Skip to ContentGo to accessibility pageKeyboard shortcuts menu
OpenStax Logo
Organic Chemistry

23.13 Some Biological Carbonyl Condensation Reactions

Organic Chemistry23.13 Some Biological Carbonyl Condensation Reactions
Search for key terms or text.

23.13 • Some Biological Carbonyl Condensation Reactions

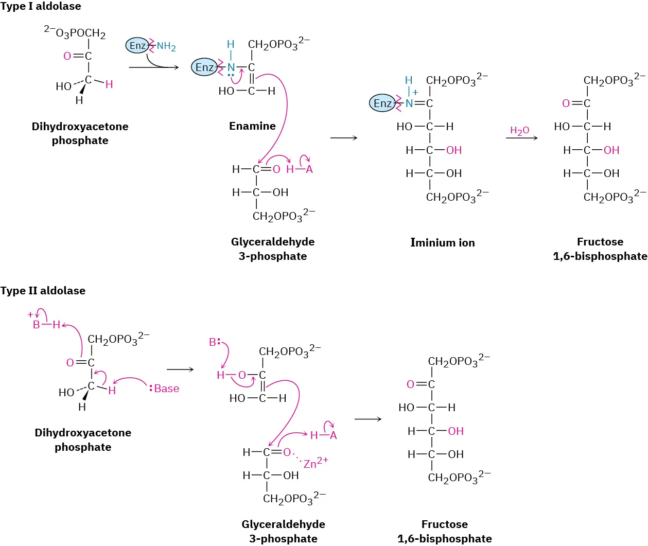
Biological Aldol Reactions

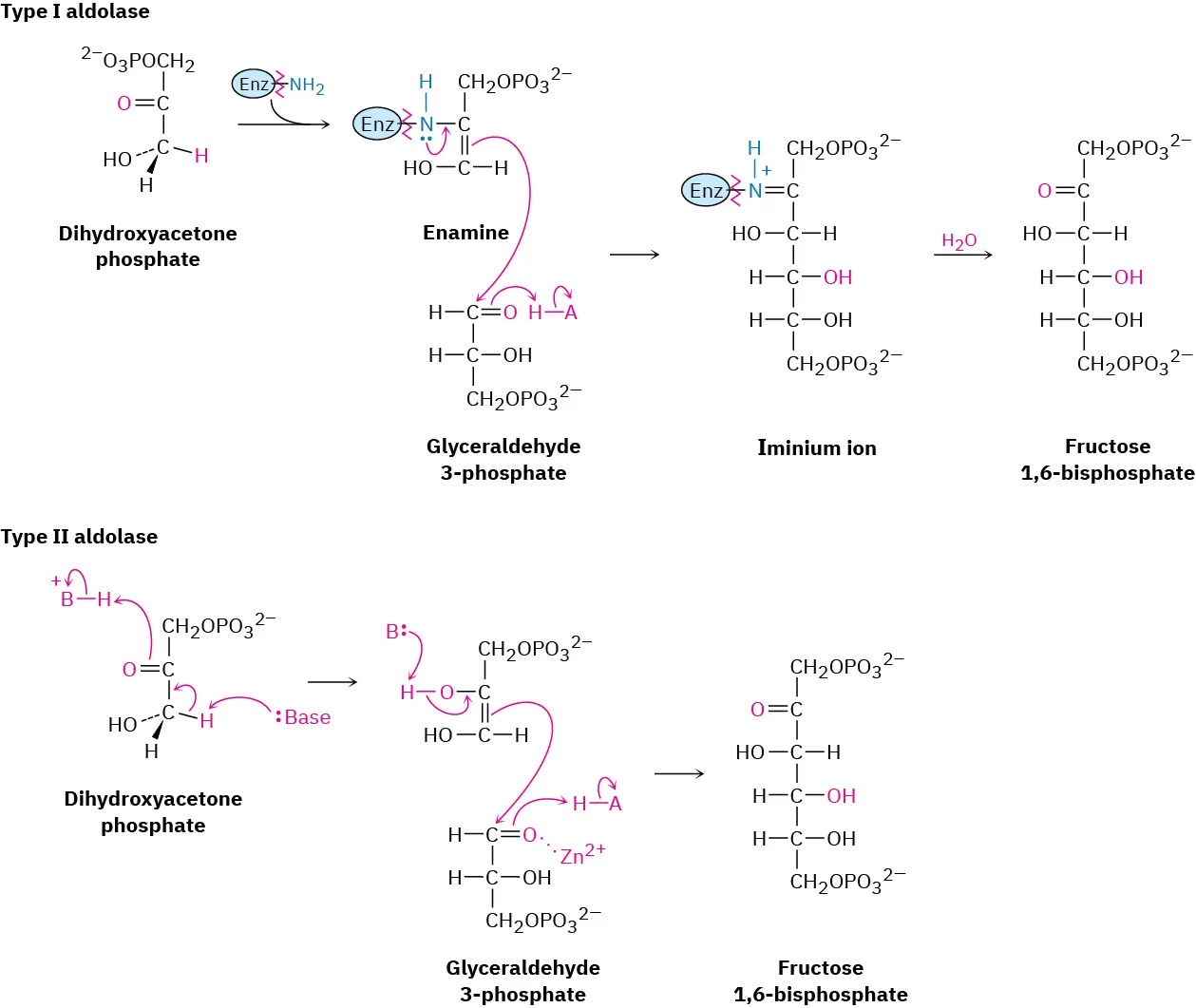
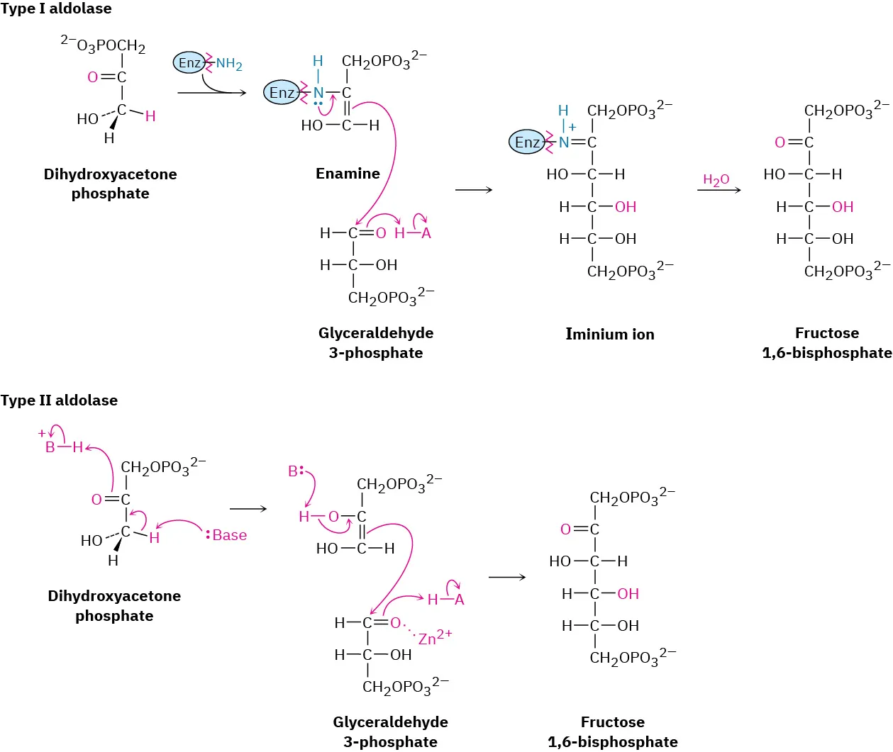
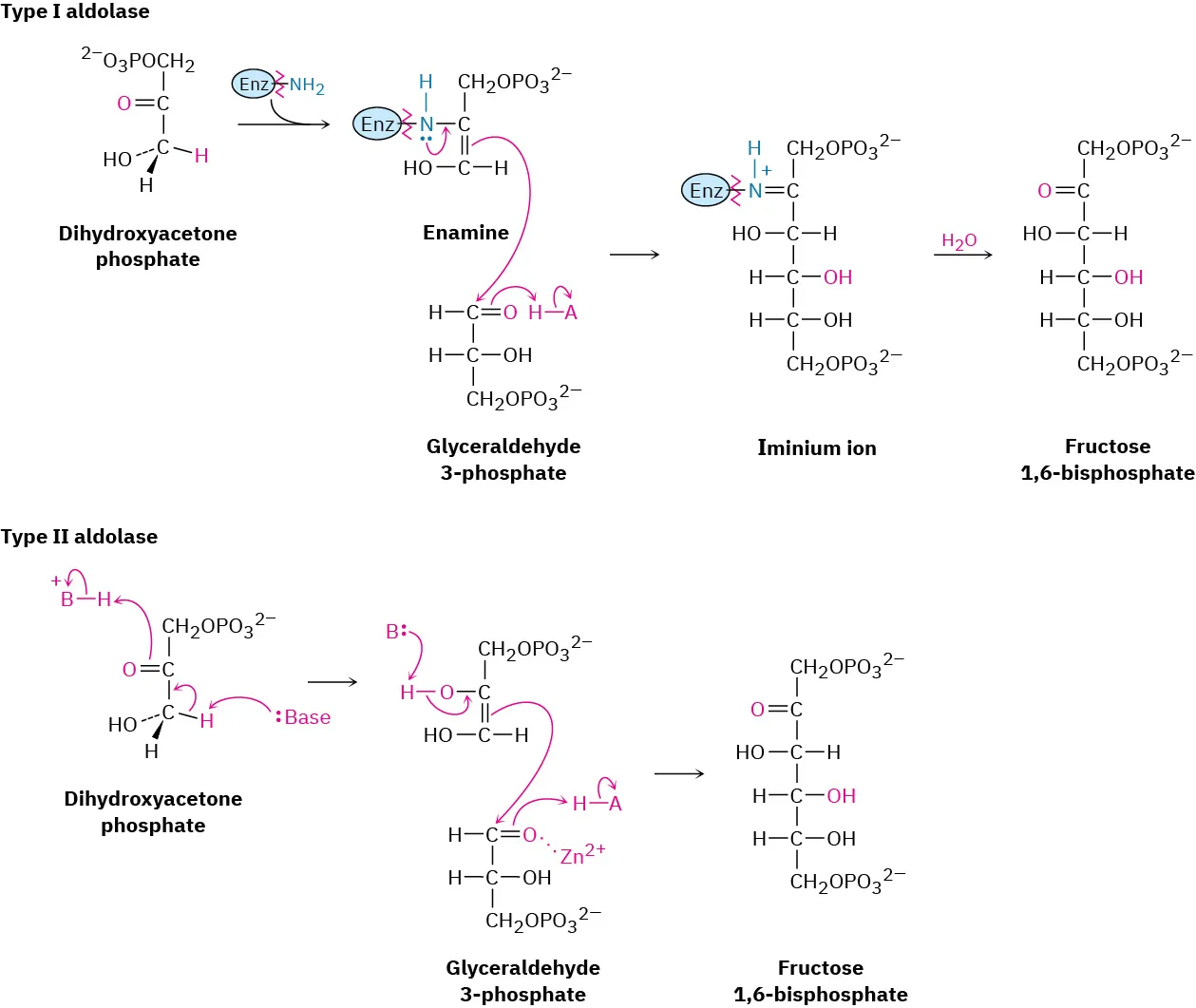
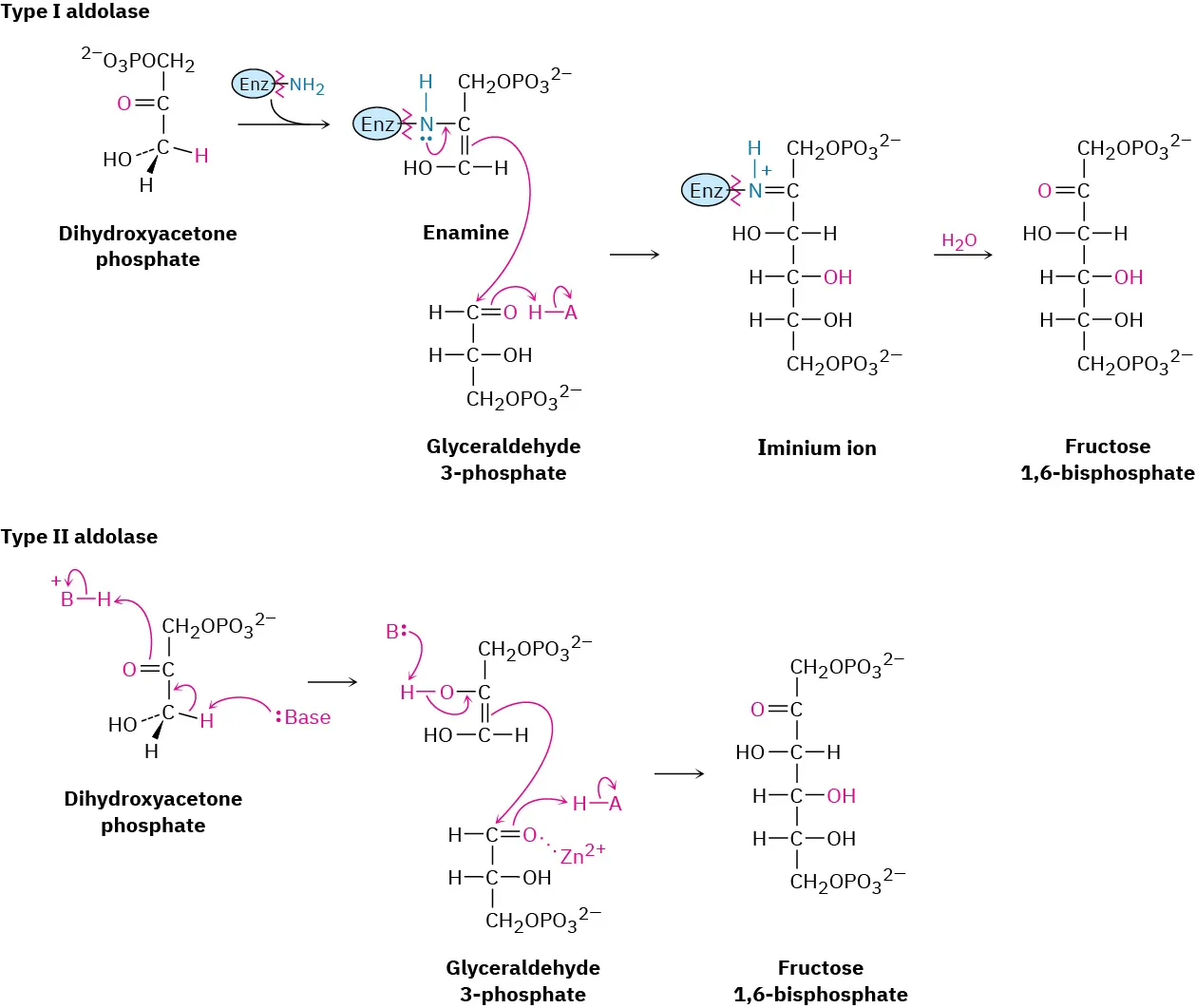
Aldol reactions occur in many biological pathways but are particularly common in carbohydrate metabolism, where enzymes called aldolases catalyze the addition of a ketone enolate ion to an aldehyde. Aldolases occur in all organisms and are of two types. Type I aldolases occur primarily in animals and higher plants; type II aldolases occur primarily in fungi and bacteria. Both types catalyze the same kind of reaction, but type I aldolases operate through an enamine while type II aldolases require a metal ion (usually Zn2+) as a Lewis acid and operate through an enolate ion.

An example of an aldolase-catalyzed reaction occurs in glucose biosynthesis when dihydroxyacetone phosphate reacts with glyceraldehyde 3-phosphate to give fructose 1,6-bisphosphate. In animals and higher plants, dihydroxyacetone phosphate is first converted into an enamine by reaction with the –NH2 group on a lysine amino acid in the enzyme. The enamine then adds to glyceraldehyde 3-phosphate, and the iminium ion that results is hydrolyzed. In bacteria and fungi, the aldol reaction occurs directly, with the ketone carbonyl group of glyceraldehyde 3-phosphate complexed to a Zn2+ ion to make it a better acceptor.

The scheme shows type one and two aldolase reactions. In both, dihydroxyacetone phosphate reacts with glyceraldehyde-3-phosphate yielding fructose 1,6-bisphosphate. Iminium ion is formed in type one on hydrolysis yields product.

Note that the aldolase-catalyzed reactions are mixed aldol reactions, which take place between two different partners, as opposed to the symmetrical aldol reactions between identical partners usually carried out in the laboratory. Mixed aldol reactions often give mixtures of products in the laboratory but are successful in living systems because of the selectivity of the enzyme catalysts.

Biological Claisen Condensations

Claisen condensations, like aldol reactions, also occur in a large number of biological pathways. In fatty-acid biosynthesis, for instance, an enolate ion generated by decarboxylation (Section 22.7) of malonyl ACP adds to the carbonyl group of another acyl group bonded through a thioester linkage to a synthase enzyme. The tetrahedral intermediate that results then expels the synthase, giving acetoacetyl ACP. (The abbreviation ACP stands for acyl carrier protein, which forms thioester bonds to acyl groups.)

Malonyl A C P reacts with acetyl synthase generating enolate ion expelling carbon dioxide. The reaction expels synthase - S H, giving acetoacetyl A C P.

Mixed Claisen condensations also occur frequently in living organisms, particularly in the pathway for fatty-acid biosynthesis that we’ll discuss in Section 29.4. Butyryl synthase, for instance, reacts with malonyl ACP in a mixed Claisen condensation to give 3-ketohexanoyl ACP.

The butyryl synthase and malonyl A C P reaction form 3-ketohexanoyl A C P. The product has six-carbon chain with two carbonyl groups positioned on the first and third carbon.
Citation/Attribution

This book may not be used in the training of large language models or otherwise be ingested into large language models or generative AI offerings without OpenStax's permission.

Want to cite, share, or modify this book? This book uses the Creative Commons Attribution-NonCommercial-ShareAlike License and you must attribute OpenStax.

Attribution information
  • If you are redistributing all or part of this book in a print format, then you must include on every physical page the following attribution:

    Access for free at https://openstax.org/books/organic-chemistry/pages/1-why-this-chapter

  • If you are redistributing all or part of this book in a digital format, then you must include on every digital page view the following attribution:

    Access for free at https://openstax.org/books/organic-chemistry/pages/1-why-this-chapter

Citation information

© Jul 9, 2025 OpenStax. Textbook content produced by OpenStax is licensed under a Creative Commons Attribution-NonCommercial-ShareAlike License . The OpenStax name, OpenStax logo, OpenStax book covers, OpenStax CNX name, and OpenStax CNX logo are not subject to the Creative Commons license and may not be reproduced without the prior and express written consent of Rice University.