Skip to ContentGo to accessibility page
OpenStax Logo
Prealgebra

8.3 Solve Equations with Variables and Constants on Both Sides

Prealgebra8.3 Solve Equations with Variables and Constants on Both Sides
Search for key terms or text.

8.3 Solve Equations with Variables and Constants on Both Sides

Learning Objectives

By the end of this section, you will be able to:
  • Solve an equation with constants on both sides
  • Solve an equation with variables on both sides
  • Solve an equation with variables and constants on both sides
  • Solve equations using a general strategy

Be Prepared 8.3

Before you get started, take this readiness quiz.

  1. Simplify: 4y9+9.4y9+9.
    If you missed this problem, review Example 2.22.
  2. Solve: y+12=16.y+12=16.
    If you missed this problem, review Example 2.31.
  3. Solve: −3y=63.−3y=63.
    If you missed this problem, review Example 3.65.

Solve an Equation with Constants on Both Sides

You may have noticed that in all the equations we have solved so far, all the variable terms were on only one side of the equation with the constants on the other side. This does not happen all the time—so now we’ll see how to solve equations where the variable terms and/or constant terms are on both sides of the equation.

Our strategy will involve choosing one side of the equation to be the variable side, and the other side of the equation to be the constant side. Then, we will use the Subtraction and Addition Properties of Equality, step by step, to get all the variable terms together on one side of the equation and the constant terms together on the other side.

By doing this, we will transform the equation that started with variables and constants on both sides into the form ax=b.ax=b. We already know how to solve equations of this form by using the Division or Multiplication Properties of Equality.

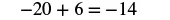
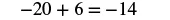
Example 8.20

Solve: 4x+6=−14.4x+6=−14.

Try It 8.39

Solve: 3x+4=−8.3x+4=−8.

Try It 8.40

Solve: 5a+3=−37.5a+3=−37.

Example 8.21

Solve: 2y7=15.2y7=15.

Try It 8.41

Solve: 5y9=16.5y9=16.

Try It 8.42

Solve: 3m8=19.3m8=19.

Solve an Equation with Variables on Both Sides

What if there are variables on both sides of the equation? We will start like we did above—choosing a variable side and a constant side, and then use the Subtraction and Addition Properties of Equality to collect all variables on one side and all constants on the other side. Remember, what you do to the left side of the equation, you must do to the right side too.

Example 8.22

Solve: 5x=4x+7.5x=4x+7.

Try It 8.43

Solve: 6n=5n+10.6n=5n+10.

Try It 8.44

Solve: −6c=−7c+1.−6c=−7c+1.

Example 8.23

Solve: 5y8=7y.5y8=7y.

Try It 8.45

Solve: 3p14=5p.3p14=5p.

Try It 8.46

Solve: 8m+9=5m.8m+9=5m.

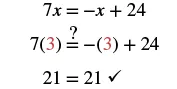
Example 8.24

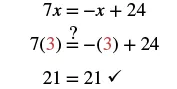
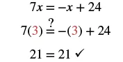
Solve: 7x=x+24.7x=x+24.

Try It 8.47

Solve: 12j=−4j+32.12j=−4j+32.

Try It 8.48

Solve: 8h=−4h+12.8h=−4h+12.

Solve Equations with Variables and Constants on Both Sides

The next example will be the first to have variables and constants on both sides of the equation. As we did before, we’ll collect the variable terms to one side and the constants to the other side.

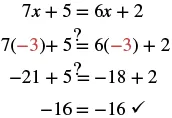
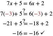
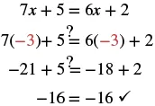
Example 8.25

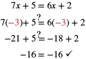
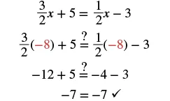
Solve: 7x+5=6x+2.7x+5=6x+2.

Try It 8.49

Solve: 12x+8=6x+2.12x+8=6x+2.

Try It 8.50

Solve: 9y+4=7y+12.9y+4=7y+12.

We’ll summarize the steps we took so you can easily refer to them.

How To

Solve an equation with variables and constants on both sides.

  1. Step 1. Choose one side to be the variable side and then the other will be the constant side.
  2. Step 2. Collect the variable terms to the variable side, using the Addition or Subtraction Property of Equality.
  3. Step 3. Collect the constants to the other side, using the Addition or Subtraction Property of Equality.
  4. Step 4. Make the coefficient of the variable 1,1, using the Multiplication or Division Property of Equality.
  5. Step 5. Check the solution by substituting it into the original equation.

It is a good idea to make the variable side the one in which the variable has the larger coefficient. This usually makes the arithmetic easier.

Example 8.26

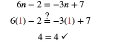
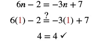
Solve: 6n2=−3n+7.6n2=−3n+7.

Try It 8.51

Solve: 8q5=−4q+7.8q5=−4q+7.

Try It 8.52

Solve: 7n3=n+3.7n3=n+3.

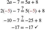
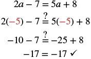
Example 8.27

Solve: 2a7=5a+8.2a7=5a+8.

Try It 8.53

Solve: 2a2=6a+18.2a2=6a+18.

Try It 8.54

Solve: 4k1=7k+17.4k1=7k+17.

To solve an equation with fractions, we still follow the same steps to get the solution.

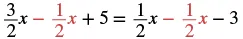
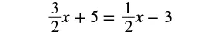
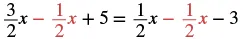
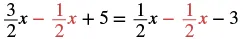
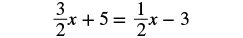
Example 8.28

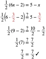
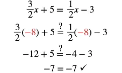
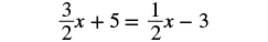
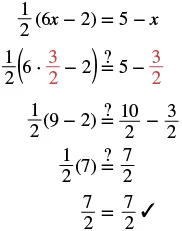
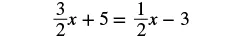
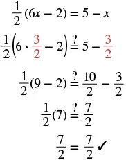
Solve: 32x+5=12x3.32x+5=12x3.

Try It 8.55

Solve: 78x12=18x2.78x12=18x2.

Try It 8.56

Solve: 76y+11=16y+8.76y+11=16y+8.

We follow the same steps when the equation has decimals, too.

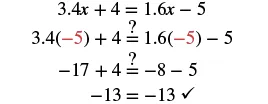
Example 8.29

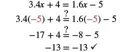
Solve: 3.4x+4=1.6x5.3.4x+4=1.6x5.

Try It 8.57

Solve: 2.8x+12=−1.4x9.2.8x+12=−1.4x9.

Try It 8.58

Solve: 3.6y+8=1.2y4.3.6y+8=1.2y4.

Solve Equations Using a General Strategy

Each of the first few sections of this chapter has dealt with solving one specific form of a linear equation. It’s time now to lay out an overall strategy that can be used to solve any linear equation. We call this the general strategy. Some equations won’t require all the steps to solve, but many will. Simplifying each side of the equation as much as possible first makes the rest of the steps easier.

How To

Use a general strategy for solving linear equations.

  1. Step 1. Simplify each side of the equation as much as possible. Use the Distributive Property to remove any parentheses. Combine like terms.
  2. Step 2. Collect all the variable terms to one side of the equation. Use the Addition or Subtraction Property of Equality.
  3. Step 3. Collect all the constant terms to the other side of the equation. Use the Addition or Subtraction Property of Equality.
  4. Step 4. Make the coefficient of the variable term to equal to 1.1. Use the Multiplication or Division Property of Equality. State the solution to the equation.
  5. Step 5. Check the solution. Substitute the solution into the original equation to make sure the result is a true statement.

Example 8.30

Solve: 3(x+2)=18.3(x+2)=18.

Try It 8.59

Solve: 5(x+3)=35.5(x+3)=35.

Try It 8.60

Solve: 6(y4)=−18.6(y4)=−18.

Example 8.31

Solve: (x+5)=7.(x+5)=7.

Try It 8.61

Solve: (y+8)=−2.(y+8)=−2.

Try It 8.62

Solve: (z+4)=−12.(z+4)=−12.

Example 8.32

Solve: 4(x2)+5=−3.4(x2)+5=−3.

Try It 8.63

Solve: 2(a4)+3=−1.2(a4)+3=−1.

Try It 8.64

Solve: 7(n3)8=−15.7(n3)8=−15.

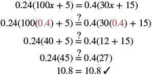
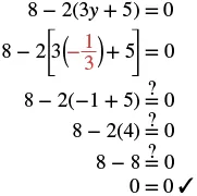
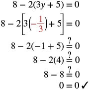
Example 8.33

Solve: 82(3y+5)=0.82(3y+5)=0.

Try It 8.65

Solve: 123(4j+3)=−17.123(4j+3)=−17.

Try It 8.66

Solve: −68(k2)=−10.−68(k2)=−10.

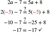
Example 8.34

Solve: 3(x2)5=4(2x+1)+5.3(x2)5=4(2x+1)+5.

Try It 8.67

Solve: 6(p3)7=5(4p+3)12.6(p3)7=5(4p+3)12.

Try It 8.68

Solve: 8(q+1)5=3(2q4)1.8(q+1)5=3(2q4)1.

Example 8.35

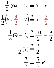
Solve: 12(6x2)=5x.12(6x2)=5x.

Try It 8.69

Solve: 13(6u+3)=7u.13(6u+3)=7u.

Try It 8.70

Solve: 23(9x12)=8+2x.23(9x12)=8+2x.

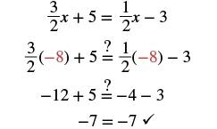
In many applications, we will have to solve equations with decimals. The same general strategy will work for these equations.

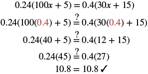
Example 8.36

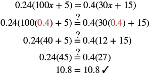
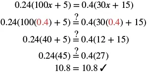
Solve: 0.24(100x+5)=0.4(30x+15).0.24(100x+5)=0.4(30x+15).

Try It 8.71

Solve: 0.55(100n+8)=0.6(85n+14).0.55(100n+8)=0.6(85n+14).

Try It 8.72

Solve: 0.15(40m120)=0.5(60m+12).0.15(40m120)=0.5(60m+12).

Section 8.3 Exercises

Practice Makes Perfect

Solve an Equation with Constants on Both Sides

In the following exercises, solve the equation for the variable.

112.

6 x 2 = 40 6 x 2 = 40

113.

7 x 8 = 34 7 x 8 = 34

114.

11 w + 6 = 93 11 w + 6 = 93

115.

14 y + 7 = 91 14 y + 7 = 91

116.

3 a + 8 = −46 3 a + 8 = −46

117.

4 m + 9 = −23 4 m + 9 = −23

118.

−50 = 7 n 1 −50 = 7 n 1

119.

−47 = 6 b + 1 −47 = 6 b + 1

120.

25 = −9 y + 7 25 = −9 y + 7

121.

29 = −8 x 3 29 = −8 x 3

122.

−12 p 3 = 15 −12 p 3 = 15

123.

−14 q 15 = 13 −14 q 15 = 13

Solve an Equation with Variables on Both Sides

In the following exercises, solve the equation for the variable.

124.

8 z = 7 z 7 8 z = 7 z 7

125.

9 k = 8 k 11 9 k = 8 k 11

126.

4 x + 36 = 10 x 4 x + 36 = 10 x

127.

6 x + 27 = 9 x 6 x + 27 = 9 x

128.

c = −3 c 20 c = −3 c 20

129.

b = −4 b 15 b = −4 b 15

130.

5 q = 44 6 q 5 q = 44 6 q

131.

7 z = 39 6 z 7 z = 39 6 z

132.

3 y + 1 2 = 2 y 3 y + 1 2 = 2 y

133.

8 x + 3 4 = 7 x 8 x + 3 4 = 7 x

134.

−12 a 8 = −16 a −12 a 8 = −16 a

135.

−15 r 8 = −11 r −15 r 8 = −11 r

Solve an Equation with Variables and Constants on Both Sides

In the following exercises, solve the equations for the variable.

136.

6 x 15 = 5 x + 3 6 x 15 = 5 x + 3

137.

4 x 17 = 3 x + 2 4 x 17 = 3 x + 2

138.

26 + 8 d = 9 d + 11 26 + 8 d = 9 d + 11

139.

21 + 6 f = 7 f + 14 21 + 6 f = 7 f + 14

140.

3 p 1 = 5 p 33 3 p 1 = 5 p 33

141.

8 q 5 = 5 q 20 8 q 5 = 5 q 20

142.

4 a + 5 = a 40 4 a + 5 = a 40

143.

9 c + 7 = −2 c 37 9 c + 7 = −2 c 37

144.

8 y 30 = −2 y + 30 8 y 30 = −2 y + 30

145.

12 x 17 = −3 x + 13 12 x 17 = −3 x + 13

146.

2 z 4 = 23 z 2 z 4 = 23 z

147.

3 y 4 = 12 y 3 y 4 = 12 y

148.

5 4 c 3 = 1 4 c 16 5 4 c 3 = 1 4 c 16

149.

4 3 m 7 = 1 3 m 13 4 3 m 7 = 1 3 m 13

150.

8 2 5 q = 3 5 q + 6 8 2 5 q = 3 5 q + 6

151.

11 1 4 a = 3 4 a + 4 11 1 4 a = 3 4 a + 4

152.

4 3 n + 9 = 1 3 n 9 4 3 n + 9 = 1 3 n 9

153.

5 4 a + 15 = 3 4 a 5 5 4 a + 15 = 3 4 a 5

154.

1 4 y + 7 = 3 4 y 3 1 4 y + 7 = 3 4 y 3

155.

3 5 p + 2 = 4 5 p 1 3 5 p + 2 = 4 5 p 1

156.

14 n + 8.25 = 9 n + 19.60 14 n + 8.25 = 9 n + 19.60

157.

13 z + 6.45 = 8 z + 23.75 13 z + 6.45 = 8 z + 23.75

158.

2.4 w 100 = 0.8 w + 28 2.4 w 100 = 0.8 w + 28

159.

2.7 w 80 = 1.2 w + 10 2.7 w 80 = 1.2 w + 10

160.

5.6 r + 13.1 = 3.5 r + 57.2 5.6 r + 13.1 = 3.5 r + 57.2

161.

6.6 x 18.9 = 3.4 x + 54.7 6.6 x 18.9 = 3.4 x + 54.7

Solve an Equation Using the General Strategy

In the following exercises, solve the linear equation using the general strategy.

162.

5 ( x + 3 ) = 75 5 ( x + 3 ) = 75

163.

4 ( y + 7 ) = 64 4 ( y + 7 ) = 64

164.

8 = 4 ( x 3 ) 8 = 4 ( x 3 )

165.

9 = 3 ( x 3 ) 9 = 3 ( x 3 )

166.

20 ( y 8 ) = −60 20 ( y 8 ) = −60

167.

14 ( y 6 ) = −42 14 ( y 6 ) = −42

168.

−4 ( 2 n + 1 ) = 16 −4 ( 2 n + 1 ) = 16

169.

−7 ( 3 n + 4 ) = 14 −7 ( 3 n + 4 ) = 14

170.

3 ( 10 + 5 r ) = 0 3 ( 10 + 5 r ) = 0

171.

8 ( 3 + 3 p ) = 0 8 ( 3 + 3 p ) = 0

172.

2 3 ( 9 c 3 ) = 22 2 3 ( 9 c 3 ) = 22

173.

3 5 ( 10 x 5 ) = 27 3 5 ( 10 x 5 ) = 27

174.

5 ( 1.2 u 4.8 ) = −12 5 ( 1.2 u 4.8 ) = −12

175.

4 ( 2.5 v 0.6 ) = 7.6 4 ( 2.5 v 0.6 ) = 7.6

176.

0.2 ( 30 n + 50 ) = 28 0.2 ( 30 n + 50 ) = 28

177.

0.5 ( 16 m + 34 ) = −15 0.5 ( 16 m + 34 ) = −15

178.

( w 6 ) = 24 ( w 6 ) = 24

179.

( t 8 ) = 17 ( t 8 ) = 17

180.

9 ( 3 a + 5 ) + 9 = 54 9 ( 3 a + 5 ) + 9 = 54

181.

8 ( 6 b 7 ) + 23 = 63 8 ( 6 b 7 ) + 23 = 63

182.

10 + 3 ( z + 4 ) = 19 10 + 3 ( z + 4 ) = 19

183.

13 + 2 ( m 4 ) = 17 13 + 2 ( m 4 ) = 17

184.

7 + 5 ( 4 q ) = 12 7 + 5 ( 4 q ) = 12

185.

−9 + 6 ( 5 k ) = 12 −9 + 6 ( 5 k ) = 12

186.

15 ( 3 r + 8 ) = 28 15 ( 3 r + 8 ) = 28

187.

18 ( 9 r + 7 ) = −16 18 ( 9 r + 7 ) = −16

188.

11 4 ( y 8 ) = 43 11 4 ( y 8 ) = 43

189.

18 2 ( y 3 ) = 32 18 2 ( y 3 ) = 32

190.

9 ( p 1 ) = 6 ( 2 p 1 ) 9 ( p 1 ) = 6 ( 2 p 1 )

191.

3 ( 4 n 1 ) 2 = 8 n + 3 3 ( 4 n 1 ) 2 = 8 n + 3

192.

9 ( 2 m 3 ) 8 = 4 m + 7 9 ( 2 m 3 ) 8 = 4 m + 7

193.

5 ( x 4 ) 4 x = 14 5 ( x 4 ) 4 x = 14

194.

8 ( x 4 ) 7 x = 14 8 ( x 4 ) 7 x = 14

195.

5 + 6 ( 3 s 5 ) = −3 + 2 ( 8 s 1 ) 5 + 6 ( 3 s 5 ) = −3 + 2 ( 8 s 1 )

196.

−12 + 8 ( x 5 ) = −4 + 3 ( 5 x 2 ) −12 + 8 ( x 5 ) = −4 + 3 ( 5 x 2 )

197.

4 ( x 1 ) 8 = 6 ( 3 x 2 ) 7 4 ( x 1 ) 8 = 6 ( 3 x 2 ) 7

198.

7 ( 2 x 5 ) = 8 ( 4 x 1 ) 9 7 ( 2 x 5 ) = 8 ( 4 x 1 ) 9

Everyday Math

199.

Making a fence Jovani has a fence around the rectangular garden in his backyard. The perimeter of the fence is 150150 feet. The length is 1515 feet more than the width. Find the width, w,w, by solving the equation 150=2(w+15)+2w.150=2(w+15)+2w.

200.

Concert tickets At a school concert, the total value of tickets sold was $1,506.$1,506. Student tickets sold for $6$6 and adult tickets sold for $9.$9. The number of adult tickets sold was 55 less than 33 times the number of student tickets. Find the number of student tickets sold, s,s, by solving the equation 6s+9(3s5)=1506.6s+9(3s5)=1506.

201.

Coins Rhonda has $1.90$1.90 in nickels and dimes. The number of dimes is one less than twice the number of nickels. Find the number of nickels, n,n, by solving the equation 0.05n+0.10(2n1)=1.90.0.05n+0.10(2n1)=1.90.

202.

Fencing Micah has 7474 feet of fencing to make a rectangular dog pen in his yard. He wants the length to be 2525 feet more than the width. Find the length, L,L, by solving the equation 2L+2(L25)=74.2L+2(L25)=74.

Writing Exercises

203.

When solving an equation with variables on both sides, why is it usually better to choose the side with the larger coefficient as the variable side?

204.

Solve the equation 10x+14=−2x+38,10x+14=−2x+38, explaining all the steps of your solution.

205.

What is the first step you take when solving the equation 37(y4)=38?37(y4)=38? Explain why this is your first step.

206.

Solve the equation 14(8x+20)=3x414(8x+20)=3x4 explaining all the steps of your solution as in the examples in this section.

207.

Using your own words, list the steps in the General Strategy for Solving Linear Equations.

208.

Explain why you should simplify both sides of an equation as much as possible before collecting the variable terms to one side and the constant terms to the other side.

Self Check

After completing the exercises, use this checklist to evaluate your mastery of the objectives of this section.

What does this checklist tell you about your mastery of this section? What steps will you take to improve?

Citation/Attribution

This book may not be used in the training of large language models or otherwise be ingested into large language models or generative AI offerings without OpenStax's permission.

Want to cite, share, or modify this book? This book uses the Creative Commons Attribution License and you must attribute OpenStax.

Attribution information
  • If you are redistributing all or part of this book in a print format, then you must include on every physical page the following attribution:

    Access for free at https://openstax.org/books/prealgebra/pages/1-introduction

  • If you are redistributing all or part of this book in a digital format, then you must include on every digital page view the following attribution:

    Access for free at https://openstax.org/books/prealgebra/pages/1-introduction

Citation information

© Feb 9, 2022 OpenStax. Textbook content produced by OpenStax is licensed under a Creative Commons Attribution License . The OpenStax name, OpenStax logo, OpenStax book covers, OpenStax CNX name, and OpenStax CNX logo are not subject to the Creative Commons license and may not be reproduced without the prior and express written consent of Rice University.