Skip to ContentGo to accessibility pageKeyboard shortcuts menu
OpenStax Logo
Organic Chemistry

Chemistry Matters—A Prologue to Metabolism

Organic ChemistryChemistry Matters—A Prologue to Metabolism
Search for key terms or text.

23 • Chemistry Matters

23 • Chemistry Matters

Biochemistry is carbonyl chemistry. Almost all metabolic pathways used by living organisms involve one or more of the four fundamental carbonyl-group reactions we’ve seen in the chapters on Aldehydes and Ketones: Nucleophilic Addition Reactions through Carbonyl Condensation Reactions. The digestion and metabolic breakdown of all the major classes of food molecules—fats, carbohydrates, and proteins—take place by nucleophilic addition reactions, nucleophilic acyl substitutions, α substitutions, and carbonyl condensations. Similarly, hormones and other crucial biological molecules are built up from smaller precursors by these same carbonyl-group reactions.

A photo shows a portrait human face made using different dried and fresh, flowers and leaves.
Figure 23.10 You are what you eat. Food molecules are metabolized by pathways that involve the four major carbonyl-group reactions. (credit: “Spring” by Giuseppe Arcimboldo, Louvre Museum/Wikimedia Commons, Public Domain)

Take glycolysis, for example, the metabolic pathway by which organisms convert glucose to pyruvate as the first step in extracting energy from carbohydrates.

The reaction shows the glycolysis of glucose into two pyruvate molecules. Glucose is in a chair conformation with carbon atoms highlighted using pink, blue, and green colors.

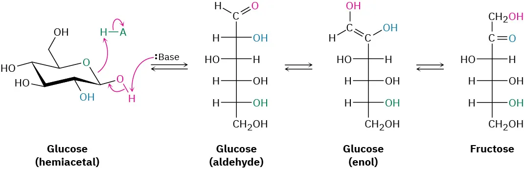
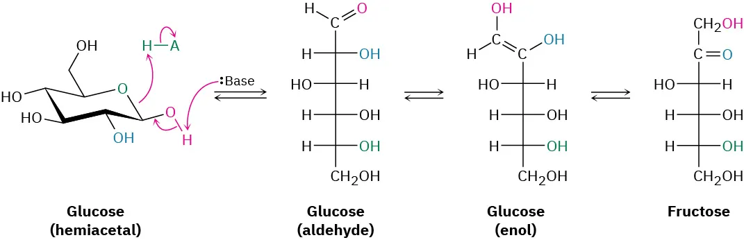
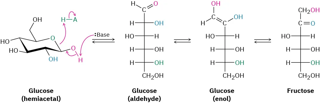
Glycolysis is a ten-step process that begins with isomerization of glucose from its cyclic hemiacetal form to its open-chain aldehyde form—the reverse of a nucleophilic addition reaction. The aldehyde then undergoes tautomerization to yield an enol, which undergoes yet another tautomerization to give the ketone fructose.

The reversible reaction shows the conversion of glucose into fructose through the formation of aldehyde and enol forms of glucose. The initial glucose is in hemiacetal form.

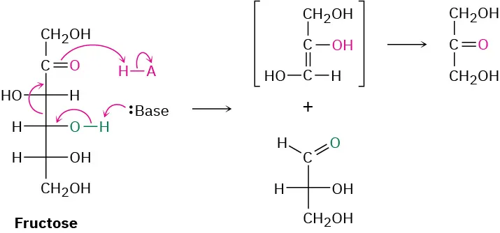
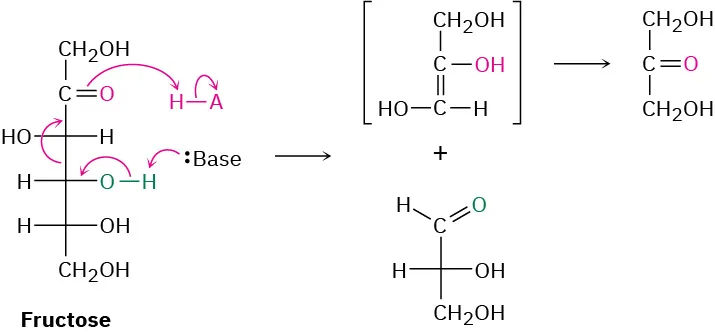
Fructose, a β-hydroxy ketone, is then cleaved by a retro-aldol reaction into two three-carbon molecules—one ketone and one aldehyde. Further carbonyl-group reactions then occur until pyruvate is formed.

The reaction shows the conversion of fructose (six-carbon chain) in the presence of a base to form a ketone and aldehyde, both containing a vertical three-carbon chain.

These few examples are only an introduction; we’ll look at several of the major metabolic pathways in more detail in Chapter 29. The bottom line, however, is that you haven’t seen the end of carbonyl-group chemistry if you have any interest in biological or medical fields. A solid grasp of carbonyl-group reactions is crucial to an understanding of biochemistry.

Citation/Attribution

This book may not be used in the training of large language models or otherwise be ingested into large language models or generative AI offerings without OpenStax's permission.

Want to cite, share, or modify this book? This book uses the Creative Commons Attribution-NonCommercial-ShareAlike License and you must attribute OpenStax.

Attribution information
  • If you are redistributing all or part of this book in a print format, then you must include on every physical page the following attribution:

    Access for free at https://openstax.org/books/organic-chemistry/pages/1-why-this-chapter

  • If you are redistributing all or part of this book in a digital format, then you must include on every digital page view the following attribution:

    Access for free at https://openstax.org/books/organic-chemistry/pages/1-why-this-chapter

Citation information

© Jul 9, 2025 OpenStax. Textbook content produced by OpenStax is licensed under a Creative Commons Attribution-NonCommercial-ShareAlike License . The OpenStax name, OpenStax logo, OpenStax book covers, OpenStax CNX name, and OpenStax CNX logo are not subject to the Creative Commons license and may not be reproduced without the prior and express written consent of Rice University.