Omitir e ir al contenidoIr a la página de accesibilidad
Logo de OpenStax
Precálculo 2ed

9.8 Resolver sistemas con la regla de Cramer

Precálculo 2ed9.8 Resolver sistemas con la regla de Cramer
Buscar términos clave o texto.

9.8 Resolver sistemas con la regla de Cramer

Objetivos de aprendizaje

En esta sección, podrá:

  • Evaluar determinantes 2 x 2.
  • Utilizar la regla de Cramer para resolver un sistema de ecuaciones en dos variables.
  • Evaluar determinantes 3 × 3.
  • Utilizar la regla de Cramer para resolver un sistema de tres ecuaciones en tres variables.
  • Conocer las propiedades de los determinantes.

Hemos aprendido a resolver sistemas de ecuaciones en dos variables y en tres variables, y por varios métodos: sustitución, adición, eliminación de Gauss-Jordan, utilizando la inversa de una matriz y mediante gráficos. Algunos de estos métodos son más fáciles de aplicar que otros y son más adecuados en determinadas situaciones. En esta sección estudiaremos otras dos estrategias para resolver sistemas de ecuaciones.

Evaluar el determinante de una matriz 2×2

El determinante es un número real que puede ser muy útil en matemáticas porque tiene múltiples aplicaciones, como calcular el área, el volumen y otras cantidades. Aquí, utilizaremos los determinantes para revelar si una matriz es invertible utilizando las entradas de una matriz cuadrada para determinar si existe una solución al sistema de ecuaciones. Sin embargo, una de las aplicaciones más interesantes es su uso en criptografía. Las señales o mensajes seguros se envían a veces codificados en una matriz. Los datos solo se pueden descifrar con una matriz invertible y el determinante. Para nuestro propósito, nos centramos en el determinante como indicación de la invertibilidad de la matriz. El cálculo del determinante de una matriz implica seguir las pautas específicas que se exponen en esta sección.

Halle el determinante de una matriz de 2 × 2

El determinante de una matriz 2×2 2×2 dado que

A=[ a b c d ] A=[ a b c d ]

se define como

Fíjese en el cambio de notación. Hay varias formas de indicar el determinante, entre ellas det( A ) det( A ) y sustituir los corchetes de una matriz por líneas rectas, | A |. | A |.

Ejemplo 1

Hallar el determinante de una matriz 2 × 2

Halle el determinante de la matriz dada.

A=[ 5 2 -6 3 ] A=[ 5 2 -6 3 ]

Usar la regla de Cramer para resolver un sistema de dos ecuaciones en dos variables

Ahora presentaremos un último método para resolver sistemas de ecuaciones que utiliza determinantes. Conocida como regla de Cramer, esta técnica se remonta a mediados del siglo XVIII y lleva el nombre de su innovador, el matemático suizo Gabriel Cramer (1704-1752), que la introdujo en 1750 en Introduction à l'Analyse des lignes Courbes algébriques “Introducción al análisis de curvas algebraicas”.. La regla de Cramer es un método viable y eficiente para calcular soluciones a sistemas con un número arbitrario de incógnitas, siempre que tengamos el mismo número de ecuaciones que de incógnitas.

La regla de Cramer nos dará la solución única de un sistema de ecuaciones, si existe. Sin embargo, si el sistema no tiene solución o tiene un número infinito de soluciones, esto se indicará con un determinante de cero. Para saber si el sistema es inconsistente o dependiente, habrá que utilizar otro método, como la eliminación.

Para entender la regla de Cramer, vamos a ver de cerca cómo resolvemos los sistemas de ecuaciones lineales mediante operaciones básicas de fila. Consideremos un sistema de dos ecuaciones en dos variables.

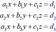
a 1 x+ b 1 y= c 1 ( 1 ) a 2 x+ b 2 y= c 2 ( 2 ) a 1 x+ b 1 y= c 1 ( 1 ) a 2 x+ b 2 y= c 2 ( 2 )

Eliminamos una variable mediante operaciones de fila y resolvemos la otra. Digamos que deseamos resolver para x. x. Si la ecuación (2) se multiplica por el contrario del coeficiente de y y en la ecuación (1), la ecuación (1) se multiplica por el coeficiente de y y en la ecuación (2) y sumamos las dos ecuaciones, la variable y y será eliminada.

b 2 a 1 x+ b 2 b 1 y= b 2 c 1 Multiplique  R 1 por  b 2 - b 1 a 2 x- b 1 b 2 y=- b 1 c 2 Multiplique  R 2 por b 1 ________________________________________________________   b 2 a 1 x- b 1 a 2 x= b 2 c 1 - b 1 c 2 b 2 a 1 x+ b 2 b 1 y= b 2 c 1 Multiplique  R 1 por  b 2 - b 1 a 2 x- b 1 b 2 y=- b 1 c 2 Multiplique  R 2 por b 1 ________________________________________________________   b 2 a 1 x- b 1 a 2 x= b 2 c 1 - b 1 c 2

Ahora, resuelva para x. x.

b 2 a 1 x- b 1 a 2 x= b 2 c 1 - b 1 c 2 x( b 2 a 1 - b 1 a 2 )= b 2 c 1 - b 1 c 2                       x= b 2 c 1 - b 1 c 2 b 2 a 1 - b 1 a 2 = | c 1 b 1 c 2 b 2 | | a 1 b 1 a 2 b 2 | b 2 a 1 x- b 1 a 2 x= b 2 c 1 - b 1 c 2 x( b 2 a 1 - b 1 a 2 )= b 2 c 1 - b 1 c 2                       x= b 2 c 1 - b 1 c 2 b 2 a 1 - b 1 a 2 = | c 1 b 1 c 2 b 2 | | a 1 b 1 a 2 b 2 |

Del mismo modo, resuelva para y, y, eliminaremos x. x.

a 2 a 1 x+ a 2 b 1 y= a 2 c 1 Multiplique  R 1 por  a 2 - a 1 a 2 x a 1 b 2 y=- a 1 c 2 Multiplique  R 2 por a 1 ________________________________________________________ a 2 b 1 y a 1 b 2 y= a 2 c 1 - a 1 c 2 a 2 a 1 x+ a 2 b 1 y= a 2 c 1 Multiplique  R 1 por  a 2 - a 1 a 2 x a 1 b 2 y=- a 1 c 2 Multiplique  R 2 por a 1 ________________________________________________________ a 2 b 1 y a 1 b 2 y= a 2 c 1 - a 1 c 2

Resuelva para y y da como resultado

a 2 b 1 y a 1 b 2 y= a 2 c 1 - a 1 c 2 y( a 2 b 1 - a 1 b 2 )= a 2 c 1 - a 1 c 2                        y= a 2 c 1 - a 1 c 2 a 2 b 1 - a 1 b 2 = a 1 c 2 - a 2 c 1 a 1 b 2 - a 2 b 1 = | a 1 c 1 a 2 c 2 | | a 1 b 1 a 2 b 2 | a 2 b 1 y a 1 b 2 y= a 2 c 1 - a 1 c 2 y( a 2 b 1 - a 1 b 2 )= a 2 c 1 - a 1 c 2                        y= a 2 c 1 - a 1 c 2 a 2 b 1 - a 1 b 2 = a 1 c 2 - a 2 c 1 a 1 b 2 - a 2 b 1 = | a 1 c 1 a 2 c 2 | | a 1 b 1 a 2 b 2 |

Observe que el denominador de ambos x x y y y es el determinante de la matriz de coeficientes.

Podemos utilizar estas fórmulas para resolver x x y y, y, pero la regla de Cramer también introduce una nueva notación:

  • D: D: determinante de la matriz de coeficientes
  • D x : D x : determinante del numerador en la solución de x x
    x= D x D x= D x D
  • D y : D y : determinante del numerador en la solución de y y
    y= D y D y= D y D

La clave de la regla de Cramer es sustituir la columna variable de interés por la columna constante y calcular los determinantes. Podemos entonces expresar x x y y y como cociente de dos determinantes.

Regla de Cramer para sistemas de 2×2

La regla de Cramer es un método que utiliza los determinantes para resolver sistemas de ecuaciones que tienen el mismo número de ecuaciones que de variables.

Consideremos un sistema de dos ecuaciones lineales en dos variables.

a 1 x+ b 1 y= c 1 a 2 x+ b 2 y= c 2 a 1 x+ b 1 y= c 1 a 2 x+ b 2 y= c 2

La solución utilizando la regla de Cramer es

x= D x D = | c 1 b 1 c 2 b 2 | | a 1 b 1 a 2 b 2 | ,D0;y= D y D = | a 1 c 1 a 2 c 2 | | a 1 b 1 a 2 b 2 | ,D0. x= D x D = | c 1 b 1 c 2 b 2 | | a 1 b 1 a 2 b 2 | ,D0;y= D y D = | a 1 c 1 a 2 c 2 | | a 1 b 1 a 2 b 2 | ,D0.

Si resolvemos para x, x, la intersección x x se sustituye por la columna constante. Si resolvemos para y, y, la columna y y se sustituye por la columna constante.

Ejemplo 2

Usar la regla de Cramer para resolver un sistema 2 × 2

Resuelva el siguiente sistema 2×2 2×2 mediante la regla de Cramer.

12x+3y=15  2x-3y=13 12x+3y=15  2x-3y=13

Inténtelo #1

Utilice la regla de Cramer para resolver el sistema de ecuaciones 2 × 2.

  x+2 y=−11 2 x+y=-13   x+2 y=−11 2 x+y=-13

Evaluar el determinante de una matriz 3 × 3

Hallar el determinante de una matriz 2×2 es sencillo, pero hallar el determinante de una matriz 3×3 es más complicado. Un método consiste en aumentar la matriz 3×3 con una repetición de las dos primeras columnas, lo que genera una matriz 3×5. A continuación, calculamos la suma de los productos de las entradas hacia abajo de cada una de las tres diagonales (de la izquierda a la derecha) y restamos los productos de las entradas hacia arriba de cada una de las tres diagonales (de la izquierda a la derecha). Esto se entiende mejor con una imagen y un ejemplo.

Halle el determinante de la matriz 3×3.

A=[ a 1 b 1 c 1 a 2 b 2 c 2 a 3 b 3 c 3 ] A=[ a 1 b 1 c 1 a 2 b 2 c 2 a 3 b 3 c 3 ]
  1. Aumente A A con las dos primeras columnas.
    det(A)=| a 1 b 1 c 1 a 2 b 2 c 2 a 3 b 3 c 3 | a 1 a 2 a 3 b 1 b 2 b 3 | det(A)=| a 1 b 1 c 1 a 2 b 2 c 2 a 3 b 3 c 3 | a 1 a 2 a 3 b 1 b 2 b 3 |
  2. De arriba a la izquierda a abajo a la derecha: multiplique las entradas por la primera diagonal. Sume el resultado al producto de las entradas de la segunda diagonal. Sume este resultado al producto de las entradas de la tercera diagonal.
  3. De abajo a la izquierda a arriba a la derecha: reste el producto de las entradas de la primera diagonal. A este resultado hay que restarle el producto de las entradas de la segunda diagonal. A este resultado hay que restarle el producto de las entradas de la tercera diagonal.

El álgebra es la siguiente:

| A |= a 1 b 2 c 3 + b 1 c 2 a 3 + c 1 a 2 b 3 a 3 b 2 c 1 - b 3 c 2 a 1 - c 3 a 2 b 1 | A |= a 1 b 2 c 3 + b 1 c 2 a 3 + c 1 a 2 b 3 a 3 b 2 c 1 - b 3 c 2 a 1 - c 3 a 2 b 1

Ejemplo 3

Hallar el determinante de una matriz 3 × 3

Halle el determinante de la matriz 3 × 3 dada

A=[ 0 2 1 3 -1 1 4 0 1 ] A=[ 0 2 1 3 -1 1 4 0 1 ]

Inténtelo #2

Halle el determinante de la matriz 3 × 3.

det(A)=| 1 -3 7 1 1 1 1 -2 3 | det(A)=| 1 -3 7 1 1 1 1 -2 3 |

Preguntas y respuestas

¿Podemos utilizar el mismo método para hallar el determinante de una matriz más grande?

No, este método solo funciona para matrices 2×2 2×2 y 3×3 3×3 . Para matrices más grandes, es mejor utilizar una herramienta gráfica o un software.

Uso de la regla de Cramer para resolver un sistema de tres ecuaciones en tres variables

Ahora que podemos calcular el determinante de una matriz 3 × 3, podemos aplicar la regla de Cramer para resolver un sistema de tres ecuaciones en tres variables. La regla de Cramer es sencilla y sigue un patrón consistente con la regla de Cramer para matrices de 2 × 2. Sin embargo, a medida que el orden de la matriz aumenta a 3 × 3, se requieren muchos más cálculos.

Cuando calculamos que el determinante es cero, la regla de Cramer no da ninguna indicación de si el sistema no tiene solución o tiene un número infinito de soluciones. Para averiguarlo, tenemos que hacer una eliminación en el sistema.

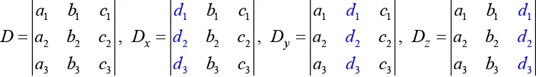
Considere un sistema de ecuaciones 3 × 3.

x= D x D ,y= D y D ,z= D c D ,D0 x= D x D ,y= D y D ,z= D c D ,D0

donde

Si escribimos el determinante D x , D x , sustituimos la columna x x con la columna constante. Si escribimos el determinante D y , D y , sustituimos la columna y y con la columna constante. Si escribimos el determinante D c , D c , sustituimos la columna c c con la columna constante. Compruebe siempre la respuesta.

Ejemplo 4

Resolver un sistema de 3 × 3 mediante la regla de Cramer

Halle la solución del sistema de 3 × 3 dado mediante la regla de Cramer.

x+y-z=6 3x-2y+z=−5 x+3y-2z=14 x+y-z=6 3x-2y+z=−5 x+3y-2z=14

Inténtelo #3

Usar la regla de Cramer para resolver la matriz 3 × 3.

x-3y+7z=13 x+y+z=1 x-2y+3z=4 x-3y+7z=13 x+y+z=1 x-2y+3z=4

Ejemplo 5

Usar la regla de Cramer para resolver un sistema inconsistente

Resuelva el sistema de ecuaciones mediante la regla de Cramer.

3x-2y=4(1) 6x-4y=0(2 ) 3x-2y=4(1) 6x-4y=0(2 )

Ejemplo 6

Utilizar la regla de Cramer para resolver un sistema dependiente

Resuelva el sistema con un número infinito de soluciones.

x-2y+3z=0 (1) 3x+y-2z=0 (2 ) 2 x-4y+6z=0 (3) x-2y+3z=0 (1) 3x+y-2z=0 (2 ) 2 x-4y+6z=0 (3)

Comprender las propiedades de los determinantes

Hay muchas propiedades de los determinantes. A continuación, se enumeran algunas propiedades que pueden ser útiles para calcular el determinante de una matriz.

Propiedades de los determinantes

  1. Si la matriz está en forma triangular superior, el determinante es igual al producto de las entradas por la diagonal principal.
  2. Cuando se intercambian dos filas, el determinante cambia de signo.
  3. Si dos filas o dos columnas son idénticas, el determinante es igual a cero.
  4. Si una matriz contiene una fila de ceros o una columna de ceros, el determinante es igual a cero.
  5. El determinante de una matriz inversa A 1 A 1 es el recíproco del determinante de la matriz A. A.
  6. Si cualquier fila o columna se multiplica por una constante, el determinante se multiplica por el mismo factor.

Ejemplo 7

Ilustrar propiedades de los determinantes

Ilustre cada una de las propiedades de los determinantes.

Ejemplo 8

Usar la regla de Cramer y propiedades de los determinantes para resolver un sistema

Halle la solución del sistema 3 × 3 dado.

2 x+4y+4z=2 (1) 3x+7y+7z=−5 (2 )  x+2 y+2z=4 (3) 2 x+4y+4z=2 (1) 3x+7y+7z=−5 (2 )  x+2 y+2z=4 (3)

Media

Acceda a estos recursos en línea para obtener más instrucciones y practicar la regla de Cramer.

9.8 Ejercicios de sección

Verbales

1.

Explique por qué siempre podemos evaluar el determinante de una matriz cuadrada.

2.

Examine la regla de Cramer y explique por qué no existe una solución única para el sistema cuando el determinante de su matriz es 0. Para simplificar, utilice una matriz 2×2 2×2 .

3.

Explique qué significa en términos de inversa que una matriz tenga un determinante 0.

4.

El determinante de la matriz 2×2 2×2 A A es 3. Si cambia las filas y multiplica la primera fila por 6 y la segunda por 2, explique cómo hallar el determinante y proporcione la respuesta.

Algebraicos

En los siguientes ejercicios, calcule el determinante.

5.

| 1 2 3 4 | | 1 2 3 4 |

6.

| -1 2 3 -4 | | -1 2 3 -4 |

7.

| 2 -5 -1 6 | | 2 -5 -1 6 |

8.

| 8 4 -1 5 | | 8 4 -1 5 |

9.

| 1 0 3 -4 | | 1 0 3 -4 |

10.

| 10 20 0 -10 | | 10 20 0 -10 |

11.

| 10 0,2 5 0,1 | | 10 0,2 5 0,1 |

12.

| 6 -3 8 4 | | 6 -3 8 4 |

13.

| -2 -3 3,1 4.000 | | -2 -3 3,1 4.000 |

14.

| 1,1 0,6 7,2 0,5 | | 1,1 0,6 7,2 0,5 |

15.

| -1 0 0 0 1 0 0 0 -3 | | -1 0 0 0 1 0 0 0 -3 |

16.

| -1 4 0 0 2 3 0 0 -3 | | -1 4 0 0 2 3 0 0 -3 |

17.

| 1 0 1 0 1 0 1 0 0 | | 1 0 1 0 1 0 1 0 0 |

18.

| 2 -3 1 3 -4 1 -5 6 1 | | 2 -3 1 3 -4 1 -5 6 1 |

19.

| -2 1 4 -4 2 -8 2 -8 -3 | | -2 1 4 -4 2 -8 2 -8 -3 |

20.

| 6 -1 2 -4 -3 5 1 9 -1 | | 6 -1 2 -4 -3 5 1 9 -1 |

21.

| 5 1 -1 2 3 1 3 -6 -3 | | 5 1 -1 2 3 1 3 -6 -3 |

22.

| 1,1 2 1 -4 0 0 4,1 0,4 2,5 | | 1,1 2 1 -4 0 0 4,1 0,4 2,5 |

23.

| 2 1,6 3,1 1,1 3 -8 9,3 0 2 | | 2 1,6 3,1 1,1 3 -8 9,3 0 2 |

24.

| - 1 2 1 3 1 4 1 5 - 1 6 1 7 0 0 1 8 | | - 1 2 1 3 1 4 1 5 - 1 6 1 7 0 0 1 8 |

En los siguientes ejercicios, resuelva el sistema de ecuaciones lineales utilizando la regla de Cramer.

25.

2 x-3y=−1 4x+5y=9 2 x-3y=−1 4x+5y=9

26.

5x-4y=2 -4x+7y=6 5x-4y=2 -4x+7y=6

27.

6x-3y=2 -8x+9y=–1 6x-3y=2 -8x+9y=–1

28.

2 x+6y=12 5x-2y=13 2 x+6y=12 5x-2y=13

29.

4x+3y=23 2x-y=–1 4x+3y=23 2x-y=–1

30.

10x-6y=2 -5x+8y=–1 10x-6y=2 -5x+8y=–1

31.

4x-3y=−3 2x+6y=–4 4x-3y=−3 2x+6y=–4

32.

4x-5y=7 -3x+9y=0 4x-5y=7 -3x+9y=0

33.

4x+10y=180 3x-5y=-105 4x+10y=180 3x-5y=-105

34.

8x-2y=−3 4x+6y=4 8x-2y=−3 4x+6y=4

En los siguientes ejercicios, resuelva el sistema de ecuaciones lineales utilizando la regla de Cramer.

35.

x+2 y-4z=-1 7x+3y+5z=26 2 x-6y+7z=6 x+2 y-4z=-1 7x+3y+5z=26 2 x-6y+7z=6

36.

-5x+2 y-4z=47 4x-3y-z=94 3x-3y+2z=94 -5x+2 y-4z=47 4x-3y-z=94 3x-3y+2z=94

37.

4x+5y-z=−7 −2x-9y+2z=8 5y+7z=21 4x+5y-z=−7 −2x-9y+2z=8 5y+7z=21

38.

4x-3y+4z=10 5x-2z=-2 3x+2 y-5z=-9 4x-3y+4z=10 5x-2z=-2 3x+2 y-5z=-9

39.

4x-2y+3z=6 6x+y=-2 2 x+7y+8z=24 4x-2y+3z=6 6x+y=-2 2 x+7y+8z=24

40.

5x+2 y-z=1 -7x-8y+3z=1,5 6x-12y+z=7 5x+2 y-z=1 -7x-8y+3z=1,5 6x-12y+z=7

41.

13x17y+16c=73 11x+15y+17c=61 46x+10y30c=18 13x17y+16c=73 11x+15y+17c=61 46x+10y30c=18

42.

-4x-3y-8z=-7 2x-9y+5z=0,5 5x-6y-5z=-2 -4x-3y-8z=-7 2x-9y+5z=0,5 5x-6y-5z=-2

43.

4x-6y+8z=10 -2 x+3y-4z=-5 x+y+z=1 4x-6y+8z=10 -2 x+3y-4z=-5 x+y+z=1

44.

4x-6y+8z=10 -2 x+3y-4z=-5 12x+18y24c=30 4x-6y+8z=10 -2 x+3y-4z=-5 12x+18y24c=30

En tecnología

En los siguientes ejercicios, utilice la función determinante en una herramienta gráfica.

45.

| 1 0 8 9 0 2 1 0 1 0 3 0 0 2 4 3 | | 1 0 8 9 0 2 1 0 1 0 3 0 0 2 4 3 |

46.

| 1 0 2 1 0 −9 1 3 3 0 −2 −1 0 1 1 −2 | | 1 0 2 1 0 −9 1 3 3 0 −2 −1 0 1 1 −2 |

47.

| 1 2 1 7 4 0 1 2 100 5 0 0 2 2.000 0 0 0 2 | | 1 2 1 7 4 0 1 2 100 5 0 0 2 2.000 0 0 0 2 |

48.

| 1 0 0 0 2 3 0 0 4 5 6 0 7 8 9 0 | | 1 0 0 0 2 3 0 0 4 5 6 0 7 8 9 0 |

Aplicaciones en el mundo real

En los siguientes ejercicios, cree un sistema de ecuaciones lineales para describir el comportamiento. Luego, calcule el determinante. ¿Habrá una solución única? Si es así, halle la solución única.

49.

Dos números suman 56. Un número es 20 menos que el otro.

50.

Dos números suman 104. Si suma dos veces el primer número más dos veces el segundo, el total es 208

51.

Tres números suman 106. El primer número es 3 menos que el segundo. El tercer número es 4 más que el primero.

52.

Tres números suman 216. La suma de los dos primeros números es 112. El tercer número es 8 menos que los dos primeros números juntos.

En los siguientes ejercicios, cree un sistema de ecuaciones lineales para describir el comportamiento. A continuación, resuelva el sistema para todas las soluciones mediante la regla de Cramer.

53.

Invierte 10.000 dólares en dos cuentas: una recibe un interés del 8 % y la otra del 5 %. Al final de un año, tenía 10.710 dólares en sus cuentas combinadas. ¿Cuánto se invirtió en cada cuenta?

54.

Invierte 80.000 dólares en dos cuentas: 22.000 dólares en una cuenta y 58.000 dólares en la otra. Al cabo de un año, si suponemos un interés simple, ha ganado 2.470 dólares en intereses. La segunda cuenta recibe medio porcentaje menos que el doble de intereses de la primera. ¿Cuáles son las tasas de interés de sus cuentas?

55.

El teatro necesita saber cuántas entradas de adulto y de niño se vendieron de las 1.200 entradas totales. Si las entradas para niños cuestan 5,95 dólares, las de los adultos 11,15 dólares, y el importe total de los ingresos fue de 12.756 dólares, ¿cuántas entradas de niños y de adultos se vendieron?

56.

Un local de conciertos vende entradas individuales por 40 dólares cada una y entradas para parejas por 65 dólares. Si los ingresos totales fueron de 18.090 dólares y se vendieron las 321 entradas, ¿cuántas entradas individuales y cuántas entradas de pareja se vendieron?

57.

Decide pintar su cocina de verde. El color de la pintura se crea mezclando pinturas amarillas y azules. No puede recordar cuántos galones de cada color se pusieron en la mezcla, pero sabe que fueron 10 galones en total. Además, guardó su recibo y sabe que el monto total gastado fue de 29,50 dólares. Si cada galón de amarillo cuesta 2,59 dólares y cada galón de azul cuesta 3,19 dólares, ¿cuántos galones de cada color entran en su mezcla verde?

58.

Ha vendido dos tipos de bufandas en un mercado de productores y le gustaría saber cuál ha sido más popular. El número total de bufandas vendidas fue de 56, la bufanda amarilla costó 10 dólares y la bufanda morada 11 dólares. Si los ingresos totales fueron de 583 dólares, ¿cuántas bufandas amarillas y cuántas bufandas moradas se vendieron?

59.

Su huerto produjo dos tipos de tomates, uno verde y otro rojo. Los rojos pesan 10 oz, y los verdes pesan 4 oz. Tiene 30 tomates, y un peso total de 13 lb, 14 oz. ¿Cuántos de cada tipo de tomate tiene?

60.

En un mercado, las tres hortalizas más populares representan el 53 % de las ventas del rubro. El maíz tiene el 4 % más de ventas que el brócoli, que tiene el 5 % más de ventas que la cebolla. ¿Qué porcentaje tiene cada hortaliza en la cuota de mercado?

61.

En el mismo mercado, las tres frutas más populares representan el 37 % del total de la fruta vendida. Las fresas se venden el doble que las naranjas y los kiwis un punto porcentual más que estas. Para cada fruta halle el porcentaje del total de frutas vendidas.

62.

Tres artistas actuaron en una sala de conciertos. El primero cobraba 15 dólares por entrada, el segundo artista cobraba 45 dólares por entrada y el último cobraba 22 dólares por entrada. Se vendieron 510 entradas, por un total de 12.700 dólares. Si la primera banda tenía 40 espectadores más que la segunda, ¿cuántas entradas se vendieron para cada banda?

63.

Una sala de cine vendía entradas para tres películas. Las entradas para la primera película costaban 5 dólares, las de la segunda 11 y las de la tercera 12. Se vendieron 100 entradas para la primera película. El número total de entradas vendidas fue de 642, con unos ingresos totales de 6.774 dólares. ¿Cuántas entradas se vendieron para cada película?

En los siguientes ejercicios, utilice este escenario: Una compañía preocupada por la salud decide hacer una mezcla de frutos secos con almendras, arándanos secos y anacardos cubiertos de chocolate. La información nutricional de estos artículos se muestra en la Tabla 1.

Grasa (g) Proteínas (g) Carbohidratos (g)
Almendras (10) 6 2 3
Arándanos (10) 0,02 0 8
Anacardos (10) 7 3,5 5,5
Tabla 1
64.

Para la mezcla de frutos secos especial "baja en carbohidratos", hay 1.000 piezas de mezcla. El número total de carbohidratos es de 425 g y la cantidad total de grasa es de 570,2 g. Si hay 200 piezas más de anacardos que de arándanos, ¿cuántas piezas de cada elemento hay en la mezcla de frutos secos?

65.

En el caso de la mezcla de "senderismo", hay 1.000 piezas en la mezcla, que contienen 390,8 g de grasa y 165 g de proteína. Si hay la misma cantidad de almendras que de anacardos, ¿cuál es la cantidad de cada elemento en la mezcla de frutos secos?

66.

En el caso de la mezcla "potenciadora de energía", hay 1.000 piezas en la mezcla que contienen 145 g de proteínas y 625 g de carbohidratos. Si el número de almendras y anacardos sumados equivale a la cantidad de arándanos, ¿cuál es la cantidad de cada elemento en la mezcla de frutos secos?

Cita/Atribución

Este libro no puede ser utilizado en la formación de grandes modelos de lenguaje ni incorporado de otra manera en grandes modelos de lenguaje u ofertas de IA generativa sin el permiso de OpenStax.

¿Desea citar, compartir o modificar este libro? Este libro utiliza la Creative Commons Attribution License y debe atribuir a OpenStax.

Información de atribución
  • Si redistribuye todo o parte de este libro en formato impreso, debe incluir en cada página física la siguiente atribución:
    Acceso gratis en https://openstax.org/books/prec%C3%A1lculo-2ed/pages/1-introduccion
  • Si redistribuye todo o parte de este libro en formato digital, debe incluir en cada vista de la página digital la siguiente atribución:
    Acceso gratuito en https://openstax.org/books/prec%C3%A1lculo-2ed/pages/1-introduccion
Información sobre citas

© 27 abr. 2022 OpenStax. El contenido de los libros de texto que produce OpenStax tiene una licencia de Creative Commons Attribution License . El nombre de OpenStax, el logotipo de OpenStax, las portadas de libros de OpenStax, el nombre de OpenStax CNX y el logotipo de OpenStax CNX no están sujetos a la licencia de Creative Commons y no se pueden reproducir sin el previo y expreso consentimiento por escrito de Rice University.