Omitir e ir al contenidoIr a la página de accesibilidadMenú de atajos de teclado
Logo de OpenStax
Química 2ed

20.4 Aminas y amidas

Química 2ed20.4 Aminas y amidas
Buscar términos clave o texto.

Objetivos de aprendizaje

Al final de esta sección, podrá:

  • Describir la estructura y las propiedades de una amina.
  • Describir la estructura y las propiedades de una amida.

Las aminas son moléculas que contienen enlaces carbono-nitrógeno. El átomo de nitrógeno de una amina tiene un par solitario de electrones y tres enlaces con otros átomos, ya sean de carbono o de hidrógeno. Se utilizan varias nomenclaturas para derivar los nombres de las aminas, pero todas implican el sufijo identificador de clase -ina, como se ilustra aquí en algunos ejemplos sencillos:

Se muestran tres estructuras, cada una con un átomo de N central que tiene un par de puntos de electrones indicados en rojo sobre los átomos de N. La primera estructura está marcada como metilamina. A la izquierda del átomo de N, se enlaza un grupo C H subíndice 3. Los átomos de H están enlazados a la derecha y abajo del átomo central de N. La segunda estructura está marcada como dimetilamina. Esta estructura tiene grupos C H subíndice 3 enlazados a la izquierda y a la derecha del átomo de N y un único átomo de H está enlazado por debajo. La tercera estructura está marcada como trimetilamina, que tiene grupos C H subíndice 3 enlazados a la izquierda, a la derecha y por debajo del átomo central de N.

En algunas aminas, el átomo de nitrógeno sustituye a un átomo de carbono en un hidrocarburo aromático. La piridina (Figura 20.17) es una de estas aminas heterocíclicas. Un compuesto heterocíclico contiene átomos de dos o más elementos diferentes en su estructura de anillo.

Se muestra una estructura molecular. Se muestra un anillo de cinco átomos de C y un átomo de N con dobles enlaces alternados. Los átomos de H están enlazados y aparecen en el exterior del anillo en cada átomo de C. El átomo de N tiene un par no compartido de electrones que se muestra en el átomo de N en el lado exterior del anillo. El átomo de N, el par de puntos de electrones y los enlaces conectados a este en el anillo se muestran en rojo.
Figura 20.17 La ilustración exhibe una de las estructuras de resonancia de la piridina.

Cómo se interconectan las ciencias

El ADN en la medicina forense y la paternidad

El material genético de todos los seres vivos es un polímero de cuatro moléculas diferentes, que a su vez son una combinación de tres subunidades. La información genética, el código para desarrollar un organismo, está contenida en la secuencia específica de las cuatro moléculas, de forma similar a como se secuencian las letras del alfabeto para formar palabras que transmiten información. La información de una secuencia de ADN se utiliza para formar otros dos tipos de polímeros, uno de los cuales son las proteínas. Las proteínas interactúan para formar un tipo específico de organismo con características individuales.

La molécula genética recibe el nombre de ADN, que significa ácido desoxirribonucleico. Las cuatro moléculas que componen el ADN se denominan nucleótidos. Cada nucleótido está formado por una molécula de uno o dos anillos que contiene nitrógeno, carbono, oxígeno e hidrógeno, designada como base nitrogenada. Cada base está enlazada a un azúcar de cinco carbonos, que recibe el nombre de desoxirribosa. El azúcar está a su vez enlazado a un grupo fosfato (-PO43−)(-PO43−) Cuando se forma un nuevo ADN, se produce una reacción de polimerización que une el grupo fosfato de un nucleótido con el grupo azúcar de otro nucleótido. Las bases nitrogenadas de cada nucleótido sobresalen de esta columna vertebral de azúcar-fosfato. En realidad, el ADN está formado por dos polímeros de este tipo enrollados uno alrededor del otro y unidos por enlaces de hidrógeno entre las bases nitrogenadas. Así, las dos columnas vertebrales están en el exterior del par de filamentos enrollados, y las bases están en el interior. La forma de las dos hebras enrolladas una alrededor de la otra se denomina doble hélice (vea la Figura 20.18).

Probablemente tenga sentido que la secuencia de nucleótidos en el ADN de un gato sea diferente a la de un perro. No obstante, también es cierto que las secuencias del ADN en las células de dos pugs individuales difieren. Del mismo modo, las secuencias de ADN en usted y en un hermano difieren (a no ser que su hermano sea un gemelo idéntico), al igual que las que existen entre usted y un individuo no emparentado. Sin embargo, las secuencias de ADN de dos parientes son más similares que las secuencias de dos individuos no emparentados, y estas similitudes en la secuencia se observan de varias maneras. Este es el principio en el que se basa la huella de ADN, que es un método utilizado para determinar si dos muestras de ADN proceden de individuos emparentados (o del mismo) o de individuos no emparentados.

El diagrama a muestra el ADN como una doble hélice compuesta por las bases nitrogenadas adenina, timina, guanina y citosina, emparejadas a lo largo de una columna vertebral de azúcar-fosfato. La hélice ha marcado 3 direcciones o extremos primos y 5 primos. En el diagrama b se muestra la disposición a nivel molecular de las bases conectadas por enlace de hidrógeno dentro de la columna vertebral de azúcar-fosfato. Se muestra la adenina con enlace de hidrógeno a la timina y, de forma similar, se muestra la unión mediante enlace de hidrógeno entre la citosina y la guanina. De nuevo, se suministra información direccional de 3 y 5 extremos primos. En el diagrama c se muestra el enlace entre una base nitrogenada, el azúcar y el fosfato.
Figura 20.18 El ADN es una molécula orgánica y el material genético de todos los organismos vivos. (a) El ADN es una doble hélice formada por dos hebras simples de ADN unidas por enlaces de hidrógeno en cada base nitrogenada. (b) Este detalle muestra los enlaces de hidrógeno (líneas punteadas) entre las bases nitrogenadas de cada hebra de ADN y la forma en que cada nucleótido se une al siguiente, para formar una columna vertebral de azúcares y grupos fosfato a lo largo de cada hebra. (c) Este detalle muestra la estructura de uno de los cuatro nucleótidos que componen el polímero de ADN. Cada nucleótido está formado por una base nitrogenada (una molécula de doble anillo, en este caso), un azúcar de cinco carbonos (desoxirribosa) y un grupo fosfato.

Gracias a las similitudes de las secuencias, los técnicos pueden determinar si un hombre es el padre de un niño (la identidad de la madre rara vez está en duda, salvo en el caso de un niño adoptado y una posible madre biológica). Asimismo, los genetistas forenses pueden determinar si una muestra de tejido humano del lugar del delito, como sangre o células de la piel, contiene ADN que coincide exactamente con el de un sospechoso.

Al igual que el amoníaco, las aminas son bases débiles debido al par solitario de electrones de sus átomos de nitrógeno.

Se muestran dos reacciones. En la primera, el amoníaco reacciona con el átomo de H superíndice signo más. Un par de puntos de electrones no compartidos se encuentra sobre el átomo de N. A la izquierda, a la derecha y abajo, se enlazan los átomos de H. A esto le sigue un símbolo de suma y un átomo de H superíndice signo más. A la derecha de la flecha de reacción, el ion de amonio se muestra entre corchetes con un signo más en el superíndice afuera. Dentro de los corchetes, el átomo de N se muestra con átomos de H enlazados en los cuatro lados. En una segunda reacción muy similar, la metilamina reacciona con H superíndice signo más para producir el ion de metil amonio. La estructura de la metilamina es como la del amoníaco, salvo que en lugar del átomo de H más a la izquierda de la estructura se une un grupo C H subíndice 3. Del mismo modo, el ion de metil amonio resultante se representa entre corchetes con un signo más en el superíndice afuera. En su interior, la estructura es similar a la de la metilamina, salvo que aparece un átomo de H en la parte superior del átomo de N, donde antes aparecía el par de electrones no compartido.

La alcalinidad del átomo de nitrógeno de una amina desempeña una función importante en gran parte de la química del compuesto. Los grupos funcionales de las aminas se encuentran en una gran variedad de compuestos, como tintes naturales y sintéticos, polímeros, vitaminas y medicamentos como la penicilina y la codeína. También se encuentran en muchas moléculas esenciales para la vida, como los aminoácidos, las hormonas, los neurotransmisores y el ADN.

Cómo se interconectan las ciencias

Alcaloides adictivos

Desde la antigüedad, las plantas se han utilizado con fines medicinales. Se ha aislado una clase de sustancias, llamadas alcaloides, que se encuentran en muchas de estas plantas y que contienen moléculas cíclicas con un grupo funcional de amina. Estas aminas son bases. Pueden reaccionar con H3O+ en un ácido diluido para formar una sal de amonio, y esta propiedad se utiliza para extraerlos de la planta:

R3N+H3O++Cl[R3NH+]Cl+H2OR3N+H3O++Cl[R3NH+]Cl+H2O

El nombre alcaloide significa "como un álcali". Por lo tanto, un alcaloide reacciona con el ácido. El compuesto libre se recupera tras la extracción por reacción con una base:

[R3NH+]Cl+OHR3N+H2O+Cl[R3NH+]Cl+OHR3N+H2O+Cl

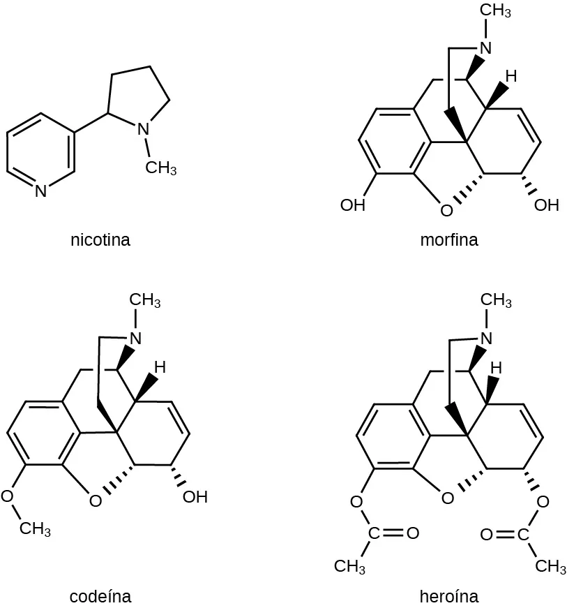
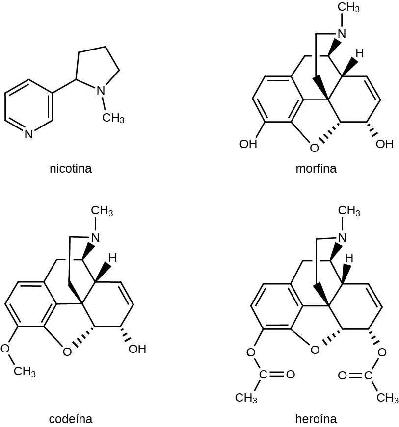
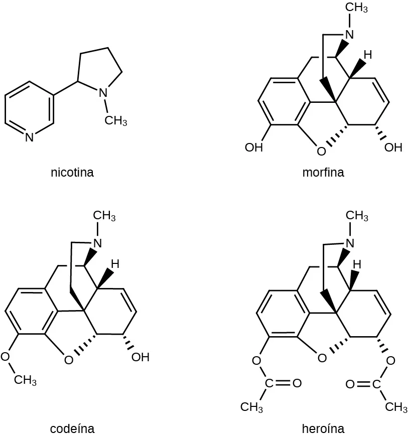
Las estructuras de muchos alcaloides naturales tienen profundos efectos fisiológicos y psicotrópicos en los seres humanos. Algunos ejemplos de estas drogas son la nicotina, la morfina, la codeína y la heroína. La planta produce estas sustancias, llamadas conjuntamente compuestos vegetales secundarios, como defensas químicas contra las numerosas plagas que intentan alimentarse de las plantas.

Se muestran las estructuras moleculares de la nicotina, la morfina, la codeína y la heroína. Estas grandes estructuras comparten algunas características comunes, como los anillos. En las estructuras complejas de la morfina, la codeína y la heroína, los enlaces con algunos átomos de O en las estructuras se indican con cuñas discontinuas y los enlaces con algunos átomos de H y de N se muestran como cuñas sólidas.

En estos diagramas, como es habitual en la representación de estructuras de grandes compuestos orgánicos, se han omitido los átomos de carbono de los anillos y los átomos de hidrógeno enlazados a ellos para mayor claridad. Las cuñas sólidas indican enlaces que se extienden fuera de la página. Las cuñas discontinuas indican los enlaces que se extienden dentro de la página. Observe que pequeños cambios en una parte de la molécula modifican las propiedades de la morfina, la codeína y la heroína. La morfina, un potente narcótico que se utiliza para aliviar el dolor, contiene dos grupos funcionales hidroxilo, situados en la parte inferior de la molécula en esta fórmula estructural. Al cambiar uno de estos grupos hidroxilos por un grupo éter metílico se forma la codeína, un fármaco menos potente, que se emplea como anestesia local. Si ambos grupos hidroxilos se convierten en ésteres del ácido acético, se obtiene la heroína, una droga poderosamente adictiva (Figura 20.19).

Esta es la foto de un campo de amapolas rojo-naranja.
Figura 20.19 La amapola se utiliza en la producción de opio, un látex vegetal que contiene morfina a partir de la cual pueden sintetizarse otros opiáceos, como la heroína (créditos: Karen Roe).

Las amidas son moléculas que contienen átomos de nitrógeno conectados al átomo de carbono de un grupo carbonilo. Al igual que las aminas, se pueden utilizar varias reglas de nomenclatura para designar las amidas, pero todas incluyen el uso del sufijo específico de la clase -amida:

Esta figura muestra tres estructuras. Se ofrecen dos ejemplos. La estructura básica tiene un átomo de H o un grupo R enlazado a un átomo de C que está doblemente enlazado a un átomo de O. El átomo de O tiene dos conjuntos de puntos de electrones. El átomo de C está enlazado a un átomo de N que a su vez está enlazado a dos grupos R o a dos átomos de H. El átomo de N como un conjunto de puntos de electrones. La siguiente estructura incluye la acetamida, que tiene un átomo de C H subíndice 3 enlazado a un átomo de C con un átomo de O doblemente enlazado. El segundo átomo de C también está enlazado a un átomo de N H subíndice 2. La hexanamida tiene una cadena de hidrocarburos de longitud 6 que incluye todos los enlaces simples. Aquí se muestra la estructura condensada. Al sexto átomo de C en el extremo derecho de la cadena, un átomo de O está doblemente enlazado y un grupo de N H subíndice 2 tiene un enlace simple.

Las amidas se producen cuando los ácidos carboxílicos reaccionan con aminas o amoníaco en un proceso que recibe el nombre de amidación. Se elimina una molécula de agua de la reacción, y la amida se forma a partir de los trozos restantes del ácido carboxílico y la amina (observe la similitud con la formación de un éster a partir de un ácido carboxílico y un alcohol que se analizó en la sección anterior).

Se muestra una reacción química entre un ácido carboxílico y una amina para formar una amida y agua. Se muestran las estructuras. El ácido carboxílico se muestra como un grupo C H subíndice 3 enlazado a un grupo C H subíndice 2 enlazado a un átomo de C con un átomo de O de doble enlace por encima y un grupo O H enlazado a la derecha. Hay un signo de suma. La amina se muestra como un átomo de N con dos átomos de H enlazados en la parte inferior e izquierda. Un grupo C H subíndice 3 está enlazado al lado derecho del átomo de N. A la derecha de una flecha, una amida se muestra como un grupo C H subíndice 3 enlazado a un grupo C H subíndice 2 enlazado a un átomo C que está doblemente enlazado a un átomo O por encima y a un N con un átomo H enlazado por debajo. El átomo de N está enlazado a un grupo C H subíndice 3. El producto final indicado después de un signo más es el agua, H subíndice 2 O.

La reacción entre las aminas y los ácidos carboxílicos para formar amidas es importante biológicamente. Es a través de esta reacción que los aminoácidos (moléculas que contienen sustituciones de amina y ácido carboxílico) se unen en un polímero para formar proteínas.

Cómo se interconectan las ciencias

Proteínas y enzimas

Las proteínas son grandes moléculas biológicas formadas por largas cadenas de moléculas más pequeñas que reciben el nombre de aminoácidos. Los organismos dependen de las proteínas para una gran variedad de funciones: las proteínas transportan moléculas a través de las membranas celulares, replican el ADN y catalizan las reacciones metabólicas, por nombrar tan solo algunas de sus funciones. Las propiedades de las proteínas son funciones de la combinación de aminoácidos que las componen y varían mucho. Las interacciones entre las secuencias de aminoácidos en las cadenas de las proteínas dan lugar al plegado de la cadena en estructuras tridimensionales específicas que determinan la actividad de la proteína.

Los aminoácidos son moléculas orgánicas que contienen un grupo funcional amina (–NH2), un grupo funcional ácido carboxílico (–COOH) y una cadena lateral (que es específica de cada aminoácido). La mayoría de los seres vivos construyen proteínas a partir de los mismos 20 aminoácidos diferentes. Los aminoácidos se conectan mediante la formación de un enlace peptídico, que es un enlace covalente que se forma entre dos aminoácidos cuando el grupo del ácido carboxílico de un aminoácido reacciona con el grupo amino del otro aminoácido. La formación del enlace da lugar a la producción de una molécula de agua (en general, las reacciones que dan lugar a la producción de agua cuando se combinan otras dos moléculas se denominan reacciones de condensación). El enlace resultante entre el átomo de carbono del grupo carbonilo y el átomo de nitrógeno de la amina se denomina vínculo o enlace peptídico. Dado que cada uno de los aminoácidos originales tiene un grupo sin reaccionar (uno tiene una amina y el otro un ácido carboxílico), se pueden formar más enlaces peptídicos con otros aminoácidos, lo que amplía la estructura. (Figura 20.20) Una cadena de aminoácidos conectados se denomina polipéptido. Las proteínas contienen al menos una cadena polipeptídica larga.

Esta figura muestra dos moléculas de aminoácidos. Estas moléculas tienen dos átomos de carbono con enlace sencillo a los que se une un grupo amino a la izquierda; el átomo de C a la derecha es un componente de un grupo carboxilo. El átomo de C en el centro tiene un grupo R enlazado por debajo y un átomo de H enlazado por encima. El aminoácido de la parte superior izquierda tiene un grupo amino identificado y encerrado en un rectángulo verde discontinuo. Este grupo está formado por un átomo de N con dos átomos de H enlazados. El aminoácido de la derecha tiene un grupo carboxilo identificado en un rectángulo verde discontinuo. Este grupo tiene un átomo de C al que se enlaza un grupo O H y un átomo de O doblemente enlazado. El aminoácido de la izquierda tiene el grupo O H abajo a la derecha en rojo. El aminoácido de la derecha tiene un átomo de H que está enlazado al átomo de N en rojo. Una flecha apunta hacia abajo y está marcada como reacción de condensación. Una flecha curva se extiende hacia abajo y a la derecha de la flecha hacia abajo; apunta al grupo H subíndice 2 O, que está en rojo. Debajo de la flecha hacia abajo aparece una única molécula de mayor tamaño. En las ubicaciones del grupo O H rojo y del átomo H, las moléculas de aminoácidos están enlazadas entre sí. Este enlace está marcado como enlace peptídico y la molécula más grande que se forma está marcada como cadena polipeptídica.
Figura 20.20 Esta reacción de condensación forma un dipéptido a partir de dos aminoácidos y conduce a la formación de agua.

Las enzimas son grandes moléculas biológicas, compuestas en su mayoría por proteínas, que son responsables de los miles de procesos metabólicos que tienen lugar en los organismos vivos. Las enzimas son catalizadores muy específicos que aceleran la velocidad de ciertas reacciones. Las enzimas funcionan al reducir la energía de activación de la reacción que catalizan, lo que puede aumentar drásticamente la velocidad de la reacción. La mayoría de las reacciones catalizadas por las enzimas son millones de veces más rápidas que la versión no catalizada. Al igual que todos los catalizadores, las enzimas no se consumen durante las reacciones que catalizan. Las enzimas se diferencian de otros catalizadores por su especificidad con respecto a sus sustratos (las moléculas que una enzima convertirá en un producto diferente). Cada enzima es capaz únicamente de acelerar una o unas pocas reacciones o tipos de reacciones muy específicas. Dado que la función de las enzimas es tan específica, la falta o el mal funcionamiento de una enzima tendría graves consecuencias para la salud. Una enfermedad que es el resultado del mal funcionamiento de las enzimas es la fenilcetonuria. En esta enfermedad, la enzima que cataliza el primer paso en la degradación del aminoácido fenilalanina no es funcional (Figura 20.21). Si no se trata, puede producirse una acumulación de fenilalanina, que daría lugar a discapacidad intelectual.

Esta figura consiste en una imagen computarizada de una molécula de enzima con componentes estructurales en forma de cuerda y cinta rizada en tonos morados, verdes y amarillos.
Figura 20.21 Una representación computarizada muestra la estructura tridimensional de la enzima fenilalanina hidroxilasa. En la enfermedad fenilcetonuria, un defecto en la forma de la fenilalanina hidroxilasa hace que esta pierda su función de descomponer la fenilalanina.

La química en la vida cotidiana

Kevlar

El Kevlar (Figura 20.22) es un polímero sintético que se forma a partir de dos monómeros 1,4-fenileno-diamina y cloruro de tereftaloilo (Kevlar es una marca registrada de DuPont). Susan Kwolek desarrolló el material mientras trabajaba para encontrar un sustituto del acero en los neumáticos. El trabajo de Kwolek consistía en sintetizar poliamidas y disolverlas en solventes, para luego centrifugar la solución resultante y convertirla en fibras. Una de sus soluciones resultó ser bastante diferente en apariencia y estructura inicial. Una vez centrifugada, las fibras resultantes eran especialmente resistentes. A partir de este descubrimiento inicial, se creó el Kevlar. El material tiene un alto cociente de fuerza de tracción-peso (es unas 5 veces más fuerte que un peso igual de acero), lo que lo hace útil para muchas aplicaciones: desde neumáticos de bicicleta a velas o blindajes corporales.

Se muestra una fórmula estructural del polímero Kevlar. La estructura aparece entre corchetes con guiones simples que se extienden en los extremos izquierdo y derecho. Fuera de la esquina inferior derecha de los corchetes aparece una n en cursiva. La estructura dentro de los corchetes incluye un átomo de C que forma un doble enlace con un átomo de O y un enlace con un anillo de benceno. El anillo de benceno forma un enlace con otro átomo de C que tiene un doble enlace con un átomo de O. El átomo de C está enlazado a un átomo de N. El átomo de N está enlazado a un átomo de H y a un anillo de benceno. El anillo de benceno se enlaza a otro átomo de N que también está enlazado a un átomo de H.
Figura 20.22 Esta ilustración muestra la fórmula del Kevlar polimérico.

El material debe gran parte de su resistencia a los enlaces de hidrógeno entre las cadenas de polímeros (vea el capítulo sobre las interacciones intermoleculares). Estos enlaces se forman entre el átomo de oxígeno del grupo carbonilo (que tiene una carga negativa parcial debido a la electronegatividad del oxígeno) en un monómero y el átomo de hidrógeno parcialmente cargado positivamente en el enlace N-H de un monómero adyacente en la estructura del polímero (vea la línea discontinua en la Figura 20.23). Existe una fuerza adicional derivada de la interacción entre los orbitales p no hibridados en los anillos de seis elementos, denominada apilamiento aromático.

Este diagrama muestra las unidades repetitivas e interconectadas que existen en el Kevlar, que adquiere un aspecto de lámina. Los segmentos de línea discontinua se indican entre las unidades. Las unidades individuales están compuestas por átomos de nitrógeno, hidrógeno, oxígeno y carbono. Las unidades estructurales que se repiten incluyen anillos de benceno y dobles enlaces.
Figura 20.23 El diagrama muestra la estructura polimérica del Kevlar, con los enlaces de hidrógeno entre las cadenas poliméricas representados por líneas de puntos.

El Kevlar es más conocido como componente de los chalecos antibalas, cascos de combate y mascarillas. Desde la década de 1980, el ejército estadounidense utiliza el Kevlar como componente del casco y del chaleco del sistema de blindaje personal para tropas terrestres (Personal Armor System for Ground Troops, PASGT). El Kevlar también se utiliza para proteger vehículos de combate blindados y portaaviones. Las aplicaciones civiles abarcan los equipos de protección para el personal de los servicios de emergencia, como el chaleco antibalas para los policías y la ropa resistente al calor para los bomberos. La ropa a base de Kevlar es muchísimo más ligera y fina que el equipo equivalente fabricado con otros materiales (Figura 20.24). Además del Kevlar, Susan Kwolek contribuyó al desarrollo del Nomex, un material ignífugo, y también participó en la creación de la Licra. Fue la cuarta mujer en ingresar en el Salón Nacional de la Fama de Inventores y recibió otros premios por sus importantes contribuciones a la ciencia y la sociedad.

Se muestran tres fotos. En la primera, dos soldados clasifican material verde y marrón en una mesa. En la segunda, hay dos personas remando en una canoa. En la tercera, una cuerda blanca pesada es manipulada con una herramienta manual.
Figura 20.24 (a) Estos soldados clasifican los trozos de un casco de Kevlar que absorbió la explosión de una granada. Igualmente, el Kevlar se utiliza para fabricar (b) canoas y (c) cabos marinos de amarre (créditos: a: modificación del trabajo de "Cla68"/Wikimedia Commons; b: modificación del trabajo de "OakleyOriginals"/Flickr; c: modificación del trabajo de Casey H. Kyhl).

Además de sus usos más conocidos, el Kevlar se emplea a menudo en criogenia por su bajísima conductividad térmica (junto con su alta resistencia). El Kevlar mantiene su alta resistencia cuando se enfría a la temperatura del nitrógeno líquido (-196 °C).

En esta tabla se resumen las estructuras analizadas en este capítulo.

Esta tabla proporciona los nombres de compuestos, estructuras con grupos funcionales en rojo y ejemplos que incluyen fórmulas, fórmulas estructurales, modelos de barras y esferas, y nombres. Los nombres de los compuestos son: alqueno, alquino, alcohol, éter, aldehído, cetona, ácido carboxílico, éster, amina y amida. Los alquenos tienen un doble enlace. Una fórmula es C subíndice 2 H subíndice 4 que se denomina eteno. El modelo de barras y esferas muestra dos esferas negras que forman un doble enlace y cada una está enlazada a dos esferas blancas. Los alquinos tienen un triple enlace. Una fórmula es C subíndice 2 H subíndice 2 que se denomina etileno. El modelo de barras y esferas muestra dos esferas negras con un triple enlace entre sí, cada una enlazada a una esfera blanca. Los alcoholes tienen un grupo O H. El O tiene dos pares de puntos de electrones. Una fórmula es C H subíndice 3 C H subíndice 2 O H que se denomina etanol. El modelo de barras y esferas muestra dos esferas negras y una roja enlazadas entre sí con un enlace simple. Hay cuatro esferas blancas visibles. Los éteres tienen un átomo de O en la estructura entre dos grupos R. El átomo de O tiene dos conjuntos de puntos de electrones. Una fórmula es (C subíndice 2 H subíndice 5) subíndice 2 O que se denomina etanal. El modelo de barras y esferas muestra dos esferas negras enlazadas a una roja que está enlazada a otras dos esferas negras. Todos los enlaces son simples. Hay cinco esferas blancas visibles. Los aldehídos tienen un átomo de C al que se une un O de doble enlace y un H y un R incluidos en la estructura. El átomo de O tiene dos conjuntos de puntos de electrones. Una fórmula es C H subíndice 3 C H O que se denomina etanal. El modelo de barras y esferas muestra dos esferas negras enlazados a dos esferas rojas. El modelo de barras y esferas muestra dos esferas negras enlazadas con un enlace simple; la segunda esfera negra forma un doble enlace con una esfera roja. Hay tres esferas blancas visibles. Las cetonas presentan un átomo de C al que se une un O de doble enlace. El lado izquierdo del átomo C está enlazado a R y el lado derecho está enlazado a R primo. El átomo de O tiene dos conjuntos de puntos de electrones. La fórmula es C H subíndice 3 C O C H subíndice 2 C H subíndice 3 y se denomina metil etil cetona. Los modelos de barras y esferas muestran cuatro esferas negras que forman enlaces simples entre sí. La segunda esfera negra forma un doble enlace con una esfera roja. Hay cinco esferas blancas visibles. Los ácidos carboxílicos tienen un C en cuya estructura se incluye un O de doble enlace y un O H. Cada átomo de O tiene dos conjuntos de puntos de electrones. Una fórmula es C H subíndice 3 C O O H que se denomina ácido etanoico o acético. El modelo de barras y esferas muestra dos esferas negras y una roja que forman enlaces imples entre sí. La segunda esfera negra también forma un doble enlace con otra esfera roja. Se ven tres esferas blancas. Los ésteres tienen un átomo de C que forma un doble enlace con un átomo de O y un enlace simple con otro átomo de O que tiene un grupo hidrocarburo unido en la estructura. Cada átomo de O tiene dos conjuntos de puntos de electrones. Una fórmula es C H subíndice 3 C O subíndice 2 C H subíndice 2 C H subíndice 3 que se denomina acetato de etilo. El modelo de barras y esferas muestra dos esferas negras, una roja y otras dos negras que forman enlaces simples entre sí. La segunda esfera negra forma un doble enlace con otra esfera roja. Hay cinco esferas blancas visibles. Las aminas tienen un átomo de N en la estructura al que se pueden enlazar tres grupos de hidrocarburos, dos grupos de hidrocarburos y un átomo de H, o un grupo de hidrocarburos y dos átomos de H. Cada n tiene un único conjunto de puntos de electrones. Una fórmula es C subíndice 2 H subíndice 5 N H subíndice 2 que se denomina etilamina. El modelo de barras y esferas muestra dos esferas negras y una azul que forman enlaces simples entre sí. Hay cinco esferas blancas visibles. Las amidas tienen un C al que se incorpora un O de doble enlace y un N de enlace simple en una estructura entre dos grupos de hidrocarburos. Un grupo hidrocarburo está enlazado al C, el otro al N. Las amidas también pueden tener un átomo de H enlazado al N. El átomo de O tiene dos conjuntos de puntos de electrones, y el átomo de N tiene un conjunto. Una fórmula es C H subíndice 3 C O N H subíndice 2 que se denomina etanamida o acetamida. El modelo de barras y esferas muestra dos esferas negras y una azul que forman enlaces simples entre sí. La segunda esfera negra forma un doble enlace con una esfera roja. Hay cuatro esferas blancas visibles.
Cita/Atribución

Este libro no puede ser utilizado en la formación de grandes modelos de lenguaje ni incorporado de otra manera en grandes modelos de lenguaje u ofertas de IA generativa sin el permiso de OpenStax.

¿Desea citar, compartir o modificar este libro? Este libro utiliza la Creative Commons Attribution License y debe atribuir a OpenStax.

Información de atribución
  • Si redistribuye todo o parte de este libro en formato impreso, debe incluir en cada página física la siguiente atribución:
    Acceso gratis en https://openstax.org/books/qu%C3%ADmica-2ed/pages/1-introduccion
  • Si redistribuye todo o parte de este libro en formato digital, debe incluir en cada vista de la página digital la siguiente atribución:
    Acceso gratuito en https://openstax.org/books/qu%C3%ADmica-2ed/pages/1-introduccion
Información sobre citas

© 19 may. 2022 OpenStax. El contenido de los libros de texto que produce OpenStax tiene una licencia de Creative Commons Attribution License . El nombre de OpenStax, el logotipo de OpenStax, las portadas de libros de OpenStax, el nombre de OpenStax CNX y el logotipo de OpenStax CNX no están sujetos a la licencia de Creative Commons y no se pueden reproducir sin el previo y expreso consentimiento por escrito de Rice University.