Skip to ContentGo to accessibility pageKeyboard shortcuts menu
OpenStax Logo
Organic Chemistry

Additional Problems

Organic ChemistryAdditional Problems
Search for key terms or text.

31 • Additional Problems

31 • Additional Problems

Visualizing Chemistry

Problem 31-13

Identify the structural class to which the following polymer belongs, and show the structure of the monomer units used to make it:

A ball-and-stick model of a polymer showing two benzene rings and connecting substituents. Wavy lines indicate boundaries of the repeating unit.
Problem 31-14
Show the structures of the polymers that could be made from the following monomers (green = Cl):
(a)
A ball-and-stick model of a monomer showing five-carbon chain with nitrogen, carbonyl, and alkene bond. Carbon, hydrogen, oxygen, and nitrogen are denoted using black, gray, red, and blue spheres, respectively.
(b)
Ball-and-stick model of 2-chloro-1,3-butadiene. Carbon, hydrogen, and halogen are denoted using black, gray, and green spheres, respectively.

Mechanism Problems

Problem 31-15

Poly(ethylene glycol), or Carbowax, is made by anionic polymerization of ethylene oxide using NaOH as catalyst. Propose a mechanism.

The structure of polyethylene glycol. Oxygen is connected to two methylene units and its structure is inside parentheses with n as the subscript.
Problem 31-16

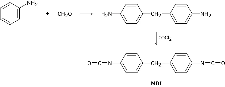
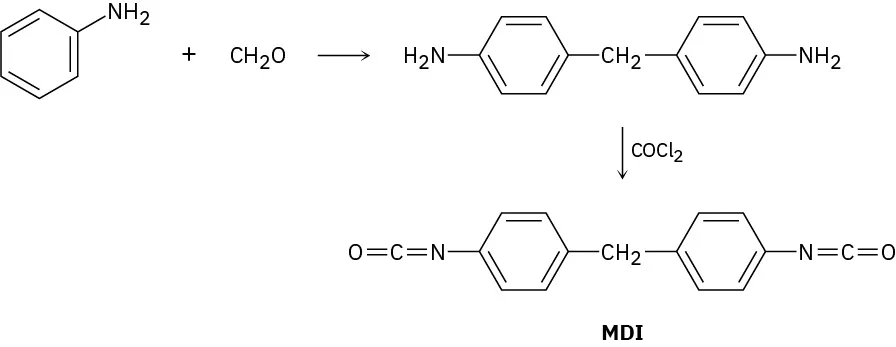
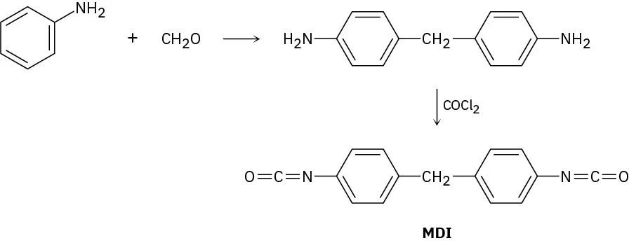
The polyurethane foam used for home insulation uses methanediphenyldiisocyanate (MDI) as monomer. The MDI is prepared by acid-catalyzed reaction of aniline with formaldehyde, followed by treatment with phosgene, COCl2. Propose mechanisms for both steps.

The formation of methanediphenyldidisocyanate. Aniline reacts with formaldehyde to form a polymer. This polymer reacts with phosgene to produce the polymer, M D I.
Problem 31-17
Write the structure of a representative segment of polyurethane prepared by reaction of ethylene glycol with MDI (Problem 31-16).
Problem 31-18

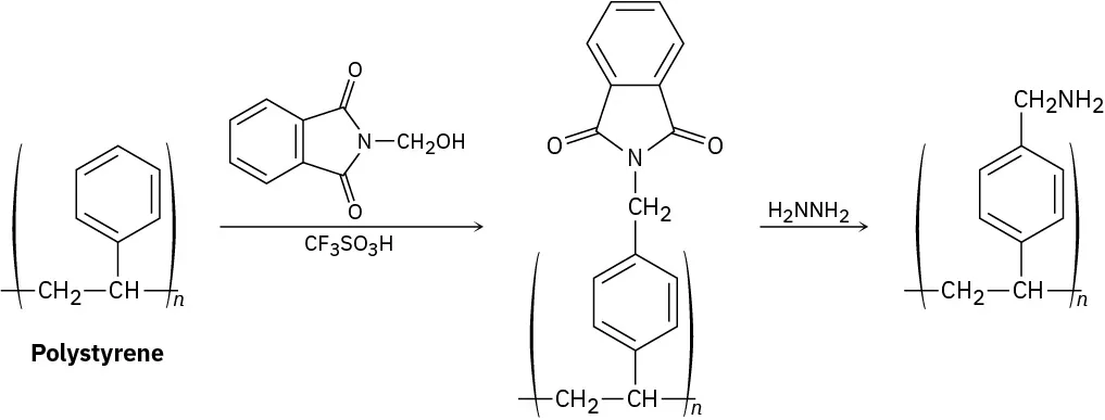
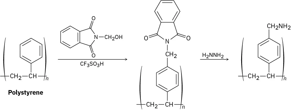
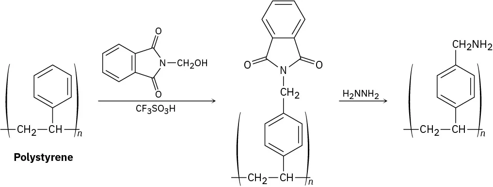
The polymeric resin used for Merrifield solid-phase peptide synthesis (Section 26.8) is prepared by treating polystyrene with N-(hydroxymethyl)phthalimide and trifluoromethanesulfonic acid, followed by reaction with hydrazine. Propose a mechanism for both steps.

Polystyrene reacts with N-(hydroxymethyl)phthalimide and trifluoromethanesulfonic acid to form an intermediate that further reacts with hydrazine to form resin. The product's structure is inside parentheses with n as the subscript.
Problem 31-19

Polydicyclopentadiene (PDCPD), marketed as Telene or Metton, is a highly cross-linked thermosetting resin used for molding such impact-resistant parts as cabs for large trucks and earth-moving equipment. PDCPD is prepared by ring-opening metathesis polymerization of dicyclopentadiene, which is itself prepared from 1,3-cyclopentadiene. The polymerization occurs by initial metathesis of the more highly strained double bond in the bicyclo[2.2.1]heptane part of the molecule (Section 4.9) to give a linear polymer, followed by cross-linking of different chains in a second metathesis of the remaining cyclopentene double bond.

Two molecules of cyclopentadiene react with heat to form dicyclopentadiene. This further undergoes ring-opening metathesis polymerization to form polydicyclopentadiene. Wavy lines denote the bond extensions.
(a)
Show the mechanism of the formation of dicyclopentadiene from cyclopentadiene.
(b)
Draw the structure of a representative sample of the initially formed linear polymer containing three monomer units.
(c)
Draw the structure of a representative sample of PDCPD that shows how cross-linking of the linear chains takes place.

General Problems

Problem 31-20
Identify the monomer units from which each of the following polymers is made, and tell whether each is a chain-growth or a step-growth polymer:
(a)
The structure of a polymer whose repeating unit is C H 2 O. The unit is inside parentheses with bonds extending out and has a subscript n.
(b)
The structure of a polymer whose repeating unit is C F 2 C F Cl. The unit is inside parentheses with bonds extending out and has a subscript n.
(c)
The structure of a polymer comprising N H connected to three methylene units that is linked to a carbonyl. The structure is inside the parentheses and has a subscript n.
(d)
The structure of a polymer comprising oxygen linked to a benzene ring with a carbonyl group. The structure is inside the parentheses and has a subscript n.
(e)
The structure of a polymer comprising oxygen linked to cyclohexane further bonded to another oxygen and carbonyl group. The structure is inside the parentheses and has a subscript n.
Problem 31-21

Draw a three-dimensional representation of segments of the following polymers:

(a)
Syndiotactic polyacrylonitrile
(b)
Atactic poly(methyl methacrylate)
(c)
Isotactic poly(vinyl chloride)
Problem 31-22

Draw the structure of Kodel, a polyester prepared by heating dimethyl 1,4-benzenedicarboxylate with 1,4-bis(hydroxymethyl)cyclohexane.

The structure of 1,4-bis(hydroxymethyl)cyclohexane.
Problem 31-23

Show the structure of the polymer that results from heating the following diepoxide and diamine:

Diepoxide comprises benzene bonded to two O-atoms on both sides. Further bonded to methylene and epoxide ring. It reacts with diamine to give unknown product, shown as a question mark.
Problem 31-24
Nomex, a polyamide used in such applications as fire-retardant clothing, is prepared by reaction of 1,3-benzenediamine with 1,3-benzenedicarbonyl chloride. Show the structure of Nomex.
Problem 31-25
Nylon 10,10 is an extremely tough, strong polymer used to make reinforcing rods for concrete. Draw a segment of nylon 10,10, and show its monomer units.
Problem 31-26
1,3-Cyclopentadiene undergoes thermal polymerization to yield a polymer that has no double bonds in the chain. Upon strong heating, the polymer breaks down to regenerate cyclopentadiene. Propose a structure for the polymer.
Problem 31-27
When styrene, C6H5CH CH2, is copolymerized in the presence of a few percent p-divinylbenzene, a hard, insoluble, cross-linked polymer is obtained. Show how this cross-linking of polystyrene chains occurs.
Problem 31-28
Nitroethylene, H2C CHNO2, is a sensitive compound that must be prepared with great care. Attempted purification of nitroethylene by distillation often results in low recovery of product and a white coating on the inner walls of the distillation apparatus. Explain.
Problem 31-29

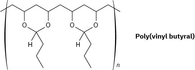
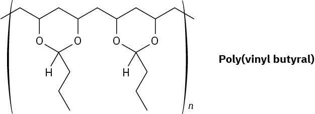
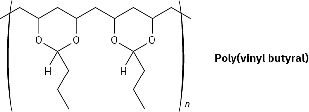
Poly(vinyl butyral) is used as the plastic laminate in the preparation of automobile windshield safety glass. How would you synthesize this polymer?

The structure of poly(vinyl butyral). It comprises eleven-carbon chain with oxygen connected at C 3, C 5, C 7, and C 9. The oxygen is linked to the propyl group.
Problem 31-30

What is the structure of the polymer produced by anionic polymerization of β-propiolactone using NaOH as catalyst?

The structure of beta-propiolactone, a four-membered cyclic ester.
Problem 31-31
Glyptal is a highly cross-linked thermosetting resin produced by heating glycerol and phthalic anhydride (1,2-benzenedicarboxylic acid anhydride). Show the structure of a representative segment of glyptal.
Problem 31-32

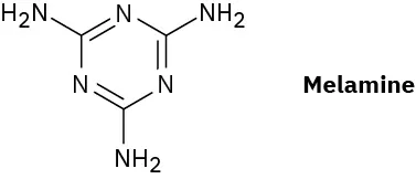
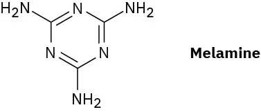
Melmac, a thermosetting resin often used to make plastic dishes, is prepared by heating melamine with formaldehyde. Look at the structure of Bakelite shown in Section 31.7, and then propose a structure for Melmac.

The structure of melamine. It is a six-membered ring with alternating C and N, and alternating single and double bonds. Each C has an N H 2 substituent.
Problem 31-33

Epoxy adhesives are cross-linked resins prepared in two steps. The first step involves SN2 reaction of the disodium salt of bisphenol A with epichlorohydrin to form a low-molecular-weight prepolymer. This prepolymer is then “cured” into a cross-linked resin by treatment with a triamine such as H2NCH2CH2NHCH2CH2NH2.

The structures of Bisphenol A and Epichlorohydrin.
(a)
What is the structure of the prepolymer?
(b)
How does addition of the triamine to the prepolymer result in cross-linking?
Problem 31-34

The smoking salons of the Hindenburg and other hydrogen-filled dirigibles of the 1930s were insulated with urea–formaldehyde polymer foams. The structure of this polymer is highly cross-linked, like that of Bakelite (Section 31.7). Propose a structure.

An incomplete reaction in which urea reacts with formaldehyde to form unknown product(s) indicated by a question mark.
Problem 31-35
2-Ethyl-1-hexanol, used in the synthesis of di(2-ethylhexyl) phthalate plasticizer, is made commercially from butanal. Show the likely synthesis route.
Citation/Attribution

This book may not be used in the training of large language models or otherwise be ingested into large language models or generative AI offerings without OpenStax's permission.

Want to cite, share, or modify this book? This book uses the Creative Commons Attribution-NonCommercial-ShareAlike License and you must attribute OpenStax.

Attribution information
  • If you are redistributing all or part of this book in a print format, then you must include on every physical page the following attribution:

    Access for free at https://openstax.org/books/organic-chemistry/pages/1-why-this-chapter

  • If you are redistributing all or part of this book in a digital format, then you must include on every digital page view the following attribution:

    Access for free at https://openstax.org/books/organic-chemistry/pages/1-why-this-chapter

Citation information

© Jul 9, 2025 OpenStax. Textbook content produced by OpenStax is licensed under a Creative Commons Attribution-NonCommercial-ShareAlike License . The OpenStax name, OpenStax logo, OpenStax book covers, OpenStax CNX name, and OpenStax CNX logo are not subject to the Creative Commons license and may not be reproduced without the prior and express written consent of Rice University.