Skip to ContentGo to accessibility pageKeyboard shortcuts menu
OpenStax Logo
Organic Chemistry

17.10 Reactions of Phenols

Organic Chemistry17.10 Reactions of Phenols
Search for key terms or text.

17.10 • Reactions of Phenols

Electrophilic Aromatic Substitution Reactions

The hydroxyl group is a strongly activating, ortho- and para-directing substituent in electrophilic aromatic substitution reactions (Section 16.4). As a result, phenols are highly reactive substrates for electrophilic halogenation, nitration, sulfonation, and Friedel–Crafts reactions.

Phenol reacts with an electrophile to form ortho-substituted phenol and para-substituted phenol.

Oxidation of Phenols: Quinones

Phenols don’t undergo oxidation in the same way as alcohols because they don’t have a hydrogen atom on the hydroxyl-bearing carbon. Instead, oxidation of a phenol yields a 2,5-cyclohexadiene-1,4-dione, or quinone. Many different oxidizing agents will accomplish the transformation, with Na2Cr2O7 as a common choice for simple phenols and potassium nitrosodisulfonate [(KSO3)2NO], called Fremy’s salt, is often used.

Phenol reacts with sodium dichromate to form benzoquinone with 79 percent yield. The electrostatic potential map of benzoquinone shows carbon, hydrogen and oxygen as black, gray and red spheres, respectively.

Quinones are a valuable class of compounds because of their oxidation–reduction, or redox, properties. They can be easily reduced to hydroquinones (p-dihydroxybenzenes) by reagents such as NaBH4 and SnCl2, and hydroquinones can be easily reoxidized back to quinones by Na2Cr2O7.

A reversible reaction in which benzoquinone reacts with tin(2) chloride, water, and sodium dichromate to form hydroquinone.

The redox properties of quinones are crucial to the functioning of living cells, where compounds called ubiquinones act as biochemical oxidizing agents to mediate the electron-transfer processes involved in energy production. Ubiquinones, also called coenzymes Q, are components of the cells in all aerobic organisms, from the simplest bacterium to humans. They are so named because of their ubiquitous occurrence throughout nature.

The structure of ubiquinones. One substituent has a repeating unit that occurs 1 to 10 times (n equals 1 to 10).

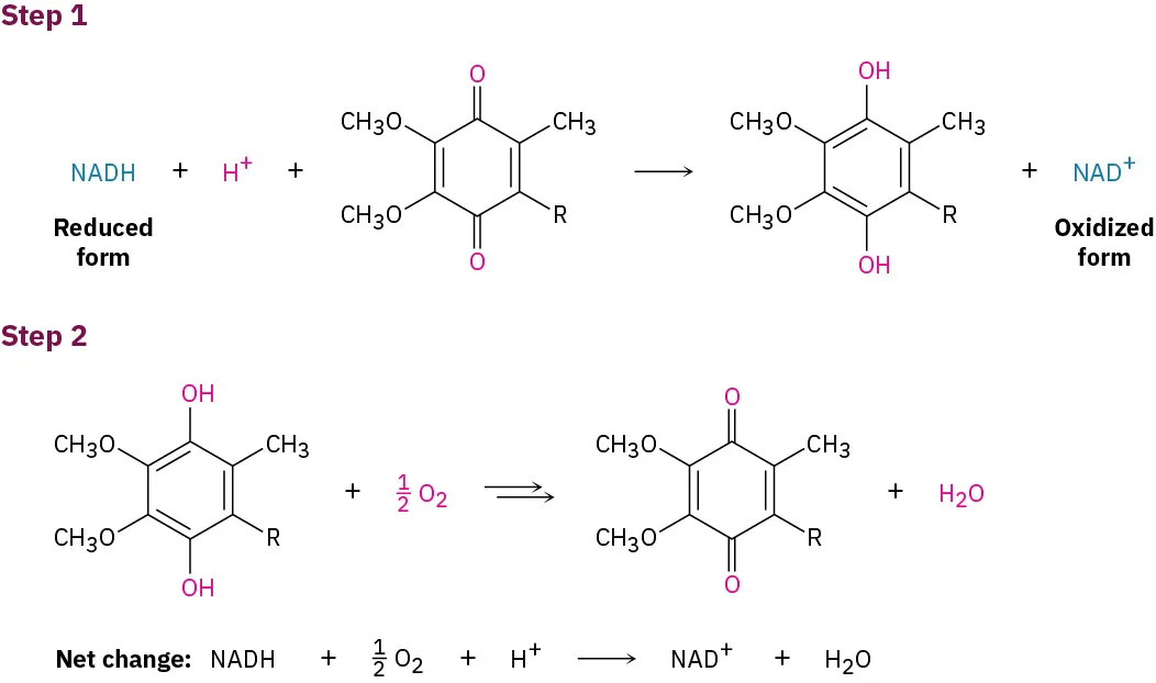
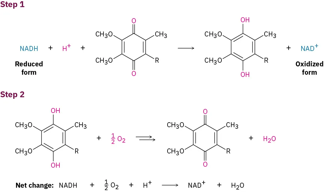
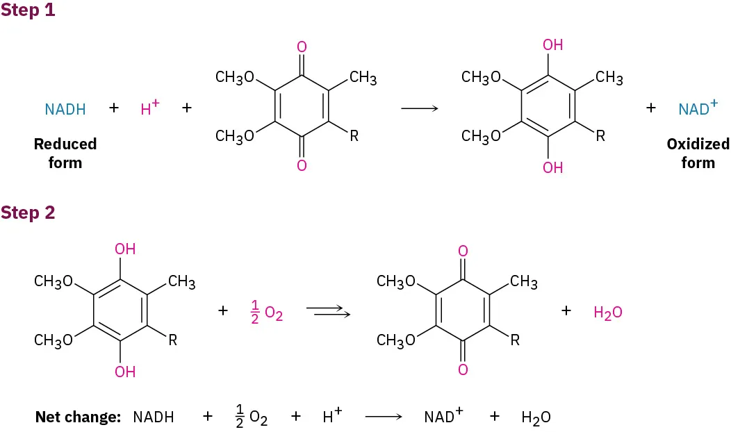
Ubiquinones function within the mitochondria of cells to mediate the respiration process in which electrons are transported from the biological reducing agent NADH to molecular oxygen. Through a complex series of steps, the ultimate result is a cycle whereby NADH is oxidized to NAD+, O2 is reduced to water, and energy is produced. Ubiquinone acts only as an intermediary and is itself unchanged.

Two steps in which ubiquinone functions as an intermediate to convert nicotinamide adenine dinucleotide hydrogen to nicotinamide adenine dinucleotide plus ion by oxidation.
Citation/Attribution

This book may not be used in the training of large language models or otherwise be ingested into large language models or generative AI offerings without OpenStax's permission.

Want to cite, share, or modify this book? This book uses the Creative Commons Attribution-NonCommercial-ShareAlike License and you must attribute OpenStax.

Attribution information
  • If you are redistributing all or part of this book in a print format, then you must include on every physical page the following attribution:

    Access for free at https://openstax.org/books/organic-chemistry/pages/1-why-this-chapter

  • If you are redistributing all or part of this book in a digital format, then you must include on every digital page view the following attribution:

    Access for free at https://openstax.org/books/organic-chemistry/pages/1-why-this-chapter

Citation information

© Jul 9, 2025 OpenStax. Textbook content produced by OpenStax is licensed under a Creative Commons Attribution-NonCommercial-ShareAlike License . The OpenStax name, OpenStax logo, OpenStax book covers, OpenStax CNX name, and OpenStax CNX logo are not subject to the Creative Commons license and may not be reproduced without the prior and express written consent of Rice University.