Skip to ContentGo to accessibility pageKeyboard shortcuts menu
OpenStax Logo
Organic Chemistry

Additional Problems

Organic ChemistryAdditional Problems
Search for key terms or text.

19 • Additional Problems

19 • Additional Problems

Visualizing Chemistry

Problem 19-27
Each of the following substances can be prepared by a nucleophilic addition reaction between an aldehyde or ketone and a nucleophile. Identify the reactants from which each was prepared. If the substance is an acetal, identify the carbonyl compound and the alcohol; if it is an imine, identify the carbonyl compound and the amine; and so forth.
(a)
A ball-and-stick model of a six-membered ring with two oxygen members, spaced with one carbon between them. That carbon has a methyl substituent.
(b)
A ball-and-stick model shows benzene ring linked to methylene group. This is linked to a nitrogen atom double bonded to carbon. This is linked to two methyl groups.
(c)
A ball-and-stick model of a cyclopentene linked to a cyclopentane with nitrogen atom.
(d)
A ball-and-stick model shows a benzene ring with a methyl group, C H linked to a hydroxyl. C H is also linked to two methyl groups.
Problem 19-28

The following molecular model represents a tetrahedral intermediate resulting from addition of a nucleophile to an aldehyde or ketone. Identify the reactants, and write the structure of the final product when the nucleophilic addition reaction is complete.

The ball-and-stick model shows a cyclopentane ring with nitrogen atom attached to three-carbon chain with hydroxyl and methyl group on the first carbon, and methyl group on the second carbon.
Problem 19-29
The enamine prepared from acetone and dimethylamine is shown in its lowest-energy form.
(a)
What is the geometry and hybridization of the nitrogen atom?
(b)
What orbital on nitrogen holds the lone pair of electrons?
(c)

What is the geometric relationship between the p orbitals of the double bond and the nitrogen orbital that holds the lone pair? Why do you think this geometry represents the minimum energy?

The ball-and-stick model shows a three-carbon chain with a double bond between first and second carbons. The second carbon is attached to N, N-dimethyl amine group

Mechanism Problems

Problem 19-30
Predict the product(s) and propose a mechanism for each of the following reactions:
(a)
The reaction shows 3-phenylpropanoyl chloride with aluminum chloride to produce an unknown product depicted by a question mark.
(b)
The reaction shows methoxybenzene with acetyl chloride in the presence of aluminum chloride to yield an unknown product denoted by a question mark.
Problem 19-31
Predict the product(s) and propose a mechanism for each of the following reactions:
(a)
The reaction shows butan-2-one with ethylene glycol using a hydrogen ion catalyst, producing an unknown product marked with a question mark.
(b)
The reaction shows acetone with (1S,2S)-cyclohexane-1, 2-diol using a hydrogen ion catalyst, yielding an unknown product marked with a question mark.
Problem 19-32
Predict the product(s) and propose a mechanism for each of the following reactions:
(a)
The reaction shows fused cyclohexane and cyclopentane rings with oxygen and methyl groups with hydrogen ion catalyst and water to yield an unknown product denoted by a question mark.
(b)
The reaction shows a compound with benzene attached to cyclopentane with oxygen, hydrogen, and methyl groups with hydrogen ion catalyst and water, yielding unknown product marked with a question mark.
Problem 19-33
Predict the product(s) and propose a mechanism for each of the following reactions:
(a)
The reaction shows pentan-3-one with hydroxylamine to yield an unknown product marked with a question mark.
(b)
The reaction shows acetophenone with dimethylamine resulting in an unknown product represented by a question mark.
Problem 19-34
Predict the product(s) and propose mechanisms for the following reactions:
(a)
The reaction shows N-(butan-2-ylidine)methanamine with hydrochloric acid and water to yield an unknown product marked with a question mark.
(b)
The reaction shows N, N-dimethylcyclohex-1-enamine with hydrochloric acid and water to yield an unknown product marked with a question mark.
Problem 19-35
The following reaction begins with an acetal and converts it into a different acetal. Predict the product(s) and propose a mechanism.
(a)
The reaction shows 1,2-dihydroxybenzene and 2, 2-dimethoxypropane in the presence of hydrogen ion to yield the unknown product marked with a question mark.
(b)
The reaction shows 3, 3-dimethoxypentane with ethylene glycol in the presence of hydrogen ions, producing an unknown product denoted by a question mark.
Problem 19-36

When α-glucose is treated with an acid catalyst in the presence of an alcohol, an acetal is formed. Propose a mechanism for this process and give the structure of the stereoisomeric acetal that you would also expect as a product.

The reaction shows the conversion of alpha-glucose to acetal in the presence of hydrogen ions and methanol.
Problem 19-37
Predict the products of the following Wolff–Kishner reactions. Write the mechanism for each, beginning from the hydrazone intermediate.
(a)
Cyclohexanone with benzene fused to C 2 and C 3 reacts with hydrazine and potassium hydroxide to generate an unidentified product, indicated by a question mark.
(b)
Bicyclo[2.2.1]heptane with an oxo group on C 2 reacts with hydrazine and potassium hydroxide to generate an unidentified product, indicated by a question mark.
Problem 19-38

Aldehydes can be prepared by the Wittig reaction using (methoxymethylene)triphenylphosphorane as the Wittig reagent and then hydrolyzing the product with acid. For example,

A cyclohexanone reacts with (methoxymethylene)-triphenylphosphorane to form an intermediate, that reacts with a hydronium ion, yielding a final product, cyclohexanecarbaldehyde.
(a)
How would you prepare the necessary phosphorane?
(b)
Propose a mechanism for the hydrolysis step.
Problem 19-39

One of the steps in the metabolism of fats is the reaction of an unsaturated acyl CoA with water to give a β-hydroxyacyl CoA. Propose a mechanism.

The reaction of unsaturated acyl coenzyme A with water to yield beta-hydroxyacyl coenzyme A, where a hydroxyl group is attached to the beta-carbon of the chain.
Problem 19-40

Aldehydes and ketones react with thiols to yield thioacetals just as they react with alcohols to yield acetals. Predict the product of the following reaction, and propose a mechanism:

The reaction shows a cyclopentanone with two molecules of ethanethiol, in the presence of a proton catalyst to yield an unknown compound indicated by a question mark.
Problem 19-41

Ketones react with dimethylsulfonium methylide to yield epoxides. Suggest a mechanism for the reaction.

The reaction shows cyclohexanone with dimethylsulfonium methylide in D M S O to yield an epoxide, where an oxirane carbon is attached to a cyclohexane ring and dimethylsulfide.
Problem 19-42

Propose a mechanism for the following reaction.

The reaction shows a ketone converted to an acid with sodium hydroxide (first reaction), followed by hydrochloric acid in water (second reaction).
Problem 19-43

Paraldehyde, a sedative and hypnotic agent, is prepared by treatment of acetaldehyde with an acidic catalyst. Propose a mechanism for the reaction.

Three acetaldehyde molecules react with proton catalyst giving paraldehyde, where three carbon atoms of cyclohexane ring are replaced with oxygen. Three methyl groups are connected to carbon atoms in ring.
Problem 19-44

The Meerwein–Ponndorf–Verley reaction involves reduction of a ketone by treatment with an excess of aluminum triisopropoxide, [(CH3)2CHO]3Al. The mechanism of the process is closely related to the Cannizzaro reaction in that a hydride ion acts as a leaving group. Propose a mechanism.

The reaction shows cyclohexanone with aluminum triisopropoxide, then hydronium ion to yield two products: cyclohexanol and acetone (three-carbon).
Problem 19-45

Propose a mechanism to account for the formation of 3,5-dimethylpyrazole from hydrazine and 2,4-pentanedione. What has happened to each carbonyl carbon in going from starting material to product.

The reaction shows 2,4-pentanedione with hydrazine and a proton to form 3,5-dimethylpyrazole.
Problem 19-46

In light of your answer to Problem 19-45, propose a mechanism for the formation of 3,5-dimethylisoxazole from hydroxylamine and 2,4-pentanedione.

The structure of 3,5-dimethylisoxazole shows a cyclopentadiene ring with adjacent oxygen and nitrogen atoms. A methyl group is attached to the carbons adjacent to oxygen and nitrogen.
Problem 19-47

Trans alkenes are converted into their cis isomers and vice versa on epoxidation followed by treatment of the epoxide with triphenylphosphine. Propose a mechanism for the reaction.

Trans alkene reacts with R C O 3 H to form trans epoxide, which reacts with P Ph 3 to form cis alkene and Ph 3 P double bond O.
Problem 19-48

Treatment of an α,β-unsaturated ketone with basic aqueous hydrogen peroxide yields an epoxy ketone. The reaction is specific to unsaturated ketones; isolated alkene double bonds do not react. Propose a mechanism.

The reaction shows 2-cyclohexenone with hydrogen peroxide, sodium hydroxide, and water to yield an epoxy ketone, where the cyclohexanone ring is fused with oxirane at the second and third carbons.
Problem 19-49

One of the biological pathways by which an amine is converted to a ketone involves two steps: (1) oxidation of the amine by NAD+ to give an imine and (2) hydrolysis of the imine to give a ketone plus ammonia. Glutamate, for instance, is converted by this process into α-ketoglutarate. Show the structure of the imine intermediate, and propose mechanisms for both steps.

The reaction shows the conversion of glutamate with N A D plus to form an imine, which yields alpha-ketoglutarate and ammonia on reaction with water.
Problem 19-50

Primary amines react with esters to yield amides: RCO2R′ + R″NH2 → RCONHR″ + R′OH. Propose a mechanism for the following reaction of an α,β-unsaturated ester.

The reaction shows an ester with methylamine to form amide and methanol. The amide structure shows a cyclopentanone ring with nitrogen adjacent to the carbonyl, bearing a methyl group.
Problem 19-51

When crystals of pure α-glucose are dissolved in water, isomerization occurs slowly to produce β-glucose. Propose a mechanism for the isomerization.

The reaction shows the interconversion of alpha-glucose and beta-glucose through a reversible reaction. The position of the hemiacetal hydroxyl group is axial in alpha and equatorial in beta.
Problem 19-52

The Wharton reaction converts an epoxy ketone to an allylic alcohol by reaction with hydrazine. Review the Wolff–Kishner reaction in Section 19.9 and then propose a mechanism.

Wharton reaction shows the conversion of an epoxy ketone to an allylic alcohol and N 2, by reacting with hydrazine using a catalyst containing sodium acetate, and acetic acid.

Naming Aldehydes and Ketones

Problem 19-53
Draw structures corresponding to the following names:
(a)
Bromoacetone
(b)
(S)-2-Hydroxypropanal
(c)
2-Methyl-3-heptanone
(d)
(2S,3R)-2,3,4-Trihydroxybutanal
(e)
2,2,4,4-Tetramethyl-3-pentanone
(f)
4-Methyl-3-penten-2-one
(g)
Butanedial
(h)
3-Phenyl-2-propenal
(i)
6,6-Dimethyl-2,4-cyclohexadienone
(j)
p-Nitroacetophenone
Problem 19-54
Draw and name the seven aldehydes and ketones with the formula C5H10O. Which are chiral?
Problem 19-55
Give IUPAC names for the following compounds:
(a)
The structure shows cyclohexene ring with a carbonyl on the first carbon. A double bond is shared between the third and fourth carbons with a methyl group on the third.
(b)
The structure shows a central carbon bonded with hydrogen (wedge-bonded), a hydroxyl group (wedge-bonded), a hydroxymethyl group (dashed-bonded), and C H O group (dashed-bonded).
(c)
The structure shows cyclohexanone ring with a methyl group at the second carbon, a tert-butyl group at the fifth carbon, and a double bond between second and third.
(d)
The structure shows a five-carbon chain with, couting from the left, a methyl group on the second and a carbonyl on the third carbon.
(e)
The structure shows a four-carbon chain with, counting from the left, a hydroxyl group on the second carbon, and the fourth carbon part of a C H O group.
(f)
The structure shows a benzene ring with two C H O groups on the first and fourth carbon atoms.
Problem 19-56
Draw structures of compounds that fit the following descriptions:
(a)
An α,β-unsaturated ketone, C6H8O
(b)
An α-diketone
(c)
An aromatic ketone, C9H10O
(d)
A diene aldehyde, C7H8O

Reactions of Aldehydes and Ketones

Problem 19-57
Predict the products of the reaction of (1) phenylacetaldehyde and (2) acetophenone with the following reagents:
(a)
NaBH4, then H3O+
(b)
Dess–Martin reagent
(c)
NH2OH, HCl catalyst
(d)
CH3MgBr, then H3O+
(e)
2 CH3OH, HCl catalyst
(f)
H2NNH2, KOH
(g)
(C6H5)3P = CH2
(h)
HCN, KCN
Problem 19-58
Show how you might use a Wittig reaction to prepare the following alkenes. Identify the alkyl halide and the carbonyl components.
(a)
The structure of (1E,3E)-1,4-diphenylbuta-1,3-diene.
(b)
A central carbon with phenyl substituent and a double bond to C 1 of a cyclohexane ring.
Problem 19-59
How would you use a Grignard reaction on an aldehyde or ketone to synthesize the following compounds?
(a)
2-Pentanol
(b)
1-Butanol
(c)
1-Phenylcyclohexanol
(d)
Diphenylmethanol
Problem 19-60
How might you carry out the following selective transformations? One of the two schemes requires a protection step. (Recall from Section 19.4 that aldehydes are more reactive than ketones toward nucleophilic addition.)
(a)
The reaction shows the conversion of 5-oxohexanal to 6-hydroxyhexan-2-one.
(b)
The reaction shows the conversion of 5-oxohexanal to 5-hydroxyhexanal.
Problem 19-61
How would you prepare the following substances from 2-cyclohexenone? More than one step may be needed.
(a)
The structure of cyclohexene.
(b)
The structure of 3-phenylcyclohexanone shows a phenyl group attached to the third carbon of the cyclohexanone ring.
(c)
The structure of 3-oxocyclohexanecarboxylic acid shows a carboxylic acid group attached to the C 1 of a cyclohexane with an oxo group at C 3.
(d)
The structure of methylcyclohexane shows a methyl group attached to a cyclohexane ring.
Problem 19-62
How would you synthesize the following substances from benzaldehyde and any other reagents needed?
(a)
The structure of 2-phenylacetaldehyde shows a benzene ring with a C H 2 C H O group as a side chain.
(b)
The structure shows a pyrrolidine ring attached through the nitrogen atom to a styrene.
(c)
A central carbon with phenyl substituent and a double bond to C 1 of a cyclopentane ring.
Problem 19-63

Carvone is the major constituent of spearmint oil. What products would you expect from reaction of carvone with the following reagents?

The carvone structure shows a cyclohexanone ring with a methyl group at the second carbon and an isopropyl on the fifth. A double bond connects the second and third carbon.
(a)
(CH3)2CuLi+, then H3O+
(b)
LiAlH4, then H3O+
(c)
CH3NH2
(d)
C6H5MgBr, then H3O+
(e)
H2/Pd
(f)
HOCH2CH2OH, HCl
(g)
(C6H5)3 P + C HCH3
Problem 19-64
How would you synthesize the following compounds from cyclohexanone?
(a)
1-Methylcyclohexene
(b)
2-Phenylcyclohexanone
(c)
cis-1,2-Cyclohexanediol
(d)
1-Cyclohexylcyclohexanol

Spectroscopy

Problem 19-65
At what position would you expect to observe IR absorptions for the following molecules?
(a)
The structure of 4-androstene-3, 17-dione shows three fused cyclohexane rings and one cyclopentane ring with two methyl groups at junctions. Two ketone groups are located on third and seventeenth carbon.
(b)
The structure of 1-indanone shows a benzene ring fused to C 2 and C 3 of a cyclopentanone ring.
(c)
The structure of 1-indanone shows a benzene ring fused to C 3 and C 4 of a cyclopentanone ring.
(d)
The structure shows a benzaldehyde with a side chain C H 2 C O C H 3 group at the para position of the ring.
Problem 19-66
Acid-catalyzed dehydration of 3-hydroxy-3-phenylcyclohexanone leads to an unsaturated ketone. What possible structures are there for the product? At what position in the IR spectrum would you expect each to absorb? If the actual product has an absorption at 1670 cm–1, what is its structure?
Problem 19-67

Choose the structure that best fits the IR spectrum shown.

The infrared spectrum of an unknown compound shows peaks at specific wavenumbers, including strong peaks at around 3100, 1727, and 1000 centimeters inverse.
(a)
The structure of trans-undec-2-enal shows an eleven-carbon chain with a trans double bond between the second and third carbon and an aldehyde at C 1.
(b)
The structure of undec-10-enal shows an eleven-carbon chain with a double between the tenth and eleventh carbon and an aldehyde at C 1.
(c)
The structure of cis-undec-2-enal shows an eleven-carbon chain with a cis double bond between the second and third carbon and an aldehyde at C 1.
(d)
The structure of 9-methyldec-8-enal shows a ten-carbon chain with a double bond between the eighth and ninth carbons, a methyl at the ninth carbon, and an aldehyde at C 1.
Problem 19-68
Propose structures for molecules that meet the following descriptions. Assume that the kinds of carbons (1°, 2°, 3°, or 4°) have been assigned by DEPT–NMR.
(a)
C6H12O; IR: 1715 cm–1; 13C NMR: 8.0 δ (1°), 18.5 δ (1°), 33.5 δ (2°), 40.6 δ (3°), 214.0 δ (4°)
(b)
C5H10O; IR: 1730 cm–1; 13C NMR: 22.6 δ (1°), 23.6 δ (3°), 52.8 δ (2°), 202.4 δ (3°)
(c)
C6H8O; IR: 1680 cm–1; 13C NMR: 22.9 δ (2°), 25.8 δ (2°), 38.2 δ (2°), 129.8 δ (3°), 150.6 δ (3°), 198.7 δ (4°)
Problem 19-69

Compound A, C8H10O2, has an intense IR absorption at 1750 cm–1 and gives the 13C NMR spectrum shown. Propose a structure for A.

The C-13 spectrum shows peaks at shifts of 0 (T M S), 38, 42, and 219, measured in parts per million.
Problem 19-70
Propose structures for ketones or aldehydes that have the following 1H NMR spectra:
(a)

C4H7ClO

IR: 1715 cm–1

The proton spectrum show peaks at shifts at 0 (T M S) 1.62 (doublet), 2.33 (singlet), and 4.32 (quartet) with relative areas 3.00, 3.00, and 1.00 respectively.
(b)

C7H14O

IR: 1710 cm–1

The proton spectrum show peaks at shifts of 0 (T M S), 1.02, 2.12, and 2.33 (all singlets) with relative areas 4.50, 1.50, and 1.00 respectively.

General Problems

Problem 19-71

When 4-hydroxybutanal is treated with methanol in the presence of an acid catalyst, 2-methoxytetrahydrofuran is formed. Explain.

4-Hydroxybutanal reacts with methanol and hydrogen chloride to yield 2-methoxytetrahydrofuran. A methoxy group is attached to the C 2 position of tetrahydrofuran ring.
Problem 19-72
The SN2 reaction of (dibromomethyl)benzene, C6H5CHBr2, with NaOH yields benzaldehyde rather than (dihydroxymethyl)benzene, C6H5CH(OH)2. Explain.
Problem 19-73
Reaction of 2-butanone with HCN yields a chiral product. What stereochemistry does the product have? Is it optically active?
Problem 19-74

The amino acid methionine is biosynthesized by a multistep route that includes reaction of an imine of pyridoxal phosphate (PLP) to give an unsaturated imine, which then reacts with cysteine. What kinds of reactions are occurring in the two steps?

O-succinylhomoserine- P L P imine undergoes a reaction to form an unsaturated imine which further reacts with cysteine to form the final product.
Problem 19-75
Each of the following reaction schemes has one or more flaws. What is wrong in each case? How would you correct each scheme?
(a)
3-oxo-bicyclo[4.4.0]dec-2-ene reacts with methylmagnesium bromide, then hydronium to form 1-methyl-3-oxobicylo[4.4.0]decane, which reacts with lithium aluminum hydride, then hydronium to form 1-methylbicyclo[4.4.0]decane.
(b)
3-phenylprop-2-en-1-ol reacts with chromium trioxide and hydronium ion to form 3-phenylprop-2-enal. This reacts with hydrogen ions and methanol to form 1,1-dimethoxy-3-phenylprop-2-ene.
(c)
Acetone reacts with hydrogen cyanide, potassium cyanide, and ethanol to form 2-cyanopropan-2-ol. This reacts with hydronium to form 1-amino-2-methylpropan-2-ol.
Problem 19-76

6-Methyl-5-hepten-2-one is a constituent of lemongrass oil. How could you synthesize this substance from methyl 4-oxopentanoate?

Structure of methyl 4-oxopentanoate, a five-carbon methyl ester with a ketone at C 4.
Problem 19-77

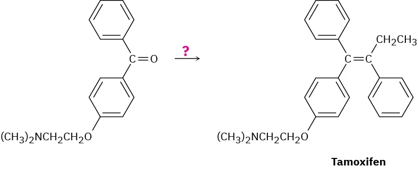
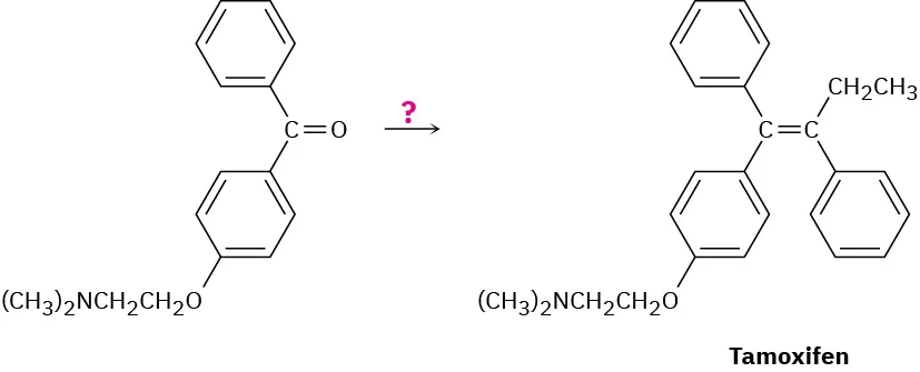
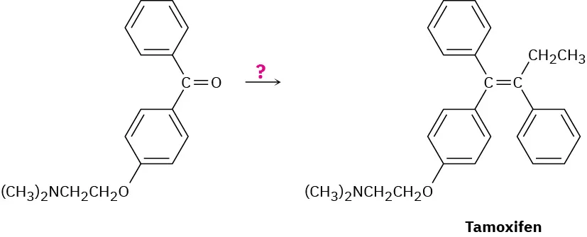
Tamoxifen is a drug used in the treatment of breast cancer. How would you prepare tamoxifen from benzene, the following ketone, and any other reagents needed?

Ketone transforms to tamoxifen, replacing the carbonyl oxygen of ketone with a carbon linked to ethyl and benzene in tamoxifen. The unknown reagent is depicted as a question mark.
Problem 19-78
Compound A, MW = 86, shows an IR absorption at 1730 cm–1 and a very simple 1H NMR spectrum with peaks at 9.7 δ (1 H, singlet) and 1.2 δ (9 H, singlet). Propose a structure for A.
Problem 19-79
Compound B is isomeric with A (Problem 19-78) and shows an IR peak at 1715 cm–1. The 1H NMR spectrum of B has peaks at 2.4 δ (1 H, septet, J = 7 Hz), 2.1 δ (3 H, singlet), and 1.2 δ (6 H, doublet, J = 7 Hz). What is the structure of B?
Problem 19-80

The 1H NMR spectrum shown is that of a compound with the formula C9H10O. How many double bonds and/or rings does this compound contain? If the unknown compound has an IR absorption at 1690 cm–1, what is a likely structure?

Proton spectrum shows shifts of 0 (T M S), 1.20 (triplet), 2.97 (quartet, 7.39 and 7.56 (multiplet), and 7.97 (doublet). Relative areas are 3.00, 2.00, 2.00, 1.00, and 2.00 respectively.
Problem 19-81

The 1H NMR spectrum shown is that of a compound isomeric with the one in Problem 19-80. This isomer has an IR absorption at 1730 cm–1. Propose a structure. [Note: Aldehyde protons (CHO) often show low coupling constants to adjacent hydrogens, so the splitting of aldehyde signals is not always apparent.]

Proton spectrum shows shifts of 0 (T M S), 2.75 (triplet), 2.95 (triplet), 7.23 and 7.31 (multiplet), and 9.82 (singlet). Relative areas are 2.00, 2.00, 3.00, 2.00, and 1.00 respectively.
Problem 19-82
Propose structures for ketones or aldehydes that have the following 1H NMR spectra:
(a)

C9H10O2: IR: 1695 cm–1

Proton spectrum shows shifts of 0 (T M S), 1.44 (triplet), 4.08 (quartet), 6.98 (doublet), 7.81 (doublet), and 9.87 (singlet). Relative areas are 3.00, 2.00, 2.00, 2.00, and 1.00 respectively.
(b)

C4H6O: IR: 1690 cm–1

Proton spectrum shows shifts of 0 (T M S), 1.86 (singlet), 6.00 (singlet), 6.31 (singlet), and 9.57 (singlet). Relative areas are 3.00, 1.00, 1.00, and 1.00 respectively.
Problem 19-83
Propose structures for ketones or aldehydes that have the following 1H NMR spectra.
(a)

C10H12O: IR: 1710 cm–1

Proton spectrum shows shifts of 0 (T M S), 1.01 (triplet), 2.47 (quartet), 3.66 (singlet), 7.28 (multiplet). Relative areas are 1.50, 1.00, 1.00, and 2.50 respectively.
(b)

C6H12O3: IR: 1715 cm–1

Proton spectrum shows shifts of 0 (T M S), 2.18 (singlet), 2.74 (doublet), 3.37 (singlet), and 4.79 (triplet). Relative areas are 3.00, 2.00, 6.00, and 1.00 respectively.
Problem 19-84

When glucose (Problem 19-51) is treated with NaBH4, reaction occurs to yield sorbitol, a polyalcohol commonly used as a food additive. Show how this reduction occurs.

Alpha-glucose reacts with sodium borohydride and water to produce sorbitol, a six-carbon chain with one hydroxyl group on each carbon.
Problem 19-85

The proton and carbon NMR spectra for each of three isomeric ketones with the formula C7H14O are shown. Assign a structure to each pair of spectra.

C-13 N M R spectrum displays peaks at 221.04, 44.79, 17.39, and 13.78, along with a C D C l 3 peak around 80. Proton spectrum with shifts around 0.95 (triplet), around 1.6 (sextet), and around 2.35 (triplet). Relative areas indicated with integral lines are 2.91, 2.00, and 1.96 respectively. Carbon spectrum B displays peaks: spiky line at 218.40, unevenly shaded peaks at 80 delta for C D C l 3, medium-length peak at 38.85, and tall peak at 18.55. Proton spectrum with shifts around 1.1 (doublet) and around 2.8 (septet). Relative areas indicated with integral lines are 6.18 and 1.04 respectively. Carbon spectrum C shows peaks at 218.31, 75 delta (C D C l 3), 55.98, set between 29 to 32.5 delta, and expanded view with peaks at 32.27, 30.88, 29.73. Proton spectrum with shifts around 1.0 (singlet), 2.15 (singlet), and 2.35 (singlet). Relative areas indicated with integral lines are 8.91, 2.98, and 1.95 respectively.
Problem 19-86

The proton NMR spectrum for a compound with formula C10H12O2 is shown below. The infrared spectrum has a strong band at 1711 cm–1. The broadband-decoupled 13C NMR spectral results are tabulated along with the DEPT-135 and DEPT-90 information. Draw the structure of this compound.

Proton spectrum with singlets at 2.1, 3.6, and 3.8, doublets at 6.8 and 7.1. Relative areas 3.01, 2.15, 3.13, 2.01, 1.91 respectively. Inset shows 13 C N M R results.
Citation/Attribution

This book may not be used in the training of large language models or otherwise be ingested into large language models or generative AI offerings without OpenStax's permission.

Want to cite, share, or modify this book? This book uses the Creative Commons Attribution-NonCommercial-ShareAlike License and you must attribute OpenStax.

Attribution information
  • If you are redistributing all or part of this book in a print format, then you must include on every physical page the following attribution:

    Access for free at https://openstax.org/books/organic-chemistry/pages/1-why-this-chapter

  • If you are redistributing all or part of this book in a digital format, then you must include on every digital page view the following attribution:

    Access for free at https://openstax.org/books/organic-chemistry/pages/1-why-this-chapter

Citation information

© Jul 9, 2025 OpenStax. Textbook content produced by OpenStax is licensed under a Creative Commons Attribution-NonCommercial-ShareAlike License . The OpenStax name, OpenStax logo, OpenStax book covers, OpenStax CNX name, and OpenStax CNX logo are not subject to the Creative Commons license and may not be reproduced without the prior and express written consent of Rice University.