Skip to ContentGo to accessibility pageKeyboard shortcuts menu
OpenStax Logo
Prealgebra

10.6 Introduction to Factoring Polynomials

Prealgebra10.6 Introduction to Factoring Polynomials
Search for key terms or text.

Learning Objectives

By the end of this section, you will be able to:
  • Find the greatest common factor of two or more expressions
  • Factor the greatest common factor from a polynomial

Be Prepared 10.6

Before you get started, take this readiness quiz.

  1. Factor 5656 into primes.
    If you missed this problem, review Example 2.48.
  2. Multiply: −3(6a+11).−3(6a+11).
    If you missed this problem, review Example 7.25.
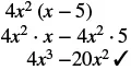
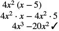
  3. Multiply: 4x2(x2+3x1).4x2(x2+3x1).
    If you missed this problem, review Example 10.32.

Find the Greatest Common Factor of Two or More Expressions

Earlier we multiplied factors together to get a product. Now, we will be reversing this process; we will start with a product and then break it down into its factors. Splitting a product into factors is called factoring.

On the left, the equation 8 times 7 equals 56 is shown. 8 and 7 are labeled factors, 56 is labeled product. On the right, the equation 2x times parentheses x plus 3 equals 2 x squared plus 6x is shown. 2x and x plus 3 are labeled factors, 2 x squared plus 6x is labeled product. There is an arrow on top pointing to the right that says “multiply” in red. There is an arrow on the bottom pointing to the left that says “factor” in red.

In The Language of Algebra we factored numbers to find the least common multiple (LCM) of two or more numbers. Now we will factor expressions and find the greatest common factor of two or more expressions. The method we use is similar to what we used to find the LCM.

Greatest Common Factor

The greatest common factor (GCF) of two or more expressions is the largest expression that is a factor of all the expressions.

First we will find the greatest common factor of two numbers.

Example 10.80

Find the greatest common factor of 2424 and 36.36.

Try It 10.159

Find the greatest common factor: 54,36.54,36.

Try It 10.160

Find the greatest common factor: 48,80.48,80.

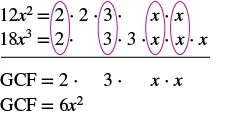
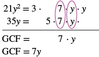
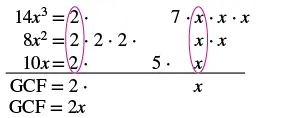
In the previous example, we found the greatest common factor of constants. The greatest common factor of an algebraic expression can contain variables raised to powers along with coefficients. We summarize the steps we use to find the greatest common factor.

How To

Find the greatest common factor.

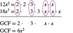
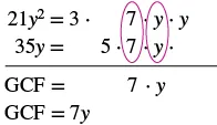
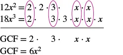
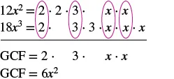
  1. Step 1. Factor each coefficient into primes. Write all variables with exponents in expanded form.
  2. Step 2. List all factors—matching common factors in a column. In each column, circle the common factors.
  3. Step 3. Bring down the common factors that all expressions share.
  4. Step 4. Multiply the factors.

Example 10.81

Find the greatest common factor of 5xand15.5xand15.

Try It 10.161

Find the greatest common factor: 7y,14.7y,14.

Try It 10.162

Find the greatest common factor: 22,11m.22,11m.

In the examples so far, the greatest common factor was a constant. In the next two examples we will get variables in the greatest common factor.

Example 10.82

Find the greatest common factor of 12x212x2 and 18x3.18x3.

Try It 10.163

Find the greatest common factor: 16x2,24x3.16x2,24x3.

Try It 10.164

Find the greatest common factor: 27y3,18y4.27y3,18y4.

Example 10.83

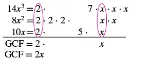
Find the greatest common factor of 14x3,8x2,10x.14x3,8x2,10x.

Try It 10.165

Find the greatest common factor: 21x3,9x2,15x.21x3,9x2,15x.

Try It 10.166

Find the greatest common factor: 25m4,35m3,20m2.25m4,35m3,20m2.

Factor the Greatest Common Factor from a Polynomial

Just like in arithmetic, where it is sometimes useful to represent a number in factored form (for example, 1212 as 2·6or3·4),2·6or3·4), in algebra it can be useful to represent a polynomial in factored form. One way to do this is by finding the greatest common factor of all the terms. Remember that you can multiply a polynomial by a monomial as follows:

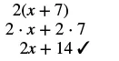
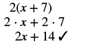
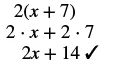
2(x + 7)factors 2·x + 2·7 2x + 14product 2(x + 7)factors 2·x + 2·7 2x + 14product

Here, we will start with a product, like 2x+14,2x+14, and end with its factors, 2(x+7).2(x+7). To do this we apply the Distributive Property “in reverse”.

Distributive Property

If a,b,ca,b,c are real numbers, then

a(b+c)=ab+acandab+ac=a(b+c)a(b+c)=ab+acandab+ac=a(b+c)

The form on the left is used to multiply. The form on the right is used to factor.

So how do we use the Distributive Property to factor a polynomial? We find the GCF of all the terms and write the polynomial as a product!

Example 10.84

Factor: 2x+14.2x+14.

Try It 10.167

Factor: 4x+12.4x+12.

Try It 10.168

Factor: 6a+24.6a+24.

Notice that in Example 10.84, we used the word factor as both a noun and a verb:

Noun7is a factor of14Verbfactor2from2x+14Noun7is a factor of14Verbfactor2from2x+14

How To

Factor the greatest common factor from a polynomial.

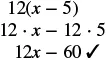
  1. Step 1. Find the GCF of all the terms of the polynomial.
  2. Step 2. Rewrite each term as a product using the GCF.
  3. Step 3. Use the Distributive Property ‘in reverse’ to factor the expression.
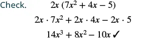
  4. Step 4. Check by multiplying the factors.

Example 10.85

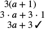
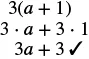
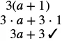
Factor: 3a+3.3a+3.

Try It 10.169

Factor: 9a+9.9a+9.

Try It 10.170

Factor: 11x+11.11x+11.

The expressions in the next example have several factors in common. Remember to write the GCF as the product of all the common factors.

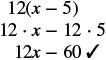
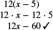
Example 10.86

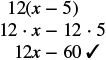
Factor: 12x60.12x60.

Try It 10.171

Factor: 11x44.11x44.

Try It 10.172

Factor: 13y52.13y52.

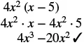
Now we’ll factor the greatest common factor from a trinomial. We start by finding the GCF of all three terms.

Example 10.87

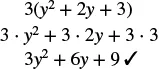
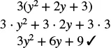
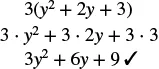
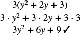
Factor: 3y2+6y+9.3y2+6y+9.

Try It 10.173

Factor: 4y2+8y+12.4y2+8y+12.

Try It 10.174

Factor: 6x2+42x12.6x2+42x12.

In the next example, we factor a variable from a binomial.

Example 10.88

Factor: 6x2+5x.6x2+5x.

Try It 10.175

Factor: 9x2+7x.9x2+7x.

Try It 10.176

Factor: 5a212a.5a212a.

When there are several common factors, as we’ll see in the next two examples, good organization and neat work helps!

Example 10.89

Factor: 4x320x2.4x320x2.

Try It 10.177

Factor: 2x3+12x2.2x3+12x2.

Try It 10.178

Factor: 6y315y2.6y315y2.

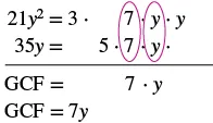
Example 10.90

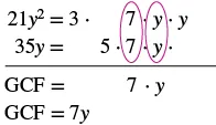
Factor: 21y2+35y.21y2+35y.

Try It 10.179

Factor: 18y2+63y.18y2+63y.

Try It 10.180

Factor: 32k2+56k.32k2+56k.

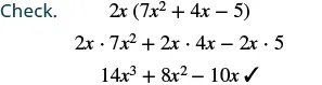
Example 10.91

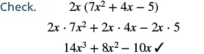
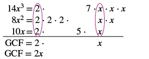
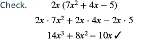
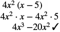
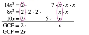
Factor: 14x3+8x210x.14x3+8x210x.

Try It 10.181

Factor: 18y36y224y.18y36y224y.

Try It 10.182

Factor: 16x3+8x212x.16x3+8x212x.

When the leading coefficient, the coefficient of the first term, is negative, we factor the negative out as part of the GCF.

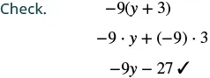
Example 10.92

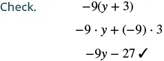
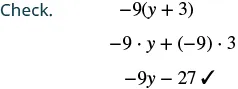
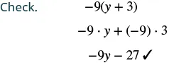
Factor: −9y27.−9y27.

Try It 10.183

Factor: −5y35.−5y35.

Try It 10.184

Factor: −16z56.−16z56.

Pay close attention to the signs of the terms in the next example.

Example 10.93

Factor: −4a2+16a.−4a2+16a.

Try It 10.185

Factor: −7a2+21a.−7a2+21a.

Try It 10.186

Factor: −6x2+x.−6x2+x.

Media

ACCESS ADDITIONAL ONLINE RESOURCES

Section 10.6 Exercises

Practice Makes Perfect

Find the Greatest Common Factor of Two or More Expressions

In the following exercises, find the greatest common factor.

422.

40 , 56 40 , 56

423.

45 , 75 45 , 75

424.

72 , 162 72 , 162

425.

150 , 275 150 , 275

426.

3 x , 12 3 x , 12

427.

4 y , 28 4 y , 28

428.

10 a , 50 10 a , 50

429.

5 b , 30 5 b , 30

430.

16 y , 24 y 2 16 y , 24 y 2

431.

9 x , 15 x 2 9 x , 15 x 2

432.

18 m 3 , 36 m 2 18 m 3 , 36 m 2

433.

12 p 4 , 48 p 3 12 p 4 , 48 p 3

434.

10 x , 25 x 2 , 15 x 3 10 x , 25 x 2 , 15 x 3

435.

18 a , 6 a 2 , 22 a 3 18 a , 6 a 2 , 22 a 3

436.

24 u , 6 u 2 , 30 u 3 24 u , 6 u 2 , 30 u 3

437.

40 y , 10 y 2 , 90 y 3 40 y , 10 y 2 , 90 y 3

438.

15 a 4 , 9 a 5 , 21 a 6 15 a 4 , 9 a 5 , 21 a 6

439.

35 x 3 , 10 x 4 , 5 x 5 35 x 3 , 10 x 4 , 5 x 5

440.

27 y 2 , 45 y 3 , 9 y 4 27 y 2 , 45 y 3 , 9 y 4

441.

14 b 2 , 35 b 3 , 63 b 4 14 b 2 , 35 b 3 , 63 b 4

Factor the Greatest Common Factor from a Polynomial

In the following exercises, factor the greatest common factor from each polynomial.

442.

2 x + 8 2 x + 8

443.

5 y + 15 5 y + 15

444.

3 a 24 3 a 24

445.

4 b 20 4 b 20

446.

9 y 9 9 y 9

447.

7 x 7 7 x 7

448.

5 m 2 + 20 m + 35 5 m 2 + 20 m + 35

449.

3 n 2 + 21 n + 12 3 n 2 + 21 n + 12

450.

8 p 2 + 32 p + 48 8 p 2 + 32 p + 48

451.

6 q 2 + 30 q + 42 6 q 2 + 30 q + 42

452.

8 q 2 + 15 q 8 q 2 + 15 q

453.

9 c 2 + 22 c 9 c 2 + 22 c

454.

13 k 2 + 5 k 13 k 2 + 5 k

455.

17 x 2 + 7 x 17 x 2 + 7 x

456.

5 c 2 + 9 c 5 c 2 + 9 c

457.

4 q 2 + 7 q 4 q 2 + 7 q

458.

5 p 2 + 25 p 5 p 2 + 25 p

459.

3 r 2 + 27 r 3 r 2 + 27 r

460.

24 q 2 12 q 24 q 2 12 q

461.

30 u 2 10 u 30 u 2 10 u

462.

y z + 4 z y z + 4 z

463.

a b + 8 b a b + 8 b

464.

60 x 6 x 3 60 x 6 x 3

465.

55 y 11 y 4 55 y 11 y 4

466.

48 r 4 12 r 3 48 r 4 12 r 3

467.

45 c 3 15 c 2 45 c 3 15 c 2

468.

4 a 3 4 a b 2 4 a 3 4 a b 2

469.

6 c 3 6 c d 2 6 c 3 6 c d 2

470.

30 u 3 + 80 u 2 30 u 3 + 80 u 2

471.

48 x 3 + 72 x 2 48 x 3 + 72 x 2

472.

120 y 6 + 48 y 4 120 y 6 + 48 y 4

473.

144 a 6 + 90 a 3 144 a 6 + 90 a 3

474.

4 q 2 + 24 q + 28 4 q 2 + 24 q + 28

475.

10 y 2 + 50 y + 40 10 y 2 + 50 y + 40

476.

15 z 2 30 z 90 15 z 2 30 z 90

477.

12 u 2 36 u 108 12 u 2 36 u 108

478.

3 a 4 24 a 3 + 18 a 2 3 a 4 24 a 3 + 18 a 2

479.

5 p 4 20 p 3 15 p 2 5 p 4 20 p 3 15 p 2

480.

11 x 6 + 44 x 5 121 x 4 11 x 6 + 44 x 5 121 x 4

481.

8 c 5 + 40 c 4 56 c 3 8 c 5 + 40 c 4 56 c 3

482.

−3 n 24 −3 n 24

483.

−7 p 84 −7 p 84

484.

−15 a 2 40 a −15 a 2 40 a

485.

−18 b 2 66 b −18 b 2 66 b

486.

−10 y 3 + 60 y 2 −10 y 3 + 60 y 2

487.

−8 a 3 + 32 a 2 −8 a 3 + 32 a 2

488.

−4 u 5 + 56 u 3 −4 u 5 + 56 u 3

489.

−9 b 5 + 63 b 3 −9 b 5 + 63 b 3

Everyday Math

490.

Revenue A manufacturer of microwave ovens has found that the revenue received from selling microwaves a cost of pp dollars each is given by the polynomial −5p2+150p.−5p2+150p. Factor the greatest common factor from this polynomial.

491.

Height of a baseball The height of a baseball hit with velocity 8080 feet/second at 44 feet above ground level is −16t2+80t+4,−16t2+80t+4, with t=t= the number of seconds since it was hit. Factor the greatest common factor from this polynomial.

Writing Exercises

492.

The greatest common factor of 3636 and 6060 is 12.12. Explain what this means.

493.

What is the GCF of y4y4, y5y5, and y10y10? Write a general rule that tells how to find the GCF of yaya, ybyb, and ycyc.

Self Check

After completing the exercises, use this checklist to evaluate your mastery of the objectives of this section.

.

Overall, after looking at the checklist, do you think you are well-prepared for the next Chapter? Why or why not?

Citation/Attribution

This book may not be used in the training of large language models or otherwise be ingested into large language models or generative AI offerings without OpenStax's permission.

Want to cite, share, or modify this book? This book uses the Creative Commons Attribution License and you must attribute OpenStax.

Attribution information
  • If you are redistributing all or part of this book in a print format, then you must include on every physical page the following attribution:

    Access for free at https://openstax.org/books/prealgebra/pages/1-introduction

  • If you are redistributing all or part of this book in a digital format, then you must include on every digital page view the following attribution:

    Access for free at https://openstax.org/books/prealgebra/pages/1-introduction

Citation information

© Feb 9, 2022 OpenStax. Textbook content produced by OpenStax is licensed under a Creative Commons Attribution License . The OpenStax name, OpenStax logo, OpenStax book covers, OpenStax CNX name, and OpenStax CNX logo are not subject to the Creative Commons license and may not be reproduced without the prior and express written consent of Rice University.