 NH 2 ][ H 3 O + ]/[ C 6 H 5 NH 3 + ] 2,3× 10 5 =(x)(x)/0,233x) K a =[ C 6 H 5 NH 2 ][ H 3 O + ]/[ C 6 H 5 NH 3 + ] 2,3× 10 5 =(x)(x)/0,233x)

Suponiendo que x << 0,233, la ecuación se simplifica y se resuelve para x:

2,3× 10 5 = x 2 /0,233 x=0,0023M 2,3× 10 5 = x 2 /0,233 x=0,0023M

La tabla ICE define x como la molaridad del ion de hidronio, por lo que el pH se calcula como

pH=log[ H 3 O + ]=log(0,0023)=2,64 pH=log[ H 3 O + ]=log(0,0023)=2,64

Compruebe su aprendizaje

¿Cuál es la concentración de iones de hidronio en una solución 0,100-M de nitrato de amonio, NH4NO3, una sal compuesta por los iones de NH4+NH4+ y NO3.NO3. ¿Cuál es el ácido más fuerte C6H5NH3+C6H5NH3+ o NH4+?NH4+?

Respuesta:

[H3O+] = 7,5 ×× 10−6 M; C6H5NH3+C6H5NH3+ es el ácido más fuerte.

Sales con iones básicos

Otro ejemplo es la disolución de acetato de sodio en agua:

NaCH 3 CO 2 (s)Na+(aq)+ CH 3 CO 2 (aq) NaCH 3 CO 2 (s)Na+(aq)+ CH 3 CO 2 (aq)

El ion de sodio no sufre una ionización ácida o básica apreciable y no tiene ningún efecto sobre el pH de la solución. Esto puede parecer obvio a partir de la fórmula del ion, que indica que no hay átomos de hidrógeno ni de oxígeno, pero algunos iones metálicos disueltos funcionan como ácidos débiles, como se aborda más adelante en esta sección.

El ion de acetato, CH 3 CO 2 , CH 3 CO 2 , es la base conjugada del ácido acético, CH3CO2H, por lo que su reacción de ionización de la base (o hidrólisis de la base) viene representada por

CH 3 CO 2 (aq)+ H 2 O(l) CH 3 CO 2 H(aq)+OH(aq) K b = K w / K a CH 3 CO 2 (aq)+ H 2 O(l) CH 3 CO 2 H(aq)+OH(aq) K b = K w / K a

Como el ácido acético es un ácido débil, su Ka es medible y Kb > 0 (el ion de acetato es una base débil).

La disolución de acetato de sodio en agua produce una solución de cationes inertes (Na+) y aniones de base débil (CH 3 CO 2 ), (CH 3 CO 2 ), dando como resultado una solución básica.

Ejemplo 14.16

Equilibrio en una solución de una sal de un ácido débil y una base fuerte

Determine la concentración de ácido acético en una solución con [CH3CO2]=0,050M[CH3CO2]=0,050M y [OH] = 2,5 ×× 10−6 M en equilibrio. La reacción es:
CH3CO2(aq)+H2O(l)CH3CO2H(aq)+OH(aq)CH3CO2(aq)+H2O(l)CH3CO2H(aq)+OH(aq)

Solución

Las concentraciones de equilibrio proporcionadas y un valor para la constante de equilibrio permitirán calcular la concentración de equilibrio que falta. El proceso en cuestión es la ionización de base del ion de acetato, para la cual
Kb(paraCH3CO2)=KwKa(paraCH3CO2H)=1,0×10-141,8×10-5=5,6×10-10Kb(paraCH3CO2)=KwKa(paraCH3CO2H)=1,0×10-141,8×10-5=5,6×10-10

Sustituyendo los valores disponibles en la expresión Kb se obtiene

Kb=[CH3CO2H][OH][CH3CO2]=5,6×10-10Kb=[CH3CO2H][OH][CH3CO2]=5,6×10-10
=[CH3CO2H](2,5×10-6)(0,050)=5,6×10-10=[CH3CO2H](2,5×10-6)(0,050)=5,6×10-10

Al resolver la ecuación anterior para la molaridad del ácido acético se obtiene [CH3CO2H] = 1,1 ×× 10−5 M.

Compruebe su aprendizaje

¿Cuál es el pH de una solución 0,083-M de NaCN?

Respuesta:

11,11

Sales con iones ácidos y básicos

Algunas sales están compuestas por iones ácidos y básicos, por lo que el pH de sus soluciones dependerá de la fuerza relativa de estas dos especies. Así mismo, algunas sales contienen un único ion que es anfiprótico, por lo que las fuerzas relativas del carácter ácido y básico de este ion determinarán su efecto sobre el pH de la solución. Para ambos tipos de sales, la comparación de los valores Ka y Kb permite predecir el estado ácido-base de la solución, como se ilustra en el siguiente ejercicio de ejemplo.

Ejemplo 14.17

Determinación de la naturaleza ácida o básica de las sales

Determine si las soluciones acuosas de las siguientes sales son ácidas, básicas o neutras:

(a) KBr

(b) NaHCO3

(c) Na2HPO4

(d) NH4F

Solución

Considere cada uno de los iones por separado en términos de su efecto sobre el pH de la solución, como se muestra aquí:

(a) El catión K+ es inerte y no afecta al pH. El ion de bromuro es la base conjugada de un ácido fuerte, por lo que su fuerza de base es insignificante (no hay ionización de base apreciable). La solución es neutral.

(b) El catión Na+ es inerte y no afecta al pH de la solución; mientras que el anión HCO3HCO3 es anfiprótico. El Ka de HCO3HCO3 es 4,7 ×× 10−11, y su Kb es 1,0×10-144,3×10-7=2,3×10-8.1,0×10-144,3×10-7=2,3×10-8.

Como Kb >> Ka, la solución es básica.

(c) El catión Na+ es inerte y no afecta al pH de la solución, mientras que el anión HPO42−HPO42− es anfiprótico. El Ka de HPO42−HPO42− es 4,2 ×× 10−13,

y su Kb es 1,0×10-146,2×10-8=1,6×10-7.1,0×10-146,2×10-8=1,6×10-7. Como Kb >> Ka, la solución es básica.

(d) El ion de NH4+NH4+ es ácido (vea la discusión anterior) y el ion de F es básico (base conjugada del ácido débil HF). Comparación de las dos constantes de ionización: La Ka de NH4+NH4+ es 5,6 ×× 10−10 y la Kb de F es 1,6 ×× 10−11, por lo que la solución es ácida, ya que Ka > Kb.

Compruebe lo aprendido

Determine si las soluciones acuosas de las siguientes sales son ácidas, básicas o neutras:

(a) K2CO3

(b) CaCl2

(c) KH2PO4

(d) (NH4)2CO3

Respuesta:

(a) básico; (b) neutro; (c) ácido; (d) básico

La ionización de los iones metálicos hidratados

A diferencia de los iones metálicos del grupo 1 y 2 de los ejemplos anteriores (Na+, Ca2+, etc.), algunos iones metálicos funcionan como ácidos en soluciones acuosas. Estos iones no solo son solvatados libremente por las moléculas de agua cuando se disuelven, sino que están unidos covalentemente a un número fijo de moléculas de agua para producir un ion complejo (vea el capítulo sobre química de coordinación). Como ejemplo, la disolución del nitrato de aluminio en agua se representa típicamente como

Al( NO 3 )(s) Al 3 +(aq)+3 NO 3 (aq) Al( NO 3 )(s) Al 3 +(aq)+3 NO 3 (aq)

Sin embargo, el ion de aluminio(III) reacciona realmente con seis moléculas de agua para formar un ion complejo estable, por lo que la representación más explícita del proceso de disolución es

Al(NO3)3(s)+6H2O(l)Al(H2O)63+(aq)+3NO3(aq)Al(NO3)3(s)+6H2O(l)Al(H2O)63+(aq)+3NO3(aq)

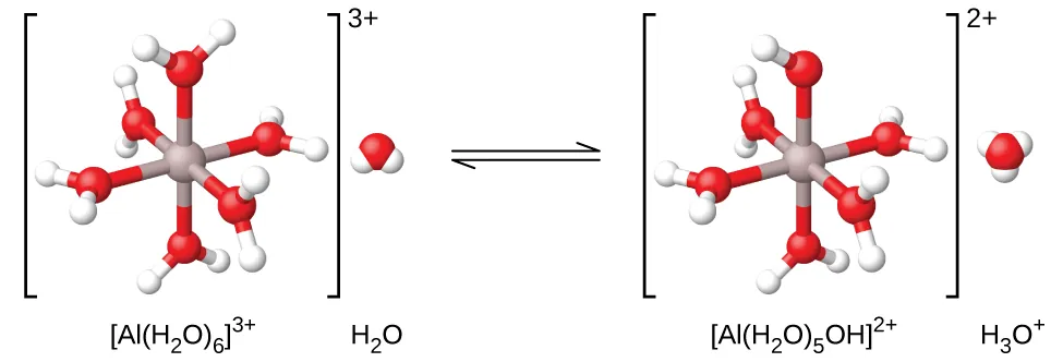
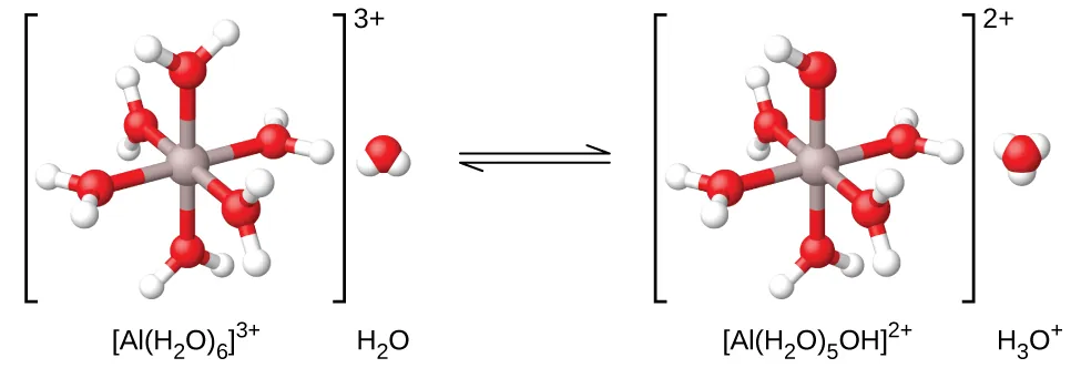
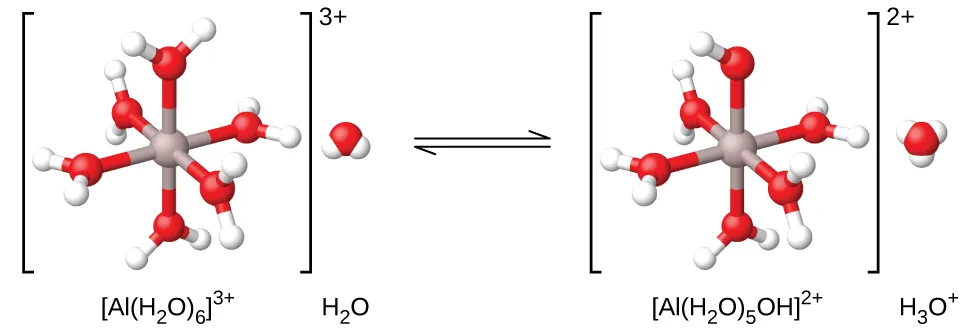
Como se muestra en la Figura 14.13, los iones de Al ( H 2 O) 6 3+ Al ( H 2 O) 6 3+ implican enlaces entre un átomo central de Al y los átomos de O de las seis moléculas de agua. En consecuencia, los enlaces O–H de las moléculas de agua enlazadas son más polares que en las moléculas de agua no enlazadas, lo que hace que las moléculas enlazadas sean más propensas a la donación de un ion de hidrógeno:

Al(H2O)63+(aq)+H2O(l)H3O+(aq)+Al(H2O)5(OH)2+(aq)Ka=1,4×10-5Al(H2O)63+(aq)+H2O(l)H3O+(aq)+Al(H2O)5(OH)2+(aq)Ka=1,4×10-5

La base conjugada producida por este proceso contiene otras cinco moléculas de agua enlazadas capaces de actuar como ácidos, por lo que es posible la transferencia secuencial o escalonada de protones, tal y como se representa en algunas ecuaciones a continuación:

Al(H2O)63+(aq)+H2O(l)H3O+(aq)+Al(H2O)5(OH)2+(aq)Al(H2O)63+(aq)+H2O(l)H3O+(aq)+Al(H2O)5(OH)2+(aq)
Al(H2O)5(OH)2+(aq)+H2O(l)H3O+(aq)+Al(H2O)4(OH)2 +(aq)Al(H2O)5(OH)2+(aq)+H2O(l)H3O+(aq)+Al(H2O)4(OH)2 +(aq)
Al(H2O)4(OH)2 +(aq)+H2O(l)H3O+(aq)+Al(H2O)3(OH)3(aq)Al(H2O)4(OH)2 +(aq)+H2O(l)H3O+(aq)+Al(H2O)3(OH)3(aq)

Se trata de un ejemplo de ácido poliprótico, que se abordará en una sección posterior de este capítulo.

Se muestra una reacción utilizando modelos de barras y esferas. A la izquierda, dentro de los corchetes con un superíndice de 3 signo positivo fuera a la derecha está la estructura etiquetada como "[ A l ( H subíndice 2 O ) subíndice 6 ] superíndice 3 signo positivo". Dentro de los corchetes hay un átomo gris central al que se unen 6 átomos rojos en una disposición que los distribuye uniformemente alrededor del átomo gris central. Cada átomo rojo tiene dos átomos blancos más pequeños unidos en una disposición bifurcada o doblada. Fuera de los corchetes de la derecha hay un modelo de espacio lleno que incluye una esfera central roja con dos esferas blancas más pequeñas unidas en una disposición doblada. Debajo de esta estructura está la etiqueta "H subíndice 2 O". Sigue una flecha de doble punta. A la derecha de las flechas sigue otro conjunto de corchetes con un superíndice de dos signo positivo afuera a la derecha. La estructura dentro de los corchetes es similar a la de la izquierda, salvo que se elimina un átomo blanco de la estructura. La etiqueta de abajo también se cambia a "[ A l ( H subíndice 2 O ) subíndice 5 O H ] superíndice 2 signo positivo". A la derecha de esta estructura y fuera de los corchetes hay un modelo de espacio lleno con una esfera roja central a la que se adhieren 3 esferas blancas más pequeñas. Esta estructura está etiquetada como "H subíndice 3 O superíndice signo más".
Figura 14.13 Cuando un ion de aluminio reacciona con el agua, el ion de aluminio hidratado se convierte en un ácido débil.

Aparte de los metales alcalinos (grupo 1) y de algunos metales alcalinotérreos (grupo 2), la mayoría de los demás iones metálicos sufrirán una cierta ionización ácida cuando se disuelvan en el agua. La fuerza ácida de estos iones complejos suele aumentar con el aumento de la carga y la disminución del tamaño de los iones metálicos. A continuación se muestran las ecuaciones de ionización ácida de primer paso para algunos otros iones metálicos ácidos:

Fe(H2O)63+(aq)+H2O(l)H3O+(aq)+Fe(H2O)5(OH)2+(aq)pKa=2,74Fe(H2O)63+(aq)+H2O(l)H3O+(aq)+Fe(H2O)5(OH)2+(aq)pKa=2,74
Cu(H2O)62+(aq)+H2O(l)H3O+(aq)+Cu(H2O)5(OH)+(aq)pKa=~6,3Cu(H2O)62+(aq)+H2O(l)H3O+(aq)+Cu(H2O)5(OH)+(aq)pKa=~6,3
Zn(H2O)42+(aq)+H2O(l)H3O+(aq)+Zn(H2O)3(OH)+(aq)pKa=9,6Zn(H2O)42+(aq)+H2O(l)H3O+(aq)+Zn(H2O)3(OH)+(aq)pKa=9,6

Ejemplo 14.18

Hidrólisis de [Al(H2O)6]3+

Calcule el pH de una solución 0,10-M de cloruro de aluminio, que se disuelve completamente para dar el ion de aluminio hidratado [Al(H2O)6]3+[Al(H2O)6]3+ en solución.

Solución

La ecuación para la reacción y la Ka son:
Al(H2O)63+(aq)+H2O(l)H3O+(aq)+Al(H2O)5(OH)2+(aq)Ka=1,4×10-5Al(H2O)63+(aq)+H2O(l)H3O+(aq)+Al(H2O)5(OH)2+(aq)Ka=1,4×10-5


Una tabla ICE con la información proporcionada es

Esta tabla tiene dos columnas principales y cuatro filas. La primera fila de la primera columna no tiene encabezamiento y luego contiene lo siguiente en la primera columna: Concentración inicial ( M ), Cambio ( M ), Concentración en equilibrio ( M ). La segunda columna tiene el encabezado "A l ( H subíndice 2 O ) subíndice 6 superíndice 3 signo positivo más H subíndice 2 O flecha de equilibrio H subíndice 3 O superíndice signo positivo más A l ( H subíndice 2 O ) subíndice 5 ( O H ) superíndice 2 signo positivo". Bajo la segunda columna hay un subgrupo de tres columnas y tres filas. La primera columna contiene lo siguiente: 0,10, x negativo, 0,10 menos x. La segunda columna contiene lo siguiente: aproximadamente 0, x positivo, x. La tercera columna contiene lo siguiente: 0, positivo x, x.


Sustituyendo las expresiones de las concentraciones de equilibrio en la ecuación de la constante de ionización se obtiene

Ka=[H3O+][Al(H2O)5(OH)2+][Al(H2O)63+]Ka=[H3O+][Al(H2O)5(OH)2+][Al(H2O)63+]


=(x)(x)0,10x=1,4×10-5=(x)(x)0,10x=1,4×10-5


Suponiendo que x << 0,10 y resolviendo la ecuación simplificada se obtiene:

x=1,2×10-3Mx=1,2×10-3M


La tabla ICE definió x como igual a la concentración de iones de hidronio, por lo que el pH se calcula como

[H3O+]=0+x=1,2×10-3M[H3O+]=0+x=1,2×10-3M


pH=−log[H3O+]=2,92(una solución ácida)pH=−log[H3O+]=2,92(una solución ácida)

Compruebe lo aprendido

¿Cuál es el valor de [Al(H2O)5(OH)2+][Al(H2O)5(OH)2+] en una solución 0,15-M de Al(NO3)3 que contiene suficiente ácido fuerte HNO3 para llevar [H3O+] a 0,10 M?

Respuesta:

2,1 ×× 10−5 M

Cita/Atribución

Este libro no puede ser utilizado en la formación de grandes modelos de lenguaje ni incorporado de otra manera en grandes modelos de lenguaje u ofertas de IA generativa sin el permiso de OpenStax.

¿Desea citar, compartir o modificar este libro? Este libro utiliza la Creative Commons Attribution License y debe atribuir a OpenStax.

Información de atribución
  • Si redistribuye todo o parte de este libro en formato impreso, debe incluir en cada página física la siguiente atribución:
    Acceso gratis en https://openstax.org/books/qu%C3%ADmica-comenzando-%C3%A1tomos-2ed/pages/1-introduccion
  • Si redistribuye todo o parte de este libro en formato digital, debe incluir en cada vista de la página digital la siguiente atribución:
    Acceso gratuito en https://openstax.org/books/qu%C3%ADmica-comenzando-%C3%A1tomos-2ed/pages/1-introduccion
Información sobre citas

© 19 may. 2022 OpenStax. El contenido de los libros de texto que produce OpenStax tiene una licencia de Creative Commons Attribution License . El nombre de OpenStax, el logotipo de OpenStax, las portadas de libros de OpenStax, el nombre de OpenStax CNX y el logotipo de OpenStax CNX no están sujetos a la licencia de Creative Commons y no se pueden reproducir sin el previo y expreso consentimiento por escrito de Rice University.