Skip to ContentGo to accessibility page
OpenStax Logo
Prealgebra

9.7 Solve a Formula for a Specific Variable

Prealgebra9.7 Solve a Formula for a Specific Variable
Search for key terms or text.

9.7 Solve a Formula for a Specific Variable

Learning Objectives

By the end of this section, you will be able to:
  • Use the distance, rate, and time formula
  • Solve a formula for a specific variable

Be Prepared 9.7

Before you get started, take this readiness quiz.

  1. Write 3535 miles per gallon as a unit rate.
    If you missed this problem, review Example 5.65.
  2. Solve 6x+24=96.6x+24=96.
    If you missed this problem, review Example 8.20.
  3. Find the simple interest earned after 55 years on $1,000$1,000 at an interest rate of 4%.4%.
    If you missed this problem, review Example 6.33.

Use the Distance, Rate, and Time Formula

One formula you’ll use often in algebra and in everyday life is the formula for distance traveled by an object moving at a constant speed. The basic idea is probably already familiar to you. Do you know what distance you travel if you drove at a steady rate of 6060 miles per hour for 22 hours? (This might happen if you use your car’s cruise control while driving on the Interstate.) If you said 120120 miles, you already know how to use this formula!

The math to calculate the distance might look like this:

distance=(60miles1hour)(2hours)distance=120milesdistance=(60miles1hour)(2hours)distance=120miles

In general, the formula relating distance, rate, and time is

distance=rate·timedistance=rate·time

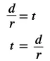
Distance, Rate and Time

For an object moving in at a uniform (constant) rate, the distance traveled, the elapsed time, and the rate are related by the formula

d=rtd=rt

where d=d= distance, r=r= rate, and t=t= time.

Notice that the units we used above for the rate were miles per hour, which we can write as a ratio mileshour.mileshour. Then when we multiplied by the time, in hours, the common units ‘hour’ divided out. The answer was in miles.

Example 9.57

Jamal rides his bike at a uniform rate of 1212 miles per hour for 312312 hours. How much distance has he traveled?

Try It 9.113

Lindsay drove for 512512 hours at 6060 miles per hour. How much distance did she travel?

Try It 9.114

Trinh walked for 213213 hours at 33 miles per hour. How far did she walk?

Example 9.58

Rey is planning to drive from his house in San Diego to visit his grandmother in Sacramento, a distance of 520520 miles. If he can drive at a steady rate of 6565 miles per hour, how many hours will the trip take?

Try It 9.115

Lee wants to drive from Phoenix to his brother’s apartment in San Francisco, a distance of 770770 miles. If he drives at a steady rate of 7070 miles per hour, how many hours will the trip take?

Try It 9.116

Yesenia is 168168 miles from Chicago. If she needs to be in Chicago in 33 hours, at what rate does she need to drive?

Solve a Formula for a Specific Variable

In this chapter, you became familiar with some formulas used in geometry. Formulas are also very useful in the sciences and social sciences—fields such as chemistry, physics, biology, psychology, sociology, and criminal justice. Healthcare workers use formulas, too, even for something as routine as dispensing medicine. The widely used spreadsheet program Microsoft ExcelTM relies on formulas to do its calculations. Many teachers use spreadsheets to apply formulas to compute student grades. It is important to be familiar with formulas and be able to manipulate them easily.

In Example 9.57 and Example 9.58, we used the formula d=rt.d=rt. This formula gives the value of dd when you substitute in the values of rr and t.t. But in Example 9.58, we had to find the value of t.t. We substituted in values of dd and rr and then used algebra to solve to t.t. If you had to do this often, you might wonder why there isn’t a formula that gives the value of tt when you substitute in the values of dd and r.r. We can get a formula like this by solving the formula d=rtd=rt for t.t.

To solve a formula for a specific variable means to get that variable by itself with a coefficient of 11 on one side of the equation and all the other variables and constants on the other side. We will call this solving an equation for a specific variable in general. This process is also called solving a literal equation. The result is another formula, made up only of variables. The formula contains letters, or literals.

Let’s try a few examples, starting with the distance, rate, and time formula we used above.

Example 9.59

Solve the formula d=rtd=rt for t:t:

  1. when d=520d=520 and r=65r=65
  2. in general.

Try It 9.117

Solve the formula d=rtd=rt for r:r:

  1. when d=180d=180 and t=4t=4
  2. in general

Try It 9.118

Solve the formula d=rtd=rt for r:r:

  1. when d=780d=780 and t=12t=12
  2. in general

We used the formula A=12bhA=12bh in Use Properties of Rectangles, Triangles, and Trapezoids to find the area of a triangle when we were given the base and height. In the next example, we will solve this formula for the height.

Example 9.60

The formula for area of a triangle is A=12bh.A=12bh. Solve this formula for h:h:

  1. when A=90A=90 and b=15b=15
  2. in general

Try It 9.119

Use the formula A=12bhA=12bh to solve for h:h:

  1. when A=170A=170 and b=17b=17
  2. in general

Try It 9.120

Use the formula A=12bhA=12bh to solve for b:b:

  1. when A=62A=62 and h=31h=31
  2. in general

In Solve Simple Interest Applications, we used the formula I=PrtI=Prt to calculate simple interest, where II is interest, PP is principal, rr is rate as a decimal, and tt is time in years.

Example 9.61

Solve the formula I=PrtI=Prt to find the principal, P:P:

  1. when I=$5,600,r=4%,t=7yearsI=$5,600,r=4%,t=7years
  2. in general

Try It 9.121

Use the formula I=Prt.I=Prt.

Find t:t: when I=$2,160,r=6%,P=$12,000;I=$2,160,r=6%,P=$12,000; in general

Try It 9.122

Use the formula I=Prt.I=Prt.

Find r:r: when I=$5,400,P=$9,000,t=5yearsI=$5,400,P=$9,000,t=5years in general

Later in this class, and in future algebra classes, you’ll encounter equations that relate two variables, usually xx and y.y. You might be given an equation that is solved for yy and need to solve it for x,x, or vice versa. In the following example, we’re given an equation with both xx and yy on the same side and we’ll solve it for y.y. To do this, we will follow the same steps that we used to solve a formula for a specific variable.

Example 9.62

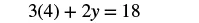
Solve the formula 3x+2y=183x+2y=18 for y:y:

  1. when x=4x=4
  2. in general

Try It 9.123

Solve the formula 3x+4y=103x+4y=10 for y:y:

  1. when x=2x=2
  2. in general

Try It 9.124

Solve the formula 5x+2y=185x+2y=18 for y:y:

  1. when x=4x=4
  2. in general

In the previous examples, we used the numbers in part (a) as a guide to solving in general in part (b). Do you think you’re ready to solve a formula in general without using numbers as a guide?

Example 9.63

Solve the formula P=a+b+cP=a+b+c for a.a.

Try It 9.125

Solve the formula P=a+b+cP=a+b+c for b.b.

Try It 9.126

Solve the formula P=a+b+cP=a+b+c for c.c.

Example 9.64

Solve the equation 3x+y=103x+y=10 for y.y.

Try It 9.127

Solve the formula 7x+y=117x+y=11 for y.y.

Try It 9.128

Solve the formula 11x+y=811x+y=8 for y.y.

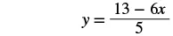
Example 9.65

Solve the equation 6x+5y=136x+5y=13 for y.y.

Try It 9.129

Solve the formula 4x+7y=94x+7y=9 for y.y.

Try It 9.130

Solve the formula 5x+8y=15x+8y=1 for y.y.

Section 9.7 Exercises

Practice Makes Perfect

Use the Distance, Rate, and Time Formula

In the following exercises, solve.

307.

Steve drove for 812812 hours at 7272 miles per hour. How much distance did he travel?

308.

Socorro drove for 456456 hours at 6060 miles per hour. How much distance did she travel?

309.

Yuki walked for 134134 hours at 44 miles per hour. How far did she walk?

310.

Francie rode her bike for 212212 hours at 1212 miles per hour. How far did she ride?

311.

Connor wants to drive from Tucson to the Grand Canyon, a distance of 338338 miles. If he drives at a steady rate of 5252 miles per hour, how many hours will the trip take?

312.

Megan is taking the bus from New York City to Montreal. The distance is 384384 miles and the bus travels at a steady rate of 6464 miles per hour. How long will the bus ride be?

313.

Aurelia is driving from Miami to Orlando at a rate of 6565 miles per hour. The distance is 235235 miles. To the nearest tenth of an hour, how long will the trip take?

314.

Kareem wants to ride his bike from St. Louis, Missouri to Champaign, Illinois. The distance is 180180 miles. If he rides at a steady rate of 1616 miles per hour, how many hours will the trip take?

315.

Javier is driving to Bangor, Maine, which is 240240 miles away from his current location. If he needs to be in Bangor in 44 hours, at what rate does he need to drive?

316.

Alejandra is driving to Cincinnati, Ohio, 450450 miles away. If she wants to be there in 66 hours, at what rate does she need to drive?

317.

Aisha took the train from Spokane to Seattle. The distance is 280280 miles, and the trip took 3.53.5 hours. What was the speed of the train?

318.

Philip got a ride with a friend from Denver to Las Vegas, a distance of 750750 miles. If the trip took 1010 hours, how fast was the friend driving?

Solve a Formula for a Specific Variable

In the following exercises, use the formula. d=rt.d=rt.

319.

Solve for t:t:

  1. when d=350d=350 and r=70r=70
  2. in general
320.

Solve for t:t:

  1. when d=240d=240 and r=60r=60
  2. in general
321.

Solve for t:t:

  1. when d=510d=510 and r=60r=60
  2. in general
322.

Solve for t:t:

  1. when d=175d=175 and r=50r=50
  2. in general
323.

Solve for r:r:

  1. when d=204d=204 and t=3t=3
  2. in general
324.

Solve for r:r:

  1. when d=420d=420 and t=6t=6
  2. in general
325.

Solve for r:r:

  1. when d=160d=160 and t=2.5t=2.5
  2. in general
326.

Solve for r:r:

  1. when d=180d=180 and t=4.5t=4.5
  2. in general.

In the following exercises, use the formula A=12bh.A=12bh.

327.

Solve for b:b:

  1. when A=126A=126 and h=18h=18
  2. in general
328.

Solve for h:h:

  1. when A=176A=176 and b=22b=22
  2. in general
329.

Solve for h:h:

  1. when A=375A=375 and b=25b=25
  2. in general
330.

Solve for b:b:

  1. when A=65A=65 and h=13h=13
  2. in general

In the following exercises, use the formula I=Prt.I=Prt.

331.

Solve for the principal, PP for:

  1. I=$5,480I=$5,480, r=4%r=4%, t=7yearst=7years
  2. in general
332.

Solve for the principal, PP for:

  1. I=$3,950I=$3,950, r=6%r=6%, t=5yearst=5years
  2. in general
333.

Solve for the time, tt for:

  1. I=$2,376I=$2,376, P=$9,000P=$9,000, r=4.4%r=4.4%
  2. in general
334.

Solve for the time, tt for:

  1. I=$624I=$624, P=$6,000P=$6,000, r=5.2%r=5.2%
  2. in general

In the following exercises, solve.

335.

Solve the formula 2x+3y=122x+3y=12 for y:y:

  1. when x=3x=3
  2. in general
336.

Solve the formula 5x+2y=105x+2y=10 for y:y:

  1. when x=4x=4
  2. in general
337.

Solve the formula 3x+y=73x+y=7 for y:y:

  1. when x=−2x=−2
  2. in general
338.

Solve the formula 4x+y=54x+y=5 for y:y:

  1. when x=−3x=−3
  2. in general
339.

Solve a+b=90a+b=90 for b.b.

340.

Solve a+b=90a+b=90 for a.a.

341.

Solve 180=a+b+c180=a+b+c for a.a.

342.

Solve 180=a+b+c180=a+b+c for c.c.

343.

Solve the formula 8x+y=158x+y=15 for y.y.

344.

Solve the formula 9x+y=139x+y=13 for y.y.

345.

Solve the formula 4x+y=−64x+y=−6 for y.y.

346.

Solve the formula 5x+y=−15x+y=−1 for y.y.

347.

Solve the formula 4x+3y=74x+3y=7 for y.y.

348.

Solve the formula 3x+2y=113x+2y=11 for y.y.

349.

Solve the formula xy=−4xy=−4 for y.y.

350.

Solve the formula xy=−3xy=−3 for y.y.

351.

Solve the formula P=2L+2WP=2L+2W for L.L.

352.

Solve the formula P=2L+2WP=2L+2W for W.W.

353.

Solve the formula C=πdC=πd for d.d.

354.

Solve the formula C=πdC=πd for π.π.

355.

Solve the formula V=LWHV=LWH for L.L.

356.

Solve the formula V=LWHV=LWH for H.H.

Everyday Math

357.

Converting temperature While on a tour in Greece, Tatyana saw that the temperature was 40°40° Celsius. Solve for FF in the formula C=59(F32)C=59(F32) to find the temperature in Fahrenheit.

358.

Converting temperature Yon was visiting the United States and he saw that the temperature in Seattle was 50°50° Fahrenheit. Solve for CC in the formula F=95C+32F=95C+32 to find the temperature in Celsius.

Writing Exercises

359.

Solve the equation 2x+3y=62x+3y=6 for y:y:

  1. when x=−3x=−3
  2. in general
  3. Which solution is easier for you? Explain why.
360.

Solve the equation 5x2y=105x2y=10 for x:x:

  1. when y=10y=10
  2. in general
  3. Which solution is easier for you? Explain why.

Self Check

After completing the exercises, use this checklist to evaluate your mastery of the objectives of this section.

Overall, after looking at the checklist, do you think you are well-prepared for the next Chapter? Why or why not?

Citation/Attribution

This book may not be used in the training of large language models or otherwise be ingested into large language models or generative AI offerings without OpenStax's permission.

Want to cite, share, or modify this book? This book uses the Creative Commons Attribution License and you must attribute OpenStax.

Attribution information
  • If you are redistributing all or part of this book in a print format, then you must include on every physical page the following attribution:

    Access for free at https://openstax.org/books/prealgebra/pages/1-introduction

  • If you are redistributing all or part of this book in a digital format, then you must include on every digital page view the following attribution:

    Access for free at https://openstax.org/books/prealgebra/pages/1-introduction

Citation information

© Feb 9, 2022 OpenStax. Textbook content produced by OpenStax is licensed under a Creative Commons Attribution License . The OpenStax name, OpenStax logo, OpenStax book covers, OpenStax CNX name, and OpenStax CNX logo are not subject to the Creative Commons license and may not be reproduced without the prior and express written consent of Rice University.