Skip to ContentGo to accessibility pageKeyboard shortcuts menu
OpenStax Logo
Intermediate Algebra

8.5 Divide Radical Expressions

Intermediate Algebra8.5 Divide Radical Expressions
Search for key terms or text.

Learning Objectives

By the end of this section, you will be able to:
  • Divide radical expressions
  • Rationalize a one term denominator
  • Rationalize a two term denominator

Be Prepared 8.5

Before you get started, take this readiness quiz.

  1. Simplify: 3048.3048.
    If you missed this problem, review Example 1.24.
  2. Simplify: x2·x4.x2·x4.
    If you missed this problem, review Example 5.12.
  3. Multiply: (7+3x)(73x).(7+3x)(73x).
    If you missed this problem, review Example 5.32.

Divide Radical Expressions

We have used the Quotient Property of Radical Expressions to simplify roots of fractions. We will need to use this property ‘in reverse’ to simplify a fraction with radicals.

We give the Quotient Property of Radical Expressions again for easy reference. Remember, we assume all variables are greater than or equal to zero so that no absolute value bars re needed.

Quotient Property of Radical Expressions

If anan and bnbn are real numbers, b0,b0, and for any integer n2n2 then,

abn=anbnandanbn=abnabn=anbnandanbn=abn

We will use the Quotient Property of Radical Expressions when the fraction we start with is the quotient of two radicals, and neither radicand is a perfect power of the index. When we write the fraction in a single radical, we may find common factors in the numerator and denominator.

Example 8.47

Simplify: 72x3162x72x3162x 32x234x53.32x234x53.

Try It 8.93

Simplify: 50s3128s50s3128s 56a37a43.56a37a43.

Try It 8.94

Simplify: 75q5108q75q5108q 72b239b53.72b239b53.

Example 8.48

Simplify: 147ab83a3b4147ab83a3b4 −250mn−232m−2n43.−250mn−232m−2n43.

Try It 8.95

Simplify: 162x10y22x6y6162x10y22x6y6 −128x2y−132x−1y23.−128x2y−132x−1y23.

Try It 8.96

Simplify: 300m3n73m5n300m3n73m5n −81pq−133p−2q53.−81pq−133p−2q53.

Example 8.49

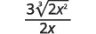
Simplify: 54x5y33x2y.54x5y33x2y.

Try It 8.97

Simplify: 64x4y52xy3.64x4y52xy3.

Try It 8.98

Simplify: 96a5b42a3b.96a5b42a3b.

Rationalize a One Term Denominator

Before the calculator became a tool of everyday life, approximating the value of a fraction with a radical in the denominator was a very cumbersome process!

For this reason, a process called rationalizing the denominator was developed. A fraction with a radical in the denominator is converted to an equivalent fraction whose denominator is an integer. Square roots of numbers that are not perfect squares are irrational numbers. When we rationalize the denominator, we write an equivalent fraction with a rational number in the denominator.

This process is still used today, and is useful in other areas of mathematics, too.

Rationalizing the Denominator

Rationalizing the denominator is the process of converting a fraction with a radical in the denominator to an equivalent fraction whose denominator is an integer.

Even though we have calculators available nearly everywhere, a fraction with a radical in the denominator still must be rationalized. It is not considered simplified if the denominator contains a radical.

Similarly, a radical expression is not considered simplified if the radicand contains a fraction.

Simplified Radical Expressions

A radical expression is considered simplified if there are

  • no factors in the radicand have perfect powers of the index
  • no fractions in the radicand
  • no radicals in the denominator of a fraction

To rationalize a denominator with a square root, we use the property that (a)2=a.(a)2=a. If we square an irrational square root, we get a rational number.

We will use this property to rationalize the denominator in the next example.

Example 8.50

Simplify: 4343 320320 36x.36x.

Try It 8.99

Simplify: 5353 332332 22x.22x.

Try It 8.100

Simplify: 6565 718718 55x.55x.

When we rationalized a square root, we multiplied the numerator and denominator by a square root that would give us a perfect square under the radical in the denominator. When we took the square root, the denominator no longer had a radical.

We will follow a similar process to rationalize higher roots. To rationalize a denominator with a higher index radical, we multiply the numerator and denominator by a radical that would give us a radicand that is a perfect power of the index. When we simplify the new radical, the denominator will no longer have a radical.

For example,

Two examples of rationalizing denominators are shown. The first example is 1 divided by cube root 2. A note is made that the radicand in the denominator is 1 power of 2 and that we need 2 more to get a perfect cube. We multiply numerator and denominator by the cube root of the quantity 2 squared. The result is cube root 4 divided by cube root of quantity 2 cubed. This simplifies to cube root 4 divided by 2. The second example is 1 divided by fourth root 5. A note is made that the radicand in the denominator is 1 power of 5 and that we need 3 more to get a perfect fourth. We multiply numerator and denominator by the fourth root of the quantity 5 cubed. The result is fourth root of 125 divided by fourth root of quantity 5 to the fourth. This simplifies to fourth root 125 divided by 5.

We will use this technique in the next examples.

Example 8.51

Simplify 163163 72437243 34x3.34x3.

Try It 8.101

Simplify: 173173 51235123 59y3.59y3.

Try It 8.102

Simplify: 123123 32033203 225n3.225n3.

Example 8.52

Simplify: 124124 56445644 28x4.28x4.

Try It 8.103

Simplify: 134134 36443644 3125x4.3125x4.

Try It 8.104

Simplify: 154154 7128471284 44x444x4

Rationalize a Two Term Denominator

When the denominator of a fraction is a sum or difference with square roots, we use the Product of Conjugates Pattern to rationalize the denominator.

(ab)(a+b)(25)(2+5)a2b222(5)245−1(ab)(a+b)(25)(2+5)a2b222(5)245−1

When we multiply a binomial that includes a square root by its conjugate, the product has no square roots.

Example 8.53

Simplify: 523.523.

Try It 8.105

Simplify: 315.315.

Try It 8.106

Simplify: 246.246.

Notice we did not distribute the 5 in the answer of the last example. By leaving the result factored we can see if there are any factors that may be common to both the numerator and denominator.

Example 8.54

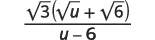
Simplify: 3u6.3u6.

Try It 8.107

Simplify: 5x+2.5x+2.

Try It 8.108

Simplify: 10y3.10y3.

Be careful of the signs when multiplying. The numerator and denominator look very similar when you multiply by the conjugate.

Example 8.55

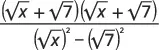
Simplify: x+7x7.x+7x7.

Try It 8.109

Simplify: p+2p2.p+2p2.

Try It 8.110

Simplify: q10q+10q10q+10

Section 8.5 Exercises

Practice Makes Perfect

Divide Square Roots

In the following exercises, simplify.

245.

1287212872 12835431283543

246.

48754875 813243813243

247.

200m598m200m598m 54y232y5354y232y53

248.

108n7243n3108n7243n3 54y316y4354y316y43

249.

75r3108r775r3108r7 24x7381x4324x7381x43

250.

196q484q5196q484q5 16m4354m316m4354m3

251.

108p5q23p3q6108p5q23p3q6 −16a4b−232a−2b3−16a4b−232a−2b3

252.

98rs102r3s498rs102r3s4 −375y4z−233y−2z43−375y4z−233y−2z43

253.

320mn−545m−7n3320mn−545m−7n3 16x4y−23−54x−2y4316x4y−23−54x−2y43

254.

810c−3d71000cd−1810c−3d71000cd−1 24a7b1381a2b2324a7b1381a2b23

255.

56 x 5 y 4 2 x y 3 56 x 5 y 4 2 x y 3

256.

72 a 3 b 6 3 a b 3 72 a 3 b 6 3 a b 3

257.

48 a 3 b 6 3 3 a 1 b 3 3 48 a 3 b 6 3 3 a 1 b 3 3

258.

162 x 3 y 6 3 2 x 3 y 2 3 162 x 3 y 6 3 2 x 3 y 2 3

Rationalize a One Term Denominator

In the following exercises, rationalize the denominator.

259.

106106 427427 105x105x

260.

8383 740740 82y82y

261.

6767 845845 123p123p

262.

4545 27802780 186q186q

263.

153153 52435243 436a3436a3

264.

133133 53235323 749b3749b3

265.

11131113 75437543 33x2333x23

266.

11331133 3128331283 36y2336y23

267.

174174 53245324 44x2444x24

268.

144144 93249324 69x3469x34

269.

194194 251284251284 627a4627a4

270.

184184 271284271284 1664b241664b24

Rationalize a Two Term Denominator

In the following exercises, simplify.

271.

8 1 5 8 1 5

272.

7 2 6 7 2 6

273.

6 3 7 6 3 7

274.

5 4 11 5 4 11

275.

3 m 5 3 m 5

276.

5 n 7 5 n 7

277.

2 x 6 2 x 6

278.

7 y + 3 7 y + 3

279.

r + 5 r 5 r + 5 r 5

280.

s 6 s + 6 s 6 s + 6

281.

x + 8 x 8 x + 8 x 8

282.

m 3 m + 3 m 3 m + 3

Writing Exercises

283.


Simplify 273273 and explain all your steps.
Simplify 275275 and explain all your steps.
Why are the two methods of simplifying square roots different?

284.

Explain what is meant by the word rationalize in the phrase, “rationalize a denominator.”

285.

Explain why multiplying 2x32x3 by its conjugate results in an expression with no radicals.

286.

Explain why multiplying 7x37x3 by x3x3x3x3 does not rationalize the denominator.

Self Check

After completing the exercises, use this checklist to evaluate your mastery of the objectives of this section.

This table has 4 rows and 4 columns. The first row is a header row and it labels each column. The first column header is “I can…”, the second is “Confidently”, the third is “With some help”, and the fourth is “No, I don’t get it”. Under the first column are the phrases “divide radical expressions.”, “rationalize a one term denominator”, and “rationalize a two term denominator”. The other columns are left blank so that the learner may indicate their mastery level for each topic.

After looking at the checklist, do you think you are well-prepared for the next section? Why or why not?

Citation/Attribution

This book may not be used in the training of large language models or otherwise be ingested into large language models or generative AI offerings without OpenStax's permission.

Want to cite, share, or modify this book? This book uses the Creative Commons Attribution License and you must attribute OpenStax.

Attribution information
  • If you are redistributing all or part of this book in a print format, then you must include on every physical page the following attribution:

    Access for free at https://openstax.org/books/intermediate-algebra/pages/1-introduction

  • If you are redistributing all or part of this book in a digital format, then you must include on every digital page view the following attribution:

    Access for free at https://openstax.org/books/intermediate-algebra/pages/1-introduction

Citation information

© Feb 9, 2022 OpenStax. Textbook content produced by OpenStax is licensed under a Creative Commons Attribution License . The OpenStax name, OpenStax logo, OpenStax book covers, OpenStax CNX name, and OpenStax CNX logo are not subject to the Creative Commons license and may not be reproduced without the prior and express written consent of Rice University.