Skip to ContentGo to accessibility pageKeyboard shortcuts menu
OpenStax Logo
Organic Chemistry

19.13 Conjugate Nucleophilic Addition to α,β‑Unsaturated Aldehydes and Ketones

Organic Chemistry19.13 Conjugate Nucleophilic Addition to α,β‑Unsaturated Aldehydes and Ketones
Search for key terms or text.

19.13 • Conjugate Nucleophilic Addition to α,β‑Unsaturated Aldehydes and Ketones

All the reactions we’ve been discussing to this point have involved the addition of a nucleophile directly to the carbonyl group, a so-called 1,2-addition. Closely related to this direct addition is the conjugate addition, or 1,4-addition, of a nucleophile to the C═CC═C bond of an α,β-unsaturated aldehyde or ketone. (The carbon atom next to a carbonyl group is often called the α carbon, the next carbon is the β carbon, and so on. Thus, an α,β-unsaturated aldehyde or ketone has a double bond conjugated with the carbonyl group.) The initial product of conjugate addition is a resonance-stabilized enolate ion, which typically undergoes protonation on the α carbon to give a saturated aldehyde or ketone product (Figure 19.14).

In direct (1,2) addition, nucleophile attacks carbonyl, forms alcohol after protonation. In conjugate (1,4) addition, nucleophile attacks beta carbon of alpha-beta unsaturated aldehyde or ketone to form saturated after protonation.
Figure 19.14 A comparison of direct (1,2) and conjugate (1,4) nucleophilic addition reactions. In conjugate addition, a nucleophile adds to the β carbon of an α,β-unsaturated aldehyde or ketone and protonation occurs on the α carbon.

The conjugate addition of a nucleophile to an α,β-unsaturated aldehyde or ketone is caused by the same electronic factors that are responsible for direct addition. The electronegative oxygen atom of the α,β-unsaturated carbonyl compound withdraws electrons from the β carbon, thereby making it electron-poor and more electrophilic than a typical alkene carbon.

The ball-and-stick model in electrostatic potential map of an alpha-beta-unsaturated aldehyde or ketone. Resonance structures with negative on oxygen and positive on carbonyl and beta carbon are shown.

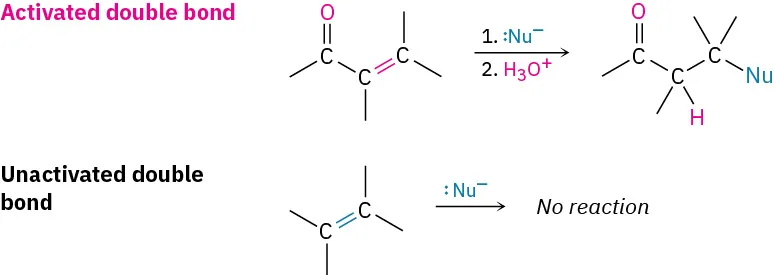
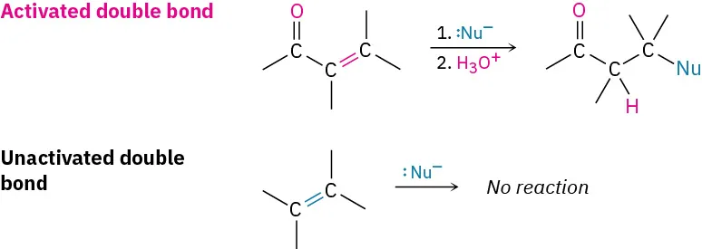
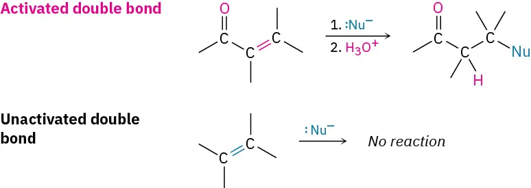
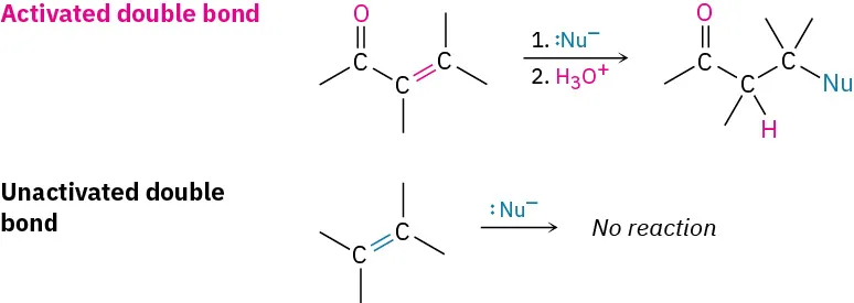
As noted, conjugate addition of a nucleophile to the β carbon of an α,β-unsaturated aldehyde or ketone leads to an enolate ion intermediate, which is protonated on the α carbon to give the saturated product (Figure 19.14). The net effect is addition of the nucleophile to the C═CC═C bond, with the carbonyl group itself unchanged. In fact, of course, the carbonyl group is crucial to the success of the reaction. Without the carbonyl group, the C═CC═C bond would not be activated for addition, and no reaction would occur.

Double bond of alpha-beta unsaturated ketone or aldehyde is activated, susceptible to nucleophilic attack. Double bond with no adjacent carbonyl is unactivated, not susceptible to nucleophilic attack.

Conjugate Addition of Amines

Both primary and secondary amines add to α,β-unsaturated aldehydes and ketones to yield β-amino aldehydes and ketones rather than the alternative imines. Under typical reaction conditions, both modes of addition occur rapidly. But because the reactions are reversible, they generally proceed with thermodynamic control rather than kinetic control (Section 14.3), so the more stable conjugate addition product is often obtained with the complete exclusion of the less stable direct addition product.

2-Cyclohexenone undergoes reversible reactions with methylamine to form beta-amino ketone (sole product). A second pathway shows intermediate ion leading to an unsaturated imine that is not formed.

Conjugate Addition of Water

Water can add reversibly to α,β-unsaturated aldehydes and ketones to yield β-hydroxy aldehydes and ketones, although the position of the equilibrium generally favors unsaturated reactant rather than saturated adduct. Related additions to α,β-unsaturated carboxylic acids occur in numerous biological pathways, such as the citric acid cycle of food metabolism in which cis-aconitate is converted into isocitrate by conjugate addition of water to a double bond.

Cis-aconitate ([1Z]-prop-1-ene-1,2,3-tricarboxyate) reacts with water to form isocitrate ([1R,2S]-1-hydroxypropane-1,2,3-tricarboxylic acid).
Problem 19-20
Assign R or S stereochemistry to the two chirality centers in isocitrate, and tell whether OH and H add to the Si face or the Re face of the double bond.

Conjugate Addition of Alkyl Groups: Organocopper Reactions

The conjugate addition of an alkyl or other organic group to an α,β-unsaturated ketone (but not aldehyde) is one of the more useful 1,4-addition reactions, just as direct addition of a Grignard reagent is one of the more useful 1,2-additions.

An alpha beta-unsaturated ketone reacts first with R anion, then with hydronium, to produce a saturated product with R as a substituent on the beta carbon.

Conjugate addition of an organic group is carried out by treating the α,β-unsaturated ketone with a lithium diorganocopper reagent, R2CuLi. As we saw in Section 10.7, lithium diorganocopper (Gilman) reagents are prepared by reaction between 1 equivalent of copper(I) iodide and 2 equivalents of an organolithium regent, RLi. The organolithium reagent, in turn, is formed by reaction of lithium metal with an organohalide in the same way that a Grignard reagent is prepared by reaction of magnesium metal with an organohalide.

R X reacts with two equivalents lithium in pentane to form R L i Two equivalents of this react with copper iodide in ether to form lithium diorganocopper (Gilman reagent).

Primary, secondary, and even tertiary alkyl groups undergo the conjugate addition reaction, as do aryl and alkenyl groups. Alkynyl groups, however, react poorly in the conjugate addition process. Diorganocopper reagents are unique in their ability to give conjugate addition products. Other organometallic reagents, such as Grignard reagents and organolithiums, normally result in direct carbonyl addition on reaction with α,β-unsaturated ketones.

2-cyclohexenone reacts with methyl magnesium bromide or methyl lithium, then hydronium, to yield 1-methyl-2-cyclohexen-1-ol, or with Gilman reagent, then hydronium, to yield 3-methylcyclohexanone.

The mechanism of this reaction is thought to involve conjugate nucleophilic addition of the diorganocopper anion, R2Cu, to the unsaturated ketone to give a copper-containing intermediate. Transfer of an R group from copper to carbon, followed by elimination of a neutral organocopper species, RCu, gives the final product.

Alpha-beta unsaturated ketone reacts with lithium bonded R 2 C u compound to form copper-containing intermediate. This reacts with hydronium ion to form saturated carbonyl with R at beta carbon.

Worked Example 19.4

Using a Conjugate Addition Reaction

How might you use a conjugate addition reaction to prepare 2-methyl-3-propylcyclopentanone?

The structure of 2-methyl-3-propylcyclopentane. It is cyclopentanone with methyl on C 2 and propyl on C 3 position.

Strategy

A ketone with a substituent group in its β position might be prepared by a conjugate addition of that group to an α,β-unsaturated ketone. In the present instance, the target molecule has a propyl substituent on the β carbon and might therefore be prepared from 2-methyl-2-cyclopentenone by reaction with lithium dipropylcopper.

Solution

2-methyl-2-cyclopentenone reacts with lithium dipropylcopper in ether, then hydronium ion to form 2-methyl-3-propylcylopentanone.
Problem 19-21
Treatment of 2-cyclohexenone with HCN/KCN yields a saturated keto nitrile rather than an unsaturated cyanohydrin. Show the structure of the product, and propose a mechanism for the reaction.
Problem 19-22
How might conjugate addition reactions of lithium diorganocopper reagents be used to synthesize the following compounds?
(a)
The structure of 2-heptanone.
(b)
The structure of 3,3-dimethylcyclohexanone.
(c)
The structure of 3,4-di(tert-butyl)cyclohexanone.
(d)
Structure of bicyclo[4.4.0]decane. C 1 has a vinyl group and C 3 has an oxo group.
Citation/Attribution

This book may not be used in the training of large language models or otherwise be ingested into large language models or generative AI offerings without OpenStax's permission.

Want to cite, share, or modify this book? This book uses the Creative Commons Attribution-NonCommercial-ShareAlike License and you must attribute OpenStax.

Attribution information
  • If you are redistributing all or part of this book in a print format, then you must include on every physical page the following attribution:

    Access for free at https://openstax.org/books/organic-chemistry/pages/1-why-this-chapter

  • If you are redistributing all or part of this book in a digital format, then you must include on every digital page view the following attribution:

    Access for free at https://openstax.org/books/organic-chemistry/pages/1-why-this-chapter

Citation information

© Jul 9, 2025 OpenStax. Textbook content produced by OpenStax is licensed under a Creative Commons Attribution-NonCommercial-ShareAlike License . The OpenStax name, OpenStax logo, OpenStax book covers, OpenStax CNX name, and OpenStax CNX logo are not subject to the Creative Commons license and may not be reproduced without the prior and express written consent of Rice University.