Skip to ContentGo to accessibility pageKeyboard shortcuts menu
OpenStax Logo
Prealgebra 2e

4.5 Add and Subtract Fractions with Different Denominators

Prealgebra 2e4.5 Add and Subtract Fractions with Different Denominators
Search for key terms or text.

Learning Objectives

By the end of this section, you will be able to:

  • Find the least common denominator (LCD)
  • Convert fractions to equivalent fractions with the LCD
  • Add and subtract fractions with different denominators
  • Identify and use fraction operations
  • Use the order of operations to simplify complex fractions
  • Evaluate variable expressions with fractions

Be Prepared 4.12

Before you get started, take this readiness quiz.

Find two fractions equivalent to 56.56.
If you missed this problem, review Example 4.14.

Be Prepared 4.13

Simplify: 1+5·322+4.1+5·322+4.
If you missed this problem, review Example 4.48.

Find the Least Common Denominator

In the previous section, we explained how to add and subtract fractions with a common denominator. But how can we add and subtract fractions with unlike denominators?

Let’s think about coins again. Can you add one quarter and one dime? You could say there are two coins, but that’s not very useful. To find the total value of one quarter plus one dime, you change them to the same kind of unit—cents. One quarter equals 2525 cents and one dime equals 1010 cents, so the sum is 3535 cents. See Figure 4.7.

A quarter and a dime are shown. Below them, it reads 25 cents plus 10 cents. Below that, it reads 35 cents.
Figure 4.7 Together, a quarter and a dime are worth 3535 cents, or 3510035100 of a dollar.

Similarly, when we add fractions with different denominators we have to convert them to equivalent fractions with a common denominator. With the coins, when we convert to cents, the denominator is 100.100. Since there are 100100 cents in one dollar, 2525 cents is 2510025100 and 1010 cents is 10100.10100. So we add 25100+1010025100+10100 to get 35100,35100, which is 3535 cents.

You have practiced adding and subtracting fractions with common denominators. Now let’s see what you need to do with fractions that have different denominators.

First, we will use fraction tiles to model finding the common denominator of 1212 and 13.13.

We’ll start with one 1212 tile and 1313 tile. We want to find a common fraction tile that we can use to match both 1212 and 1313 exactly.

If we try the 1414 pieces, 22 of them exactly match the 1212 piece, but they do not exactly match the 1313 piece.

Two rectangles are shown side by side. The first is labeled 1 half. The second is shorter and is labeled 1 third. Underneath the first rectangle is an equally sized rectangle split vertically into two pieces, each labeled 1 fourth. Underneath the second rectangle are two pieces, each labeled 1 fourth. These rectangles together are longer than the rectangle labeled as 1 third.

If we try the 1515 pieces, they do not exactly cover the 1212 piece or the 1313 piece.

Two rectangles are shown side by side. The first is labeled 1 half. The second is shorter and is labeled 1 third. Underneath the first rectangle is an equally sized rectangle split vertically into three pieces, each labeled 1 sixth. Underneath the second rectangle is an equally sized rectangle split vertically into 2 pieces, each labeled 1 sixth.

If we try the 1616 pieces, we see that exactly 33 of them cover the 1212 piece, and exactly 22 of them cover the 1313 piece.

Two rectangles are shown side by side. The first is labeled 1 half. The second is shorter and is labeled 1 third. Underneath the first rectangle are three smaller rectangles, each labeled 1 fifth. Together, these rectangles are longer than the 1 half rectangle. Below the 1 third rectangle are two smaller rectangles, each labeled 1 fifth. Together, these rectangles are longer than the 1 third rectangle.

If we were to try the 112112 pieces, they would also work.

Two rectangles are shown side by side. The first is labeled 1 half. The second is shorter and is labeled 1 third. Underneath the first rectangle is an equally sized rectangle split vertically into 6 pieces, each labeled 1 twelfth. Underneath the second rectangle is an equally sized rectangle split vertically into 4 pieces, each labeled 1 twelfth.

Even smaller tiles, such as 124124 and 148,148, would also exactly cover the 1212 piece and the 1313 piece.

The denominator of the largest piece that covers both fractions is the least common denominator (LCD) of the two fractions. So, the least common denominator of 1212 and 1313 is 6.6.

Notice that all of the tiles that cover 1212 and 1313 have something in common: Their denominators are common multiples of 22 and 3,3, the denominators of 1212 and 13.13. The least common multiple (LCM) of the denominators is 6,6, and so we say that 66 is the least common denominator (LCD) of the fractions 1212 and 13.13.

Manipulative Mathematics

Doing the Manipulative Mathematics activity "Finding the Least Common Denominator" will help you develop a better understanding of the LCD.

Least Common Denominator

The least common denominator (LCD) of two fractions is the least common multiple (LCM) of their denominators.

To find the LCD of two fractions, we will find the LCM of their denominators. We follow the procedure we used earlier to find the LCM of two numbers. We only use the denominators of the fractions, not the numerators, when finding the LCD.

Example 4.63

Find the LCD for the fractions 712712 and 518.518.

Try It 4.125

Find the least common denominator for the fractions: 712712 and 1115.1115.

Try It 4.126

Find the least common denominator for the fractions: 13151315 and 175.175.

To find the LCD of two fractions, find the LCM of their denominators. Notice how the steps shown below are similar to the steps we took to find the LCM.

How To

Find the least common denominator (LCD) of two fractions.

  1. Step 1. Factor each denominator into its primes.
  2. Step 2. List the primes, matching primes in columns when possible.
  3. Step 3. Bring down the columns.
  4. Step 4. Multiply the factors. The product is the LCM of the denominators.
  5. Step 5. The LCM of the denominators is the LCD of the fractions.

Example 4.64

Find the least common denominator for the fractions 815815 and 1124.1124.

Try It 4.127

Find the least common denominator for the fractions: 13241324 and 1732.1732.

Try It 4.128

Find the least common denominator for the fractions: 928928 and 2132.2132.

Convert Fractions to Equivalent Fractions with the LCD

Earlier, we used fraction tiles to see that the LCD of 1414 when 1616 is 12.12. We saw that three 112112 pieces exactly covered 1414 and two 112112 pieces exactly covered 16,16, so

14=312 and 16=212.14=312 and 16=212.
On the left is a rectangle labeled 1 fourth. Below it is an identical rectangle split vertically into 3 equal pieces, each labeled 1 twelfth. On the right is a rectangle labeled 1 sixth. Below it is an identical rectangle split vertically into 2 equal pieces, each labeled 1 twelfth.

We say that 1414 and 312312 are equivalent fractions and also that 1616 and 212212 are equivalent fractions.

We can use the Equivalent Fractions Property to algebraically change a fraction to an equivalent one. Remember, two fractions are equivalent if they have the same value. The Equivalent Fractions Property is repeated below for reference.

Equivalent Fractions Property

If a,b,ca,b,c are whole numbers where b0,c0,b0,c0, then

ab=a·cb·canda·cb·c=abab=a·cb·canda·cb·c=ab

To add or subtract fractions with different denominators, we will first have to convert each fraction to an equivalent fraction with the LCD. Let’s see how to change 1414 and 1616 to equivalent fractions with denominator 1212 without using models.

Example 4.65

Convert 1414 and 1616 to equivalent fractions with denominator 12,12, their LCD.

Try It 4.129

Change to equivalent fractions with the LCD:

3434 and 56,56, LCD =12=12

Try It 4.130

Change to equivalent fractions with the LCD:

712712 and 1115,1115, LCD =60=60

How To

Convert two fractions to equivalent fractions with their LCD as the common denominator.

  1. Step 1. Find the LCD.
  2. Step 2. For each fraction, determine the number needed to multiply the denominator to get the LCD.
  3. Step 3. Use the Equivalent Fractions Property to multiply both the numerator and denominator by the number you found in Step 2.
  4. Step 4. Simplify the numerator and denominator.

Example 4.66

Convert 815815 and 11241124 to equivalent fractions with denominator 120,120, their LCD.

Try It 4.131

Change to equivalent fractions with the LCD:

13241324 and 1732,1732, LCD 9696

Try It 4.132

Change to equivalent fractions with the LCD:

928928 and 2732,2732, LCD 224224

Add and Subtract Fractions with Different Denominators

Once we have converted two fractions to equivalent forms with common denominators, we can add or subtract them by adding or subtracting the numerators.

How To

Add or subtract fractions with different denominators.

  1. Step 1. Find the LCD.
  2. Step 2. Convert each fraction to an equivalent form with the LCD as the denominator.
  3. Step 3. Add or subtract the fractions.
  4. Step 4. Write the result in simplified form.

Example 4.67

Add: 12+13.12+13.

Try It 4.133

Add: 14+13.14+13.

Try It 4.134

Add: 12+15.12+15.

Example 4.68

Subtract: 12(14).12(14).

Try It 4.135

Simplify: 12(18).12(18).

Try It 4.136

Simplify: 13(16).13(16).

Example 4.69

Add: 712+518.712+518.

Try It 4.137

Add: 712+1115.712+1115.

Try It 4.138

Add: 1315+1720.1315+1720.

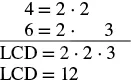
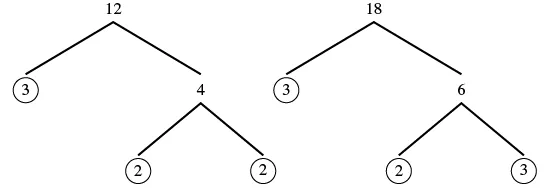
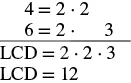
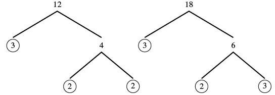
When we use the Equivalent Fractions Property, there is a quick way to find the number you need to multiply by to get the LCD. Write the factors of the denominators and the LCD just as you did to find the LCD. The “missing” factors of each denominator are the numbers you need.

The first line says 12 equals 2 times 2 times 3. There is a blank space next to the 3. The next line says 18 equals 2 times 3 times 3. There is a blank space between the 2 and the first 3. There are red lines drawn from the blank spaces. This is labeled as missing factors. There is a horizontal line. Below the line, it says LCD equals 2 times 2 times 3 times 3. Below this, it says LCD equals 36.

The LCD, 36,36, has 22 factors of 22 and 22 factors of 3.3.

Twelve has two factors of 2,2, but only one of 33—so it is ‘missing‘ one 3.3. We multiplied the numerator and denominator of 712712 by 33 to get an equivalent fraction with denominator 36.36.

Eighteen is missing one factor of 22—so you multiply the numerator and denominator 518518 by 22 to get an equivalent fraction with denominator 36.36. We will apply this method as we subtract the fractions in the next example.

Example 4.70

Subtract: 7151924.7151924.

Try It 4.139

Subtract: 13241732.13241732.

Try It 4.140

Subtract: 2132928.2132928.

Example 4.71

Add: 1130+2342.1130+2342.

Try It 4.141

Add: 1342+1735.1342+1735.

Try It 4.142

Add: 1924+1732.1924+1732.

In the next example, one of the fractions has a variable in its numerator. We follow the same steps as when both numerators are numbers.

Example 4.72

Add: 35+x8.35+x8.

Try It 4.143

Add: y6+79.y6+79.

Try It 4.144

Add: x6+715.x6+715.

Identify and Use Fraction Operations

By now in this chapter, you have practiced multiplying, dividing, adding, and subtracting fractions. The following table summarizes these four fraction operations. Remember: You need a common denominator to add or subtract fractions, but not to multiply or divide fractions

Summary of Fraction Operations

Fraction multiplication: Multiply the numerators and multiply the denominators.

ab·cd=acbdab·cd=acbd

Fraction division: Multiply the first fraction by the reciprocal of the second.

ab÷cd=ab·dcab÷cd=ab·dc

Fraction addition: Add the numerators and place the sum over the common denominator. If the fractions have different denominators, first convert them to equivalent forms with the LCD.

ac+bc=a+bcac+bc=a+bc

Fraction subtraction: Subtract the numerators and place the difference over the common denominator. If the fractions have different denominators, first convert them to equivalent forms with the LCD.

acbc=abcacbc=abc

Example 4.73

Simplify:

  1. 14+1614+16
  2. 14÷1614÷16

Try It 4.145

Simplify each expression:

  1. 34163416
  2. 34·1634·16

Try It 4.146

Simplify each expression:

  1. 56÷(14)56÷(14)
  2. 56(14)56(14)

Example 4.74

Simplify:

  1. 5x63105x6310
  2. 5x6·3105x6·310

Try It 4.147

Simplify:

  1. (27a32)36(27a32)36
  2. 2a32a3

Try It 4.148

Simplify:

  1. (24k+25)30(24k+25)30
  2. 24k524k5

Use the Order of Operations to Simplify Complex Fractions

In Multiply and Divide Mixed Numbers and Complex Fractions, we saw that a complex fraction is a fraction in which the numerator or denominator contains a fraction. We simplified complex fractions by rewriting them as division problems. For example,

3458=34÷583458=34÷58

Now we will look at complex fractions in which the numerator or denominator can be simplified. To follow the order of operations, we simplify the numerator and denominator separately first. Then we divide the numerator by the denominator.

How To

Simplify complex fractions.

  1. Step 1. Simplify the numerator.
  2. Step 2. Simplify the denominator.
  3. Step 3. Divide the numerator by the denominator.
  4. Step 4. Simplify if possible.

Example 4.75

Simplify: (12)24+32.(12)24+32.

Try It 4.149

Simplify: (13)223+2(13)223+2.

Try It 4.150

Simplify: 1+42(14)21+42(14)2.

Example 4.76

Simplify: 12+233416.12+233416.

Try It 4.151

Simplify: 13+12341313+123413.

Try It 4.152

Simplify: 231214+13231214+13.

Evaluate Variable Expressions with Fractions

We have evaluated expressions before, but now we can also evaluate expressions with fractions. Remember, to evaluate an expression, we substitute the value of the variable into the expression and then simplify.

Example 4.77

Evaluate x+13x+13 when

  1. x=13x=13
  2. x=34.x=34.

Try It 4.153

Evaluate: x+34x+34 when

  1. x=74x=74
  2. x=54x=54

Try It 4.154

Evaluate: y+12y+12 when

  1. y=23y=23
  2. y=34y=34

Example 4.78

Evaluate y56y56 when y=23.y=23.

Try It 4.155

Evaluate: y12y12 when y=14.y=14.

Try It 4.156

Evaluate: x38x38 when x=52.x=52.

Example 4.79

Evaluate 2x2y2x2y when x=14x=14 and y=23.y=23.

Try It 4.157

Evaluate. 3ab23ab2 when a=23a=23 and b=12.b=12.

Try It 4.158

Evaluate. 4c3d4c3d when c=12c=12 and d=43.d=43.

Example 4.80

Evaluate p+qrp+qr when p=−4,q=−2,p=−4,q=−2, and r=8.r=8.

Try It 4.159

Evaluate: a+bca+bc when a=−8,b=−7,a=−8,b=−7, and c=6.c=6.

Try It 4.160

Evaluate: x+yzx+yz when x=9,y=−18,x=9,y=−18, and z=−6.z=−6.

Section 4.5 Exercises

Practice Makes Perfect

Find the Least Common Denominator (LCD)

In the following exercises, find the least common denominator (LCD) for each set of fractions.

316.

2323 and 3434

317.

3434 and 2525

318.

712712 and 5858

319.

916916 and 712712

320.

13301330 and 25422542

321.

23302330 and 548548

322.

21352135 and 39563956

323.

18351835 and 33493349

324.

23,16,23,16, and 3434

325.

23,14,23,14, and 3535

Convert Fractions to Equivalent Fractions with the LCD

In the following exercises, convert to equivalent fractions using the LCD.

326.

1313 and 14,14, LCD =12=12

327.

1414 and 15,15, LCD =20=20

328.

512512 and 78,78, LCD =24=24

329.

712712 and 58,58, LCD =24=24

330.

13161316 and -1112,-1112, LCD =48=48

331.

11161116 and -512,-512, LCD =48=48

332.

13,56,13,56, and 34,34, LCD =12=12

333.

13,34,13,34, and 35,35, LCD =60=60

Add and Subtract Fractions with Different Denominators

In the following exercises, add or subtract. Write the result in simplified form.

334.

1 3 + 1 5 1 3 + 1 5

335.

1 4 + 1 5 1 4 + 1 5

336.

1 2 + 1 7 1 2 + 1 7

337.

1 3 + 1 8 1 3 + 1 8

338.

1 3 ( 1 9 ) 1 3 ( 1 9 )

339.

1 4 ( 1 8 ) 1 4 ( 1 8 )

340.

1 5 ( 1 10 ) 1 5 ( 1 10 )

341.

1 2 ( 1 6 ) 1 2 ( 1 6 )

342.

2 3 + 3 4 2 3 + 3 4

343.

3 4 + 2 5 3 4 + 2 5

344.

7 12 + 5 8 7 12 + 5 8

345.

5 12 + 3 8 5 12 + 3 8

346.

7 12 9 16 7 12 9 16

347.

7 16 5 12 7 16 5 12

348.

11 12 3 8 11 12 3 8

349.

5 8 7 12 5 8 7 12

350.

2 3 3 8 2 3 3 8

351.

5 6 3 4 5 6 3 4

352.

11 30 + 27 40 11 30 + 27 40

353.

9 20 + 17 30 9 20 + 17 30

354.

13 30 + 25 42 13 30 + 25 42

355.

23 30 + 5 48 23 30 + 5 48

356.

39 56 22 35 39 56 22 35

357.

33 49 18 35 33 49 18 35

358.

2 3 ( 3 4 ) 2 3 ( 3 4 )

359.

3 4 ( 4 5 ) 3 4 ( 4 5 )

360.

9 16 ( 4 5 ) 9 16 ( 4 5 )

361.

7 20 ( 5 8 ) 7 20 ( 5 8 )

362.

1 + 7 8 1 + 7 8

363.

1 + 5 6 1 + 5 6

364.

1 5 9 1 5 9

365.

1 3 10 1 3 10

366.

x 3 + 1 4 x 3 + 1 4

367.

y 2 + 2 3 y 2 + 2 3

368.

y 4 3 5 y 4 3 5

369.

x 5 1 4 x 5 1 4

Identify and Use Fraction Operations

In the following exercises, perform the indicated operations. Write your answers in simplified form.

370.
  1. 34+1634+16
  2. 34÷1634÷16
371.
  1. 23+1623+16
  2. 23÷1623÷16
372.
  1. -2518-2518
  2. -25·18-25·18
373.
  1. -4518-4518
  2. -45·18-45·18
374.
  1. 5n6÷8155n6÷815
  2. 5n68155n6815
375.
  1. 3a8÷7123a8÷712
  2. 3a87123a8712
376.
  1. 910·(11d12)910·(11d12)
  2. 910+(11d12)910+(11d12)
377.
  1. 415·(5q9)415·(5q9)
  2. 415+(5q9)415+(5q9)
378.

3 8 ÷ ( 3 10 ) 3 8 ÷ ( 3 10 )

379.

5 12 ÷ ( 5 9 ) 5 12 ÷ ( 5 9 )

380.

3 8 + 5 12 3 8 + 5 12

381.

1 8 + 7 12 1 8 + 7 12

382.

5 6 1 9 5 6 1 9

383.

5 9 1 6 5 9 1 6

384.

3 8 · ( 10 21 ) 3 8 · ( 10 21 )

385.

7 12 · ( 8 35 ) 7 12 · ( 8 35 )

386.

7 15 y 4 7 15 y 4

387.

3 8 x 11 3 8 x 11

388.

11 12 a · 9 a 16 11 12 a · 9 a 16

389.

10 y 13 · 8 15 y 10 y 13 · 8 15 y

Use the Order of Operations to Simplify Complex Fractions

In the following exercises, simplify.

390.

( 1 5 ) 2 2 + 3 2 ( 1 5 ) 2 2 + 3 2

391.

( 1 3 ) 2 5 + 2 2 ( 1 3 ) 2 5 + 2 2

392.

2 3 + 4 2 ( 2 3 ) 2 2 3 + 4 2 ( 2 3 ) 2

393.

3 3 3 2 ( 3 4 ) 2 3 3 3 2 ( 3 4 ) 2

394.

( 3 5 ) 2 ( 3 7 ) 2 ( 3 5 ) 2 ( 3 7 ) 2

395.

( 3 4 ) 2 ( 5 8 ) 2 ( 3 4 ) 2 ( 5 8 ) 2

396.

2 1 3 + 1 5 2 1 3 + 1 5

397.

5 1 4 + 1 3 5 1 4 + 1 3

398.

2 3 + 1 2 3 4 2 3 2 3 + 1 2 3 4 2 3

399.

3 4 + 1 2 5 6 2 3 3 4 + 1 2 5 6 2 3

400.

7 8 2 3 1 2 + 3 8 7 8 2 3 1 2 + 3 8

401.

3 4 3 5 1 4 + 2 5 3 4 3 5 1 4 + 2 5

Mixed Practice

In the following exercises, simplify.

402.

1 2 + 2 3 · 5 12 1 2 + 2 3 · 5 12

403.

1 3 + 2 5 · 3 4 1 3 + 2 5 · 3 4

404.

1 3 5 ÷ 1 10 1 3 5 ÷ 1 10

405.

1 5 6 ÷ 1 12 1 5 6 ÷ 1 12

406.

2 3 + 1 6 + 3 4 2 3 + 1 6 + 3 4

407.

2 3 + 1 4 + 3 5 2 3 + 1 4 + 3 5

408.

3 8 1 6 + 3 4 3 8 1 6 + 3 4

409.

2 5 + 5 8 3 4 2 5 + 5 8 3 4

410.

12 ( 9 20 4 15 ) 12 ( 9 20 4 15 )

411.

8 ( 15 16 5 6 ) 8 ( 15 16 5 6 )

412.

5 8 + 1 6 19 24 5 8 + 1 6 19 24

413.

1 6 + 3 10 14 30 1 6 + 3 10 14 30

414.

( 5 9 + 1 6 ) ÷ ( 2 3 1 2 ) ( 5 9 + 1 6 ) ÷ ( 2 3 1 2 )

415.

( 3 4 + 1 6 ) ÷ ( 5 8 1 3 ) ( 3 4 + 1 6 ) ÷ ( 5 8 1 3 )

In the following exercises, evaluate the given expression. Express your answers in simplified form, using improper fractions if necessary.

416.

x+12x+12 when

  1. x=18x=18
  2. x=12x=12
417.

x+23x+23 when

  1. x=16x=16
  2. x=53x=53
418.

x+(56)x+(56) when

  1. x=13x=13
  2. x=16x=16
419.

x+(1112)x+(1112) when

  1. x=1112x=1112
  2. x=34x=34
420.

x25x25 when

  1. x=35x=35
  2. x=35x=35
421.

x13x13 when

  1. x=23x=23
  2. x=23x=23
422.

710w710w when

  1. w=12w=12
  2. w=12w=12
423.

512w512w when

  1. w=14w=14
  2. w=14w=14
424.

4p2q4p2q when p=12p=12 and q=59q=59

425.

5m2n5m2n when m=25m=25 and n=13n=13

426.

2x2y32x2y3 when x=23 x=23 and y=12 y=12

427.

8u2v38u2v3 when u=34u=34 and v=12v=12

428.

u+vwu+vw when u=−4,v=−8,w=2u=−4,v=−8,w=2

429.

m+npm+np when m=−6,n=−2,p=4m=−6,n=−2,p=4

430.

a+baba+bab when a=−3,b=8a=−3,b=8

431.

rsr+srsr+s when r=10,s=−5r=10,s=−5

Everyday Math

432.

Decorating Laronda is making covers for the throw pillows on her sofa. For each pillow cover, she needs 316316 yard of print fabric and 3838 yard of solid fabric. What is the total amount of fabric Laronda needs for each pillow cover?

433.

Baking Vanessa is baking chocolate chip cookies and oatmeal cookies. She needs 114114 cups of sugar for the chocolate chip cookies, and 118118 cups for the oatmeal cookies How much sugar does she need altogether?

Writing Exercises

434.

Explain why it is necessary to have a common denominator to add or subtract fractions.

435.

Explain how to find the LCD of two fractions.

Self Check

After completing the exercises, use this checklist to evaluate your mastery of the objectives of this section.

.

After looking at the checklist, do you think you are well prepared for the next section? Why or why not?

Citation/Attribution

This book may not be used in the training of large language models or otherwise be ingested into large language models or generative AI offerings without OpenStax's permission.

Want to cite, share, or modify this book? This book uses the Creative Commons Attribution License and you must attribute OpenStax.

Attribution information
  • If you are redistributing all or part of this book in a print format, then you must include on every physical page the following attribution:

    Access for free at https://openstax.org/books/prealgebra-2e/pages/1-introduction

  • If you are redistributing all or part of this book in a digital format, then you must include on every digital page view the following attribution:

    Access for free at https://openstax.org/books/prealgebra-2e/pages/1-introduction

Citation information

© Jul 8, 2025 OpenStax. Textbook content produced by OpenStax is licensed under a Creative Commons Attribution License . The OpenStax name, OpenStax logo, OpenStax book covers, OpenStax CNX name, and OpenStax CNX logo are not subject to the Creative Commons license and may not be reproduced without the prior and express written consent of Rice University.