Skip to ContentGo to accessibility pageKeyboard shortcuts menu
OpenStax Logo
Prealgebra

2.5 Prime Factorization and the Least Common Multiple

Prealgebra2.5 Prime Factorization and the Least Common Multiple
Search for key terms or text.

Learning Objectives

By the end of this section, you will be able to:
  • Find the prime factorization of a composite number
  • Find the least common multiple (LCM) of two numbers

Be Prepared 2.5

Before you get started, take this readiness quiz.

  1. Is 810810 divisible by 2,3,5,6,or10?2,3,5,6,or10?
    If you missed this problem, review Example 2.44.
  2. Is 127127 prime or composite?
    If you missed this problem, review Example 2.47.
  3. Write 22222222 in exponential notation.
    If you missed this problem, review Example 2.5.

Find the Prime Factorization of a Composite Number

In the previous section, we found the factors of a number. Prime numbers have only two factors, the number 11 and the prime number itself. Composite numbers have more than two factors, and every composite number can be written as a unique product of primes. This is called the prime factorization of a number. When we write the prime factorization of a number, we are rewriting the number as a product of primes. Finding the prime factorization of a composite number will help you later in this course.

Prime Factorization

The prime factorization of a number is the product of prime numbers that equals the number.

Manipulative Mathematics

Doing the Manipulative Mathematics activity “Prime Numbers” will help you develop a better sense of prime numbers.

You may want to refer to the following list of prime numbers less than 5050 as you work through this section.

2,3,5,7,11,13,17,19,23,29,31,37,41,43,472,3,5,7,11,13,17,19,23,29,31,37,41,43,47

Prime Factorization Using the Factor Tree Method

One way to find the prime factorization of a number is to make a factor tree. We start by writing the number, and then writing it as the product of two factors. We write the factors below the number and connect them to the number with a small line segment—a “branch” of the factor tree.

If a factor is prime, we circle it (like a bud on a tree), and do not factor that “branch” any further. If a factor is not prime, we repeat this process, writing it as the product of two factors and adding new branches to the tree.

We continue until all the branches end with a prime. When the factor tree is complete, the circled primes give us the prime factorization.

For example, let’s find the prime factorization of 36.36. We can start with any factor pair such as 33 and 12.12. We write 33 and 1212 below 3636 with branches connecting them.

The figure shows a factor tree with the number 36 at the top. Two branches are splitting out from under 36. The right branch has a number 3 at the end with a circle around it. The left branch has the number 12 at the end.

The factor 33 is prime, so we circle it. The factor 1212 is composite, so we need to find its factors. Let’s use 33 and 4.4. We write these factors on the tree under the 12.12.

The figure shows a factor tree with the number 36 at the top. Two branches are splitting out from under 36. The right branch has a number 3 at the end with a circle around it. The left branch has the number 12 at the end. Two more branches are splitting out from under 12. The right branch has the number 4 at the end and the left branch has the number 3 at the end.

The factor 33 is prime, so we circle it. The factor 44 is composite, and it factors into 2·2.2·2. We write these factors under the 4.4. Since 22 is prime, we circle both 2s.2s.

The figure shows a factor tree with the number 36 at the top. Two branches are splitting out from under 36. The right branch has a number 3 at the end with a circle around it. The left branch has the number 12 at the end. Two more branches are splitting out from under 12. The right branch has the number 4 at the end and the left branch has the number 3 at the end with a circle around it. Two more branches are splitting out from under 4. Both the left and right branch have the number 2 at the end with a circle around it.

The prime factorization is the product of the circled primes. We generally write the prime factorization in order from least to greatest.

22332233

In cases like this, where some of the prime factors are repeated, we can write prime factorization in exponential form.

2233223222332232

Note that we could have started our factor tree with any factor pair of 36.36. We chose 1212 and 3,3, but the same result would have been the same if we had started with 22 and 18,418,4 and 9,or6and6.9,or6and6.

How To

Find the prime factorization of a composite number using the tree method.

  1. Step 1. Find any factor pair of the given number, and use these numbers to create two branches.
  2. Step 2. If a factor is prime, that branch is complete. Circle the prime.
  3. Step 3. If a factor is not prime, write it as the product of a factor pair and continue the process.
  4. Step 4. Write the composite number as the product of all the circled primes.

Example 2.48

Find the prime factorization of 4848 using the factor tree method.

Try It 2.95

Find the prime factorization using the factor tree method: 8080

Try It 2.96

Find the prime factorization using the factor tree method: 6060

Example 2.49

Find the prime factorization of 84 using the factor tree method.

Try It 2.97

Find the prime factorization using the factor tree method: 126126

Try It 2.98

Find the prime factorization using the factor tree method: 294294

Prime Factorization Using the Ladder Method

The ladder method is another way to find the prime factors of a composite number. It leads to the same result as the factor tree method. Some people prefer the ladder method to the factor tree method, and vice versa.

To begin building the “ladder,” divide the given number by its smallest prime factor. For example, to start the ladder for 36,36, we divide 3636 by 2,2, the smallest prime factor of 36.36.

The image shows the division of 2 into 36 to get the quotient 18. This division is represented using a division bracket with 2 on the outside left of the bracket, 36 inside the bracket and 18 above the 36, outside the bracket.

To add a “step” to the ladder, we continue dividing by the same prime until it no longer divides evenly.

The image shows the division of 2 into 36 to get the quotient 18. This division is represented using a division bracket with 2 on the outside left of the bracket, 36 inside the bracket and 18 above the 36, outside the bracket. Another division bracket is written around the 18 with a 2 on the outside left of the bracket and a 9 above the 18, outside of the bracket.

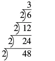
Then we divide by the next prime; so we divide 99 by 3.3.

The image shows the division of 2 into 36 to get the quotient 18. This division is represented using a division bracket with 2 on the outside left of the bracket, 36 inside the bracket and 18 above the 36, outside the bracket. Another division bracket is written around the 18 with a 2 on the outside left of the bracket and a 9 above the 18, outside of the bracket. Another division bracket is written around the 9 with a 3 on the outside left of the bracket and a 3 above the 9, outside of the bracket.

We continue dividing up the ladder in this way until the quotient is prime. Since the quotient, 3,3, is prime, we stop here.

Do you see why the ladder method is sometimes called stacked division?

The prime factorization is the product of all the primes on the sides and top of the ladder.

2233223222332232

Notice that the result is the same as we obtained with the factor tree method.

How To

Find the prime factorization of a composite number using the ladder method.

  1. Step 1. Divide the number by the smallest prime.
  2. Step 2. Continue dividing by that prime until it no longer divides evenly.
  3. Step 3. Divide by the next prime until it no longer divides evenly.
  4. Step 4. Continue until the quotient is a prime.
  5. Step 5. Write the composite number as the product of all the primes on the sides and top of the ladder.

Example 2.50

Find the prime factorization of 120120 using the ladder method.

Try It 2.99

Find the prime factorization using the ladder method: 8080

Try It 2.100

Find the prime factorization using the ladder method: 6060

Example 2.51

Find the prime factorization of 4848 using the ladder method.

Try It 2.101

Find the prime factorization using the ladder method. 126126

Try It 2.102

Find the prime factorization using the ladder method. 294294

Find the Least Common Multiple (LCM) of Two Numbers

One of the reasons we look at multiples and primes is to use these techniques to find the least common multiple of two numbers. This will be useful when we add and subtract fractions with different denominators.

Listing Multiples Method

A common multiple of two numbers is a number that is a multiple of both numbers. Suppose we want to find common multiples of 1010 and 25.25. We can list the first several multiples of each number. Then we look for multiples that are common to both lists—these are the common multiples.

10:10,20,30,40,50,60,70,80,90,100,110, 25:25,50,75,100,125, 10:10,20,30,40,50,60,70,80,90,100,110, 25:25,50,75,100,125,

We see that 5050 and 100100 appear in both lists. They are common multiples of 1010 and 25.25. We would find more common multiples if we continued the list of multiples for each.

The smallest number that is a multiple of two numbers is called the least common multiple (LCM). So the least LCM of 1010 and 2525 is 50.50.

How To

Find the least common multiple (LCM) of two numbers by listing multiples.

  1. Step 1. List the first several multiples of each number.
  2. Step 2. Look for multiples common to both lists. If there are no common multiples in the lists, write out additional multiples for each number.
  3. Step 3. Look for the smallest number that is common to both lists.
  4. Step 4. This number is the LCM.

Example 2.52

Find the LCM of 1515 and 2020 by listing multiples.

Try It 2.103

Find the least common multiple (LCM) of the given numbers: 9and129and12

Try It 2.104

Find the least common multiple (LCM) of the given numbers: 18and2418and24

Prime Factors Method

Another way to find the least common multiple of two numbers is to use their prime factors. We’ll use this method to find the LCM of 1212 and 18.18.

We start by finding the prime factorization of each number.

12=22318=23312=22318=233

Then we write each number as a product of primes, matching primes vertically when possible.

12=223 18=23312=223 18=233

Now we bring down the primes in each column. The LCM is the product of these factors.

The image shows the prime factorization of 12 written as the equation 12 equals 2 times 2 times 3. Below this equation is another showing the prime factorization of 18 written as the equation 18 equals 2 times 3 times 3. The two equations line up vertically at the equal symbol. The first 2 in the prime factorization of 12 aligns with the 2 in the prime factorization of 18. Under the second 2 in the prime factorization of 12 is a gap in the prime factorization of 18. Under the 3 in the prime factorization of 12 is the first 3 in the prime factorization of 18. The second 3 in the prime factorization has no factors above it from the prime factorization of 12. A horizontal line is drawn under the prime factorization of 18. Below this line is the equation LCM equal to 2 times 2 times 3 times 3. Arrows are drawn down vertically from the prime factorization of 12 through the prime factorization of 18 ending at the LCM equation. The first arrow starts at the first 2 in the prime factorization of 12 and continues down through the 2 in the prime factorization of 18. Ending with the first 2 in the LCM. The second arrow starts at the next 2 in the prime factorization of 12 and continues down through the gap in the prime factorization of 18. Ending with the second 2 in the LCM. The third arrow starts at the 3 in the prime factorization of 12 and continues down through the first 3 in the prime factorization of 18. Ending with the first 3 in the LCM. The last arrow starts at the second 3 in the prime factorization of 18 and points down to the second 3 in the LCM.

Notice that the prime factors of 1212 and the prime factors of 1818 are included in the LCM. By matching up the common primes, each common prime factor is used only once. This ensures that 3636 is the least common multiple.

How To

Find the LCM using the prime factors method.

  1. Step 1. Find the prime factorization of each number.
  2. Step 2. Write each number as a product of primes, matching primes vertically when possible.
  3. Step 3. Bring down the primes in each column.
  4. Step 4. Multiply the factors to get the LCM.

Example 2.53

Find the LCM of 1515 and 1818 using the prime factors method.

Try It 2.105

Find the LCM using the prime factors method. 15and2015and20

Try It 2.106

Find the LCM using the prime factors method. 15and3515and35

Example 2.54

Find the LCM of 5050 and 100100 using the prime factors method.

Try It 2.107

Find the LCM using the prime factors method: 55,8855,88

Try It 2.108

Find the LCM using the prime factors method: 60,7260,72

Section 2.5 Exercises

Practice Makes Perfect

Find the Prime Factorization of a Composite Number

In the following exercises, find the prime factorization of each number using the factor tree method.

267.

86 86

268.

78 78

269.

132 132

270.

455 455

271.

693 693

272.

420 420

273.

115 115

274.

225 225

275.

2475 2475

276.

1560

In the following exercises, find the prime factorization of each number using the ladder method.

277.

56 56

278.

72 72

279.

168 168

280.

252 252

281.

391 391

282.

400 400

283.

432 432

284.

627 627

285.

2160 2160

286.

2520 2520

In the following exercises, find the prime factorization of each number using any method.

287.

150 150

288.

180 180

289.

525 525

290.

444 444

291.

36 36

292.

50 50

293.

350 350

294.

144 144

Find the Least Common Multiple (LCM) of Two Numbers

In the following exercises, find the least common multiple (LCM) by listing multiples.

295.

8 , 12 8 , 12

296.

4 , 3 4 , 3

297.

6 , 15 6 , 15

298.

12 , 16 12 , 16

299.

30 , 40 30 , 40

300.

20 , 30 20 , 30

301.

60 , 75 60 , 75

302.

44 , 55 44 , 55

In the following exercises, find the least common multiple (LCM) by using the prime factors method.

303.

8 , 12 8 , 12

304.

12 , 16 12 , 16

305.

24 , 30 24 , 30

306.

28 , 40 28 , 40

307.

70 , 84 70 , 84

308.

84 , 90 84 , 90

In the following exercises, find the least common multiple (LCM) using any method.

309.

6 , 21 6 , 21

310.

9 , 15 9 , 15

311.

24 , 30 24 , 30

312.

32 , 40 32 , 40

Everyday Math

313.

Grocery shopping Hot dogs are sold in packages of ten, but hot dog buns come in packs of eight. What is the smallest number of hot dogs and buns that can be purchased if you want to have the same number of hot dogs and buns? (Hint: it is the LCM!)

314.

Grocery shopping Paper plates are sold in packages of 1212 and party cups come in packs of 8.8. What is the smallest number of plates and cups you can purchase if you want to have the same number of each? (Hint: it is the LCM!)

Writing Exercises

315.

Do you prefer to find the prime factorization of a composite number by using the factor tree method or the ladder method? Why?

316.

Do you prefer to find the LCM by listing multiples or by using the prime factors method? Why?

Self Check

After completing the exercises, use this checklist to evaluate your mastery of the objectives of this section.

.

Overall, after looking at the checklist, do you think you are well-prepared for the next Chapter? Why or why not?

Citation/Attribution

This book may not be used in the training of large language models or otherwise be ingested into large language models or generative AI offerings without OpenStax's permission.

Want to cite, share, or modify this book? This book uses the Creative Commons Attribution License and you must attribute OpenStax.

Attribution information
  • If you are redistributing all or part of this book in a print format, then you must include on every physical page the following attribution:

    Access for free at https://openstax.org/books/prealgebra/pages/1-introduction

  • If you are redistributing all or part of this book in a digital format, then you must include on every digital page view the following attribution:

    Access for free at https://openstax.org/books/prealgebra/pages/1-introduction

Citation information

© Feb 9, 2022 OpenStax. Textbook content produced by OpenStax is licensed under a Creative Commons Attribution License . The OpenStax name, OpenStax logo, OpenStax book covers, OpenStax CNX name, and OpenStax CNX logo are not subject to the Creative Commons license and may not be reproduced without the prior and express written consent of Rice University.