Skip to ContentGo to accessibility pageKeyboard shortcuts menu
OpenStax Logo
Organic Chemistry

31.1 Chain-Growth Polymers

Organic Chemistry31.1 Chain-Growth Polymers
Search for key terms or text.

31.1 • Chain-Growth Polymers

Synthetic polymers are classified by their method of synthesis as either chain-growth or step-growth. These categories are somewhat imprecise but nevertheless provide a useful distinction. Chain-growth polymers are produced by chain-reaction polymerization in which an initiator adds to the carbon–carbon double bond of an unsaturated substrate (a vinyl monomer) to yield a reactive intermediate. This intermediate reacts with a second molecule of monomer to yield a new intermediate, which reacts with a third monomer unit, and so on.

The initiator can be a radical, an acid, or a base. Historically, as we saw in Section 8.10, radical polymerization was the most common method because it can be carried out with practically any vinyl monomer.

Benzoyl peroxide reacts with heat to form benzoyloxy radical, which reacts to form phenyl radical. Phenyl radical reacts with ethene to form ethylbenzene radical; continued polymerization with ethene forms product.

Acid-catalyzed (cationic) polymerization, by contrast, is effective only with vinyl monomers that contain an electron-donating group (EDG) capable of stabilizing the chain-carrying carbocation intermediate.

Acid reacts with a vinyl monomer bonded to an electron-donating group to form a cationic intermediate. Continued reaction with units of monomer result in polymerization (always via cation formation).

Isobutylene (2-methylpropene) is a good example of a monomer that polymerizes rapidly under cationic conditions. The reaction is carried out commercially at –80 °C, using BF3 and a small amount of water to generate BF3OH H+ catalyst. The product is used in the manufacture of truck and bicycle inner tubes.

Isobutylene reacts with hydrogen trifluoro(hydroxy)borate to form polyisobutylene depicted inside parentheses with subscript n.

Vinyl monomers with electron-withdrawing groups (EWG) can be polymerized by basic (anionic) catalysts. The chain-carrying step is a conjugate nucleophilic addition of an anion to the unsaturated monomer (Section 19.13).

A nucleophile reacts with a vinyl monomer bonded to an electron-withdrawing group to form an anionic intermediate. Continued reaction with units of monomer result in polymerization (always via anion formation).

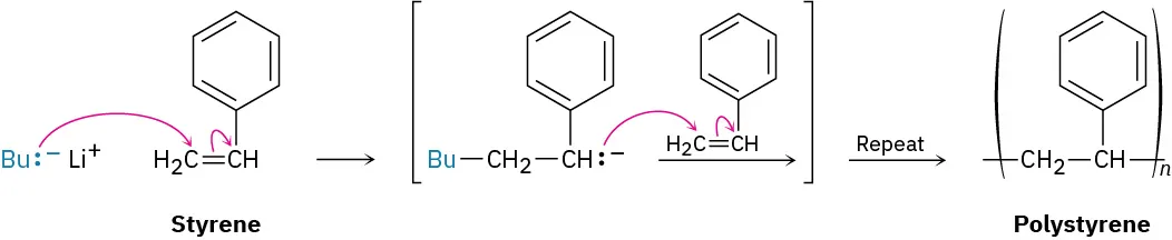
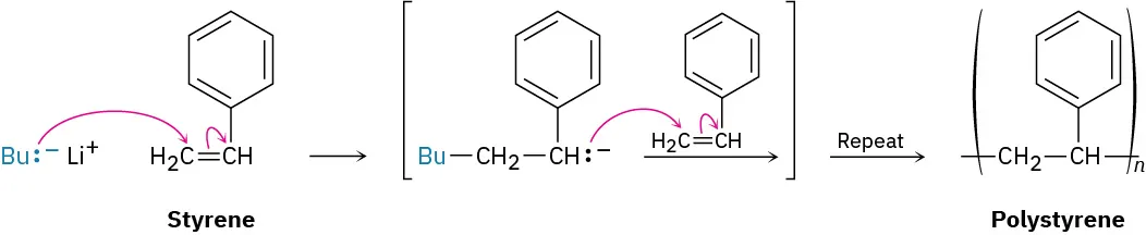
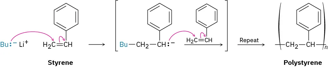
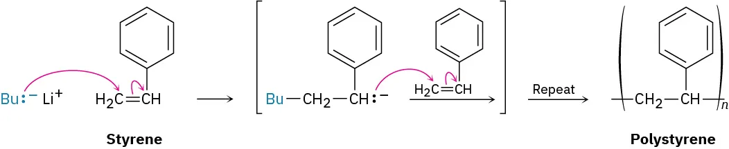
Acrylonitrile (H2CCHCNH2CCHCN), methyl methacrylate [H2CC(CH3)CO2CH3H2CC(CH3)CO2CH3], and styrene (H2CCHC6H5H2CCHC6H5) can all be polymerized anionically. The polystyrene used in foam coffee cups, for example, is prepared by anionic polymerization of styrene using butyllithium as catalyst.

Butyl lithium reacts with styrene to form an anionic intermediate that further reacts with styrene. The process repeats many times to give polystyrene.

An interesting example of anionic polymerization accounts for the remarkable properties of “super glue,” one drop of which can support up to 2000 lb. Super glue is simply a solution of pure methyl α-cyanoacrylate, which has two electron-withdrawing groups that make anionic addition particularly easy. Trace amounts of water or bases on the surface of an object are sufficient to initiate polymerization of the cyanoacrylate and bind articles together. Skin is a good source of the necessary basic initiators, and many people have found their fingers stuck together after inadvertently touching super glue. So good is super glue at binding tissues that related cyanoacrylate esters such as Dermabond are often used in place of sutures to close wounds.

Methyl alpha cyanoacrylate reacts with a nucleophile with lone pair to give an intermediate, that forms a polymer. The figure below shows the structure of dermabond, 2-ethylhexyl alpha cyanoacrylate.
Problem 31-1

Order the following monomers with respect to their expected reactivity toward cationic polymerization, and explain your answer:

H2C CHCH3, H2C CHCl, H2C CH–C6H5, H2C CHCO2CH3
Problem 31-2

Order the following monomers with respect to their expected reactivity toward anionic polymerization, and explain your answer:

H2C CHCH3, H2C CHC N, H2C CHC6H5
Problem 31-3

Polystyrene is produced commercially by reaction of styrene with butyllithium as an anionic initiator. Using resonance structures, explain how the chain-carrying intermediate is stabilized.

Citation/Attribution

This book may not be used in the training of large language models or otherwise be ingested into large language models or generative AI offerings without OpenStax's permission.

Want to cite, share, or modify this book? This book uses the Creative Commons Attribution-NonCommercial-ShareAlike License and you must attribute OpenStax.

Attribution information
  • If you are redistributing all or part of this book in a print format, then you must include on every physical page the following attribution:

    Access for free at https://openstax.org/books/organic-chemistry/pages/1-why-this-chapter

  • If you are redistributing all or part of this book in a digital format, then you must include on every digital page view the following attribution:

    Access for free at https://openstax.org/books/organic-chemistry/pages/1-why-this-chapter

Citation information

© Jul 9, 2025 OpenStax. Textbook content produced by OpenStax is licensed under a Creative Commons Attribution-NonCommercial-ShareAlike License . The OpenStax name, OpenStax logo, OpenStax book covers, OpenStax CNX name, and OpenStax CNX logo are not subject to the Creative Commons license and may not be reproduced without the prior and express written consent of Rice University.