Skip to ContentGo to accessibility pageKeyboard shortcuts menu
OpenStax Logo
Organic Chemistry

17.11 Spectroscopy of Alcohols and Phenols

Organic Chemistry17.11 Spectroscopy of Alcohols and Phenols
Search for key terms or text.

17.11 • Spectroscopy of Alcohols and Phenols

Infrared Spectroscopy

Alcohols have a strong C–O stretching absorption near 1050 cm–1 and a characteristic O–H stretching absorption at 3300 to 3600 cm–1. The exact position of the O–H stretch depends on the extent of hydrogen-bonding in the molecule. Unassociated alcohols show a fairly sharp absorption near 3600 cm–1, whereas hydrogen-bonded alcohols show a broader absorption in the 3300 to 3400 cm–1 range. The hydrogen-bonded hydroxyl absorption appears at 3350 cm–1 in the IR spectrum of cyclohexanol (Figure 17.12).

I R spectrum of cyclohexanol. Sharp peak just below 1100 is labeled C O stretch, broad peak around 3400 labeled O H stretch. Other significant peaks just below 3000 wavenumbers.
Figure 17.12 IR spectrum of cyclohexanol. Characteristic O–H and C–O stretching absorptions are indicated.

Phenols also show a characteristic broad IR absorption at 3500 cm–1 due to the –OH group, as well as the usual 1500 and 1600 cm–1 aromatic bands (Figure 17.13). In phenol itself, monosubstituted aromatic-ring peaks are visible at 690 and 760 cm–1.

I R spectrum of phenol. Sharp peaks around 1500 and 1600 are associated with benzene ring, broad peak around 3400 wavenumbers labeled O H.
Figure 17.13 IR spectrum of phenol.
Problem 17-18

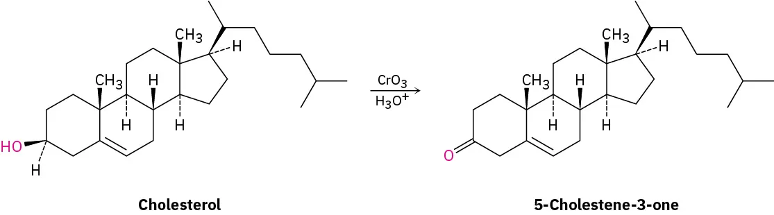
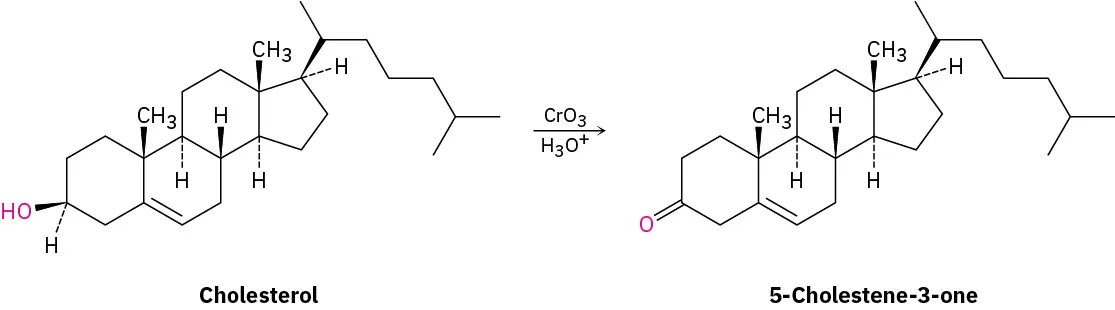
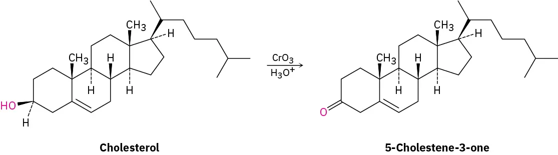
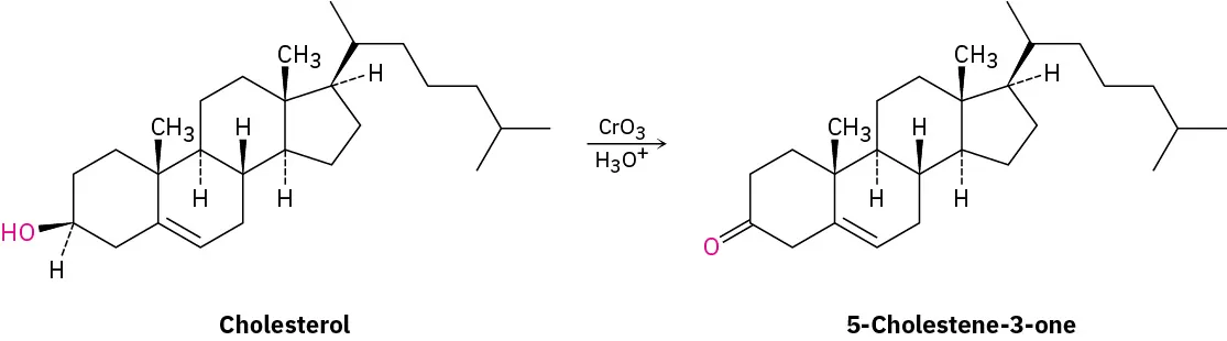
Assume that you need to prepare 5-cholesten-3-one from cholesterol. How could you use IR spectroscopy to tell whether the reaction was successful? What differences would you look for in the IR spectra of starting material and product?

Cholesterol reacts with chromium trioxide and hydronium ion to form 5-cholestene-3-one.

Nuclear Magnetic Resonance Spectroscopy

Carbon atoms bonded to electron-withdrawing –OH groups are deshielded and absorb at a lower field in the 13C NMR spectrum than do typical alkane carbons. Most alcohol carbon absorptions fall in the range 50 to 80 δ, as shown in the following drawing for cyclohexanol:

The structure of cyclohexanol with shifts for each carbon (starting from C 1 and proceeding clockwise): 69.5, 35.5, 24.4, 25.9.

Alcohols also show characteristic absorptions in the 1H NMR spectrum. Hydrogens on the oxygen-bearing carbon atom are deshielded by the electron-withdrawing effect of the nearby oxygen, and their absorptions occur in the range 3.4 to 4.5 δ. Spin–spin splitting, however, is not usually observed between the O–H proton of an alcohol and the neighboring protons on carbon. Most samples contain small amounts of acidic impurities, which catalyze an exchange of the O–H proton on a timescale so rapid that the effect of spin–spin splitting is removed. It’s often possible to take advantage of this rapid proton exchange to identify the position of the O–H absorption. If a small amount of deuterated water, D2O, is added to an NMR sample tube, the O–H proton is rapidly exchanged for deuterium and the hydroxyl absorption disappears from the spectrum.

A reversible reaction in which an alcohol reacts with deuterium oxide; hydroxide hydrogen is replaced with deuterium.

Typical spin–spin splitting is observed between protons on the oxygen-bearing carbon and other neighbors. For example, the signal of the two –CH2O– protons in 1-propanol is split into a triplet by coupling with the neighboring –CH2– protons (Figure 17.14).

H N M R spectrum with signals at 0.93 (triplet, C 3 hydrogens), 1.56 (sextet, C 2 hydrogens), 3.17 (singlet, hydroxyl hydrogen), and 3.58 (triplet, C 1 hydrogens).
Figure 17.14 1H NMR spectrum of 1-propanol. The protons on the oxygen-bearing carbon are split into a triplet at 3.58 δ.

Phenols, like all aromatic compounds, show 1H NMR absorptions near 7 to 8 δ, the expected position for aromatic-ring protons (Section 15.7). In addition, phenol O–H protons absorb at 3 to 8 δ. In neither case are these absorptions uniquely diagnostic for phenols, since other kinds of protons absorb in the same range.

Problem 17-19
When the 1H NMR spectrum of an alcohol is run in dimethyl sulfoxide (DMSO) solvent rather than in chloroform, exchange of the O–H proton is slow and spin–spin splitting is seen between the O–H proton and C–H protons on the adjacent carbon. What spin multiplicities would you expect for the hydroxyl protons in the following alcohols?
(a)
2-Methyl-2-propanol
(b)
Cyclohexanol
(c)
Ethanol
(d)
2-Propanol
(e)
Cholesterol
(f)
1-Methylcyclohexanol

Mass Spectrometry

As noted in Section 12.3, alcohols undergo fragmentation in the mass spectrometer by two characteristic pathways, alpha cleavage and dehydration. In the alpha-cleavage pathway, a C–C bond nearest the hydroxyl group is broken, yielding a neutral radical plus a resonance-stabilized, oxygen-containing cation.

A cation radical undergoes alpha cleavage to form R C H 2 radical and two reversible structures in parentheses.

In the dehydration pathway, water is eliminated, yielding an alkene radical cation.

Cation radical undergoes dehydration to form water and alkene cation radical.

Both fragmentation modes are apparent in the mass spectrum of 1-butanol (Figure 17.15). The peak at m/z = 56 is due to loss of water from the molecular ion, and the peak at m/z = 31 is due to an alpha cleavage.

The mass spectrum of 1-butanol. Molecular ion at 74, base at m over z 31 (C H 2 O H plus), another large peak at 56 (dehydration).
Figure 17.15 Mass spectrum of 1-butanol (M+ = 74). Dehydration gives a peak at m/z = 56, and fragmentation by alpha cleavage gives a peak at m/z = 31.
Citation/Attribution

This book may not be used in the training of large language models or otherwise be ingested into large language models or generative AI offerings without OpenStax's permission.

Want to cite, share, or modify this book? This book uses the Creative Commons Attribution-NonCommercial-ShareAlike License and you must attribute OpenStax.

Attribution information
  • If you are redistributing all or part of this book in a print format, then you must include on every physical page the following attribution:

    Access for free at https://openstax.org/books/organic-chemistry/pages/1-why-this-chapter

  • If you are redistributing all or part of this book in a digital format, then you must include on every digital page view the following attribution:

    Access for free at https://openstax.org/books/organic-chemistry/pages/1-why-this-chapter

Citation information

© Jul 9, 2025 OpenStax. Textbook content produced by OpenStax is licensed under a Creative Commons Attribution-NonCommercial-ShareAlike License . The OpenStax name, OpenStax logo, OpenStax book covers, OpenStax CNX name, and OpenStax CNX logo are not subject to the Creative Commons license and may not be reproduced without the prior and express written consent of Rice University.