Skip to ContentGo to accessibility pageKeyboard shortcuts menu
OpenStax Logo
Intermediate Algebra

5.3 Multiply Polynomials

Intermediate Algebra5.3 Multiply Polynomials
Search for key terms or text.

Learning Objectives

By the end of this section, you will be able to:
  • Multiply monomials
  • Multiply a polynomial by a monomial
  • Multiply a binomial by a binomial
  • Multiply a polynomial by a polynomial
  • Multiply special products
  • Multiply polynomial functions

Be Prepared 5.3

Before you get started, take this readiness quiz.

  1. Distribute: 2(x+3).2(x+3).
    If you missed this problem, review Example 1.50.
  2. Simplify: 9292 (−9)2(−9)2 92.92.
    If you missed this problem, review Example 1.19.
  3. Evaluate: 2x25x+32x25x+3 for x=−2.x=−2.
    If you missed this problem, review Example 1.21.

Multiply Monomials

We are ready to perform operations on polynomials. Since monomials are algebraic expressions, we can use the properties of exponents to multiply monomials.

Example 5.25

Multiply: (3x2)(−4x3)(3x2)(−4x3) (56x3y)(12xy2).(56x3y)(12xy2).

Try It 5.49

Multiply: (5y7)(−7y4)(5y7)(−7y4) (25a4b3)(15ab3).(25a4b3)(15ab3).

Try It 5.50

Multiply: (−6b4)(−9b5)(−6b4)(−9b5) (23r5s)(12r6s7).(23r5s)(12r6s7).

Multiply a Polynomial by a Monomial

Multiplying a polynomial by a monomial is really just applying the Distributive Property.

Example 5.26

Multiply: −2y(4y2+3y5)−2y(4y2+3y5) 3x3y(x28xy+y2).3x3y(x28xy+y2).

Try It 5.51

Multiply: −3y(5y2+8y7)−3y(5y2+8y7) 4x2y2(3x25xy+3y2).4x2y2(3x25xy+3y2).

Try It 5.52

Multiply: 4x2(2x23x+5)4x2(2x23x+5) −6a3b(3a22ab+6b2).−6a3b(3a22ab+6b2).

Multiply a Binomial by a Binomial

Just like there are different ways to represent multiplication of numbers, there are several methods that can be used to multiply a binomial times a binomial. We will start by using the Distributive Property.

Example 5.27

Multiply: (y+5)(y+8)(y+5)(y+8) (4y+3)(2y5).(4y+3)(2y5).

Try It 5.53

Multiply: (x+8)(x+9)(x+8)(x+9) (3c+4)(5c2).(3c+4)(5c2).

Try It 5.54

Multiply: (5x+9)(4x+3)(5x+9)(4x+3) (5y+2)(6y3).(5y+2)(6y3).

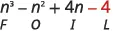
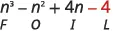
If you multiply binomials often enough you may notice a pattern. Notice that the first term in the result is the product of the first terms in each binomial. The second and third terms are the product of multiplying the two outer terms and then the two inner terms. And the last term results from multiplying the two last terms,

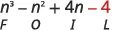
We abbreviate “First, Outer, Inner, Last” as FOIL. The letters stand for ‘First, Outer, Inner, Last’. We use this as another method of multiplying binomials. The word FOIL is easy to remember and ensures we find all four products.

Let’s multiply (x+3)(x+7)(x+3)(x+7) using both methods.

The figure shows how four terms in the product of two binomials can be remembered according to the mnemonic acronym FOIL. The example is the quantity x plus 3 in parentheses times the quantity x plus 7 in parentheses. The expression is expanded as in the previous examples by using the distributive property twice. After distributing the quantity x plus 7 in parentheses the result is x times the quantity x plus 7 in parentheses plus 3 times the quantity x plus 7 in parentheses. Then the x is distributed the x plus 7 and the 3 is distributed to the x plus 7 to get x squared plus 7 x plus 3 x plus 21. The letter F is written under the term x squared since it was the product of the first terms in the binomials. The letter O is written under the 7 x term sine it was the product of the outer terms in the binomials. The letter I is written under the 3 x term since it was the product of the inner terms in the binomials. The letter L is written under the 21 since it was the product of the last terms in the binomial. The original expression is shown again with four arrows connecting the first, outer, inner, and last terms in the binomials showing how the four terms can be determined directly from the factored form.

We summarize the steps of the FOIL method below. The FOIL method only applies to multiplying binomials, not other polynomials!

How To

Use the FOIL method to multiply two binomials.

The figure shows how to use the FOIL method to multiply two binomials. The example is the quantity a plus b in parentheses times the quantity c plus d in parentheses. The numbers a and c are labeled first and the numbers b and d are labeled last. The numbers b and c are labeled inner and the numbers a and d are labeled outer. A note on the side of the expression tells you to Say it as you multiply! FOIL First Outer Inner Last. The directions are then given in numbered steps. Step 1. Multiply the First terms. Step 2. Multiply the Outer terms. Step 3. Multiply the Inner terms. Step 4. Multiply the Last Terms. Step 5. Combine like terms when possible.

When you multiply by the FOIL method, drawing the lines will help your brain focus on the pattern and make it easier to apply.

Now we will do an example where we use the FOIL pattern to multiply two binomials.

Example 5.28

Multiply: (y7)(y+4)(y7)(y+4) (4x+3)(2x5).(4x+3)(2x5).

Try It 5.55

Multiply: (x7)(x+5)(x7)(x+5) (3x+7)(5x2).(3x+7)(5x2).

Try It 5.56

Multiply: (b3)(b+6)(b3)(b+6) (4y+5)(4y10).(4y+5)(4y10).

The final products in the last example were trinomials because we could combine the two middle terms. This is not always the case.

Example 5.29

Multiply: (n2+4)(n1)(n2+4)(n1) (3pq+5)(6pq11).(3pq+5)(6pq11).

Try It 5.57

Multiply: (x2+6)(x8)(x2+6)(x8) (2ab+5)(4ab4).(2ab+5)(4ab4).

Try It 5.58

Multiply: (y2+7)(y9)(y2+7)(y9) (2xy+3)(4xy5).(2xy+3)(4xy5).

The FOIL method is usually the quickest method for multiplying two binomials, but it only works for binomials. You can use the Distributive Property to find the product of any two polynomials. Another method that works for all polynomials is the Vertical Method. It is very much like the method you use to multiply whole numbers. Look carefully at this example of multiplying two-digit numbers.

This figure shows the vertical multiplication of 23 and 46. The number 23 is above the number 46. Below this, there is the partial product 138 over the partial product 92. The final product is at the bottom and is 1058. Text on the right side of the image says “You start by multiplying 23 by 6 to get 138. Then you multiply 23 by 4, lining up the partial product in the correct columns. Last, you add the partial products.”

Now we’ll apply this same method to multiply two binomials.

Example 5.30

Multiply using the Vertical Method: (3y1)(2y6).(3y1)(2y6).

Try It 5.59

Multiply using the Vertical Method: (5m7)(3m6).(5m7)(3m6).

Try It 5.60

Multiply using the Vertical Method: (6b5)(7b3).(6b5)(7b3).

We have now used three methods for multiplying binomials. Be sure to practice each method, and try to decide which one you prefer. The methods are listed here all together, to help you remember them.

Multiplying Two Binomials

To multiply binomials, use the:

  • Distributive Property
  • FOIL Method
  • Vertical Method

Multiply a Polynomial by a Polynomial

We have multiplied monomials by monomials, monomials by polynomials, and binomials by binomials. Now we’re ready to multiply a polynomial by a polynomial. Remember, FOIL will not work in this case, but we can use either the Distributive Property or the Vertical Method.

Example 5.31

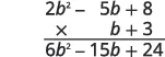
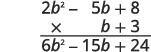
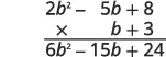
Multiply (b+3)(2b25b+8)(b+3)(2b25b+8) using the Distributive Property and the Vertical Method.

Try It 5.61

Multiply(y3)(y25y+2)(y3)(y25y+2) using the Distributive Property and the Vertical Method.

Try It 5.62

Multiply (x+4)(2x23x+5)(x+4)(2x23x+5) using the Distributive Property and The Vertical Method.

We have now seen two methods you can use to multiply a polynomial by a polynomial. After you practice each method, you’ll probably find you prefer one way over the other. We list both methods are listed here, for easy reference.

Multiplying a Polynomial by a Polynomial

To multiply a trinomial by a binomial, use the:

  • Distributive Property
  • Vertical Method

Multiply Special Products

Mathematicians like to look for patterns that will make their work easier. A good example of this is squaring binomials. While you can always get the product by writing the binomial twice and multiplying them, there is less work to do if you learn to use a pattern. Let’s start by looking at three examples and look for a pattern.

Look at these results. Do you see any patterns?

The figure shows three examples of squaring a binomial. In the first example x plus 9 is squared to get x plus 9 times x plus 9 which is x squared plus 9 x plus 9 x plus 81 which simplifies to x squared plus 18 x plus 81. Colors show that x squared comes from the square of the x in the original binomial and 81 comes from the square of the 9 in the original binomial. In the second example y minus 7 is squared to get y minus y times y minus 7 which is y squared minus 7 y minus 7 y plus 49 which simplifies to y squared minus 14 y plus 49. Colors show that y squared comes from the square of the y in the original binomial and 49 comes from the square of the negative 7 in the original binomial. In the third example 2 x plus 3 is squared to get 2 x plus 3 times 2 x plus 3 which is 4 x squared plus 6 x plus 6 x plus 9 which simplifies to 4 x squared plus 12 x plus 9. Colors show that 4 x squared comes from the square of the 2 x in the original binomial and 9 comes from the square of the 3 in the original binomial.

What about the number of terms? In each example we squared a binomial and the result was a trinomial.

(a+b)2=___+___+___(a+b)2=___+___+___

Now look at the first term in each result. Where did it come from?

The first term is the product of the first terms of each binomial. Since the binomials are identical, it is just the square of the first term!

(a+b)2=a2+___+___(a+b)2=a2+___+___

  To get the first term of the product, square the first term.

Where did the last term come from? Look at the examples and find the pattern.

The last term is the product of the last terms, which is the square of the last term.

(a+b)2=___+___+b2(a+b)2=___+___+b2

  To get the last term of the product, square the last term.

Finally, look at the middle term. Notice it came from adding the “outer” and the “inner” terms—which are both the same! So the middle term is double the product of the two terms of the binomial.

(a+b)2=___+2ab+___ (ab)2=___2ab+___(a+b)2=___+2ab+___ (ab)2=___2ab+___

  To get the middle term of the product, multiply the terms and double their product.

Putting it all together:

Binomial Squares Pattern

If a and b are real numbers,

The figure shows the result of squaring two binomials. The first example is a plus b squared equals a squared plus 2 a b plus b squared. The equation is written out again with each part labeled. The quantity a plus b squared is labeled binomial squared. The terms a squared is labeled first term squared. The term 2 a b is labeled 2 times product of terms. The term b squared is labeled last term squared. The second example is a minus b squared equals a squared minus 2 a b plus b squared. The equation is written out again with each part labeled. The quantity a minus b squared is labeled binomial squared. The terms a squared is labeled first term squared. The term negative 2 a b is labeled 2 times product of terms. The term b squared is labeled last term squared.

To square a binomial, square the first term, square the last term , double their product.

Example 5.32

Multiply: (x+5)2(x+5)2 (2x3y)2.(2x3y)2.

Try It 5.63

Multiply: (x+9)2(x+9)2 (2cd)2.(2cd)2.

Try It 5.64

Multiply: (y+11)2(y+11)2 (4x5y)2.(4x5y)2.

We just saw a pattern for squaring binomials that we can use to make multiplying some binomials easier. Similarly, there is a pattern for another product of binomials. But before we get to it, we need to introduce some vocabulary.

A pair of binomials that each have the same first term and the same last term, but one is a sum and one is a difference is called a conjugate pair and is of the form (ab),(a+b).(ab),(a+b).

Conjugate Pair

A conjugate pair is two binomials of the form

(ab),(a+b).(ab),(a+b).

The pair of binomials each have the same first term and the same last term, but one binomial is a sum and the other is a difference.

There is a nice pattern for finding the product of conjugates. You could, of course, simply FOIL to get the product, but using the pattern makes your work easier. Let’s look for the pattern by using FOIL to multiply some conjugate pairs.

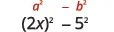
The figure shows three examples of multiplying a binomial with its conjugate. In the first example x plus 9 is multiplied with x minus 9 to get x squared minus 9 x plus 9 x minus 81 which simplifies to x squared minus 81. Colors show that x squared comes from the square of the x in the original binomial and 81 comes from the square of the 9 in the original binomial. In the second example y minus 8 is multiplied with y plus 8 to get y squared plus 8 y minus 8 y minus 64 which simplifies to y squared minus 64. Colors show that y squared comes from the square of the y in the original binomial and 64 comes from the square of the 8 in the original binomial. In the third example 2 x minus 5 is multiplied with 2 x plus 5 to get 4 x squared plus 10 x minus 10 x minus 25 which simplifies to 4 x squared minus 25. Colors show that 4 x squared comes from the square of the 2 x in the original binomial and 25 comes from the square of the 5 in the original binomial.

What do you observe about the products?

The product of the two binomials is also a binomial! Most of the products resulting from FOIL have been trinomials.

Each first term is the product of the first terms of the binomials, and since they are identical it is the square of the first term.

(a+b)(ab)=a2___(a+b)(ab)=a2___

   To get the first term, square the first term.

The last term came from multiplying the last terms, the square of the last term.

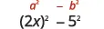
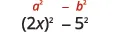
(a+b)(ab)=a2b2(a+b)(ab)=a2b2

   To get the last term, square the last term.

Why is there no middle term? Notice the two middle terms you get from FOIL combine to 0 in every case, the result of one addition and one subtraction.

The product of conjugates is always of the form a2b2.a2b2. This is called a difference of squares.

This leads to the pattern:

Product of Conjugates Pattern

If a and b are real numbers,

The figure shows the result of multiplying a binomial with its conjugate. The formula is a plus b times a minus b equals a squared minus b squared. The equation is written out again with labels. The product a plus b times a minus b is labeled conjugates. The result a squared minus b squared is labeled difference of squares.

The product is called a difference of squares.

To multiply conjugates, square the first term, square the last term, write it as a difference of squares.

Example 5.33

Multiply using the product of conjugates pattern: (2x+5)(2x5)(2x+5)(2x5) (5m9n)(5m+9n).(5m9n)(5m+9n).

Try It 5.65

Multiply: (6x+5)(6x5)(6x+5)(6x5) (4p7q)(4p+7q).(4p7q)(4p+7q).

Try It 5.66

Multiply: (2x+7)(2x7)(2x+7)(2x7) (3xy)(3x+y).(3xy)(3x+y).

We just developed special product patterns for Binomial Squares and for the Product of Conjugates. The products look similar, so it is important to recognize when it is appropriate to use each of these patterns and to notice how they differ. Look at the two patterns together and note their similarities and differences.

Comparing the Special Product Patterns

Binomial Squares Product of Conjugates
(a+b)2=a2+2ab+b2(a+b)2=a2+2ab+b2 (ab)(a+b)=a2b2(ab)(a+b)=a2b2
(ab)2=a22ab+b2(ab)2=a22ab+b2
•  Squaring a binomial •  Multiplying conjugates
•  Product is a trinomial •  Product is a binomial.
•  Inner and outer terms with FOIL are the same. •  Inner and outer terms with FOIL are opposites.
•  Middle term is double the product of the terms •  There is no middle term.

Example 5.34

Choose the appropriate pattern and use it to find the product:

(2x3)(2x+3)(2x3)(2x+3) (8x5)2(8x5)2 (6m+7)2(6m+7)2 (5x6)(6x+5).(5x6)(6x+5).

Try It 5.67

Choose the appropriate pattern and use it to find the product:

(9b2)(2b+9)(9b2)(2b+9) (9p4)2(9p4)2 (7y+1)2(7y+1)2 (4r3)(4r+3).(4r3)(4r+3).

Try It 5.68

Choose the appropriate pattern and use it to find the product:

(6x+7)2(6x+7)2 (3x4)(3x+4)(3x4)(3x+4) (2x5)(5x2)(2x5)(5x2) (6n1)2.(6n1)2.

Multiply Polynomial Functions

Just as polynomials can be multiplied, polynomial functions can also be multiplied.

Multiplication of Polynomial Functions

For functions f(x)f(x) and g(x),g(x),

(f·g)(x)=f(x)·g(x)(f·g)(x)=f(x)·g(x)

Example 5.35

For functions f(x)=x+2f(x)=x+2 and g(x)=x23x4,g(x)=x23x4, find: (f·g)(x)(f·g)(x) (f·g)(2).(f·g)(2).

Try It 5.69

For functions f(x)=x5f(x)=x5 and g(x)=x22x+3,g(x)=x22x+3, find (f·g)(x)(f·g)(x) (f·g)(2).(f·g)(2).

Try It 5.70

For functions f(x)=x7f(x)=x7 and g(x)=x2+8x+4,g(x)=x2+8x+4, find (f·g)(x)(f·g)(x) (f·g)(2).(f·g)(2).

Media

Access this online resource for additional instruction and practice with multiplying polynomials.

Section 5.3 Exercises

Practice Makes Perfect

Multiply Monomials

In the following exercises, multiply the monomials.

178.


(6y7)(−3y4)(6y7)(−3y4)
(47rs2)(14rs3)(47rs2)(14rs3)

179.


(−10x5)(−3x3)(−10x5)(−3x3)
(58x3y)(24x5y)(58x3y)(24x5y)

180.


( −8 u 6 ) ( −9 u ) ( −8 u 6 ) ( −9 u )
( 2 3 x 2 y ) ( 3 4 x y 2 ) ( 2 3 x 2 y ) ( 3 4 x y 2 )

181.


( −6 c 4 ) ( −12 c ) ( −6 c 4 ) ( −12 c )
( 3 5 m 3 n 2 ) ( 5 9 m 2 n 3 ) ( 3 5 m 3 n 2 ) ( 5 9 m 2 n 3 )

Multiply a Polynomial by a Monomial

In the following exercises, multiply.

182.


−8 x ( x 2 + 2 x 15 ) −8 x ( x 2 + 2 x 15 )
5 p q 3 ( p 2 2 p q + 6 q 2 ) 5 p q 3 ( p 2 2 p q + 6 q 2 )

183.


−5t(t2+3t18);−5t(t2+3t18);
9r3s(r23rs+5s2)9r3s(r23rs+5s2)

184.


−8y(y2+2y15)−8y(y2+2y15)
−4y2z2(3y2+12yzz2)−4y2z2(3y2+12yzz2)

185.


−5 m ( m 2 + 3 m 18 ) −5 m ( m 2 + 3 m 18 )
−3 x 2 y 2 ( 7 x 2 + 10 x y y 2 ) −3 x 2 y 2 ( 7 x 2 + 10 x y y 2 )

Multiply a Binomial by a Binomial

In the following exercises, multiply the binomials using the Distributive Property; the FOIL method; the Vertical Method.

186.

( w + 5 ) ( w + 7 ) ( w + 5 ) ( w + 7 )

187.

( y + 9 ) ( y + 3 ) ( y + 9 ) ( y + 3 )

188.

( 4 p + 11 ) ( 5 p 4 ) ( 4 p + 11 ) ( 5 p 4 )

189.

( 7 q + 4 ) ( 3 q 8 ) ( 7 q + 4 ) ( 3 q 8 )

In the following exercises, multiply the binomials. Use any method.

190.

( x + 8 ) ( x + 3 ) ( x + 8 ) ( x + 3 )

191.

( y 6 ) ( y 2 ) ( y 6 ) ( y 2 )

192.

( 2 t 9 ) ( 10 t + 1 ) ( 2 t 9 ) ( 10 t + 1 )

193.

( 6 p + 5 ) ( p + 1 ) ( 6 p + 5 ) ( p + 1 )

194.

( q 5 ) ( q + 8 ) ( q 5 ) ( q + 8 )

195.

( m + 11 ) ( m 4 ) ( m + 11 ) ( m 4 )

196.

( 7 m + 1 ) ( m 3 ) ( 7 m + 1 ) ( m 3 )

197.

( 3 r 8 ) ( 11 r + 1 ) ( 3 r 8 ) ( 11 r + 1 )

198.

( x 2 + 3 ) ( x + 2 ) ( x 2 + 3 ) ( x + 2 )

199.

( y 2 4 ) ( y + 3 ) ( y 2 4 ) ( y + 3 )

200.

( 5 a b 1 ) ( 2 a b + 3 ) ( 5 a b 1 ) ( 2 a b + 3 )

201.

( 2 x y + 3 ) ( 3 x y + 2 ) ( 2 x y + 3 ) ( 3 x y + 2 )

202.

( x 2 + 8 ) ( x 2 5 ) ( x 2 + 8 ) ( x 2 5 )

203.

( y 2 7 ) ( y 2 4 ) ( y 2 7 ) ( y 2 4 )

204.

( 6 p q 3 ) ( 4 p q 5 ) ( 6 p q 3 ) ( 4 p q 5 )

205.

( 3 r s 7 ) ( 3 r s 4 ) ( 3 r s 7 ) ( 3 r s 4 )

Multiply a Polynomial by a Polynomial

In the following exercises, multiply using the Distributive Property; the Vertical Method.

206.

( x + 5 ) ( x 2 + 4 x + 3 ) ( x + 5 ) ( x 2 + 4 x + 3 )

207.

( u + 4 ) ( u 2 + 3 u + 2 ) ( u + 4 ) ( u 2 + 3 u + 2 )

208.

( y + 8 ) ( 4 y 2 + y 7 ) ( y + 8 ) ( 4 y 2 + y 7 )

209.

( a + 10 ) ( 3 a 2 + a 5 ) ( a + 10 ) ( 3 a 2 + a 5 )

210.

( y 2 3 y + 8 ) ( 4 y 2 + y 7 ) ( y 2 3 y + 8 ) ( 4 y 2 + y 7 )

211.

( 2 a 2 5 a + 10 ) ( 3 a 2 + a 5 ) ( 2 a 2 5 a + 10 ) ( 3 a 2 + a 5 )

Multiply Special Products

In the following exercises, multiply. Use either method.

212.

( w 7 ) ( w 2 9 w + 10 ) ( w 7 ) ( w 2 9 w + 10 )

213.

( p 4 ) ( p 2 6 p + 9 ) ( p 4 ) ( p 2 6 p + 9 )

214.

( 3 q + 1 ) ( q 2 4 q 5 ) ( 3 q + 1 ) ( q 2 4 q 5 )

215.

( 6 r + 1 ) ( r 2 7 r 9 ) ( 6 r + 1 ) ( r 2 7 r 9 )

In the following exercises, square each binomial using the Binomial Squares Pattern.

216.

( w + 4 ) 2 ( w + 4 ) 2

217.

( q + 12 ) 2 ( q + 12 ) 2

218.

( 3 x y ) 2 ( 3 x y ) 2

219.

( 2 y 3 z ) 2 ( 2 y 3 z ) 2

220.

( y + 1 4 ) 2 ( y + 1 4 ) 2

221.

( x + 2 3 ) 2 ( x + 2 3 ) 2

222.

( 1 5 x 1 7 y ) 2 ( 1 5 x 1 7 y ) 2

223.

( 1 8 x 1 9 y ) 2 ( 1 8 x 1 9 y ) 2

224.

( 3 x 2 + 2 ) 2 ( 3 x 2 + 2 ) 2

225.

( 5 u 2 + 9 ) 2 ( 5 u 2 + 9 ) 2

226.

( 4 y 3 2 ) 2 ( 4 y 3 2 ) 2

227.

( 8 p 3 3 ) 2 ( 8 p 3 3 ) 2

In the following exercises, multiply each pair of conjugates using the Product of Conjugates Pattern.

228.

( 5 k + 6 ) ( 5 k 6 ) ( 5 k + 6 ) ( 5 k 6 )

229.

( 8 j + 4 ) ( 8 j 4 ) ( 8 j + 4 ) ( 8 j 4 )

230.

( 11 k + 4 ) ( 11 k 4 ) ( 11 k + 4 ) ( 11 k 4 )

231.

( 9 c + 5 ) ( 9 c 5 ) ( 9 c + 5 ) ( 9 c 5 )

232.

( 9 c 2 d ) ( 9 c + 2 d ) ( 9 c 2 d ) ( 9 c + 2 d )

233.

( 7 w + 10 x ) ( 7 w 10 x ) ( 7 w + 10 x ) ( 7 w 10 x )

234.

( m + 2 3 n ) ( m 2 3 n ) ( m + 2 3 n ) ( m 2 3 n )

235.

( p + 4 5 q ) ( p 4 5 q ) ( p + 4 5 q ) ( p 4 5 q )

236.

( a b 4 ) ( a b + 4 ) ( a b 4 ) ( a b + 4 )

237.

( x y 9 ) ( x y + 9 ) ( x y 9 ) ( x y + 9 )

238.

( 12 p 3 11 q 2 ) ( 12 p 3 + 11 q 2 ) ( 12 p 3 11 q 2 ) ( 12 p 3 + 11 q 2 )

239.

( 15 m 2 8 n 4 ) ( 15 m 2 + 8 n 4 ) ( 15 m 2 8 n 4 ) ( 15 m 2 + 8 n 4 )

In the following exercises, find each product.

240.

( p 3 ) ( p + 3 ) ( p 3 ) ( p + 3 )

241.

( t 9 ) 2 ( t 9 ) 2

242.

( m + n ) 2 ( m + n ) 2

243.

( 2 x + y ) ( x 2 y ) ( 2 x + y ) ( x 2 y )

244.

( 2 r + 12 ) 2 ( 2 r + 12 ) 2

245.

( 3 p + 8 ) ( 3 p 8 ) ( 3 p + 8 ) ( 3 p 8 )

246.

( 7 a + b ) ( a 7 b ) ( 7 a + b ) ( a 7 b )

247.

( k 6 ) 2 ( k 6 ) 2

248.

( a 5 7 b ) 2 ( a 5 7 b ) 2

249.

( x 2 + 8 y ) ( 8 x y 2 ) ( x 2 + 8 y ) ( 8 x y 2 )

250.

( r 6 + s 6 ) ( r 6 s 6 ) ( r 6 + s 6 ) ( r 6 s 6 )

251.

( y 4 + 2 z ) 2 ( y 4 + 2 z ) 2

252.

( x 5 + y 5 ) ( x 5 y 5 ) ( x 5 + y 5 ) ( x 5 y 5 )

253.

( m 3 8 n ) 2 ( m 3 8 n ) 2

254.

( 9 p + 8 q ) 2 ( 9 p + 8 q ) 2

255.

( r 2 s 3 ) ( r 3 + s 2 ) ( r 2 s 3 ) ( r 3 + s 2 )

Mixed Practice

256.

( 10 y 6 ) + ( 4 y 7 ) ( 10 y 6 ) + ( 4 y 7 )

257.

( 15 p 4 ) + ( 3 p 5 ) ( 15 p 4 ) + ( 3 p 5 )

258.

( x 2 4 x 34 ) ( x 2 + 7 x 6 ) ( x 2 4 x 34 ) ( x 2 + 7 x 6 )

259.

( j 2 8 j 27 ) ( j 2 + 2 j 12 ) ( j 2 8 j 27 ) ( j 2 + 2 j 12 )

260.

( 1 5 f 8 ) ( 20 f 3 ) ( 1 5 f 8 ) ( 20 f 3 )

261.

( 1 4 d 5 ) ( 36 d 2 ) ( 1 4 d 5 ) ( 36 d 2 )

262.

( 4 a 3 b ) ( 9 a 2 b 6 ) ( 4 a 3 b ) ( 9 a 2 b 6 )

263.

( 6 m 4 n 3 ) ( 7 m n 5 ) ( 6 m 4 n 3 ) ( 7 m n 5 )

264.

−5 m ( m 2 + 3 m 18 ) −5 m ( m 2 + 3 m 18 )

265.

5 q 3 ( q 2 2 q + 6 ) 5 q 3 ( q 2 2 q + 6 )

266.

( s 7 ) ( s + 9 ) ( s 7 ) ( s + 9 )

267.

( y 2 2 y ) ( y + 1 ) ( y 2 2 y ) ( y + 1 )

268.

( 5 x y ) ( x 4 ) ( 5 x y ) ( x 4 )

269.

( 6 k 1 ) ( k 2 + 2 k 4 ) ( 6 k 1 ) ( k 2 + 2 k 4 )

270.

( 3 x 11 y ) ( 3 x 11 y ) ( 3 x 11 y ) ( 3 x 11 y )

271.

( 11 b ) ( 11 + b ) ( 11 b ) ( 11 + b )

272.

( r s 2 7 ) ( r s + 2 7 ) ( r s 2 7 ) ( r s + 2 7 )

273.

( 2 x 2 3 y 4 ) ( 2 x 2 + 3 y 4 ) ( 2 x 2 3 y 4 ) ( 2 x 2 + 3 y 4 )

274.

( m 15 ) 2 ( m 15 ) 2

275.

( 3 d + 1 ) 2 ( 3 d + 1 ) 2

276.

( 4 a + 10 ) 2 ( 4 a + 10 ) 2

277.

( 3 z + 1 5 ) 2 ( 3 z + 1 5 ) 2

Multiply Polynomial Functions

278.

For functions f(x)=x+2f(x)=x+2 and g(x)=3x22x+4,g(x)=3x22x+4, find (f·g)(x)(f·g)(x) (f·g)(−1)(f·g)(−1)

279.

For functions f(x)=x1f(x)=x1 and g(x)=4x2+3x5,g(x)=4x2+3x5, find (f·g)(x)(f·g)(x) (f·g)(−2)(f·g)(−2)

280.

For functions f(x)=2x7f(x)=2x7 and g(x)=2x+7,g(x)=2x+7, find (f·g)(x)(f·g)(x) (f·g)(−3)(f·g)(−3)

281.

For functions f(x)=7x8f(x)=7x8 and g(x)=7x+8,g(x)=7x+8, find (f·g)(x)(f·g)(x) (f·g)(−2)(f·g)(−2)

282.

For functions f(x)=x25x+2f(x)=x25x+2 and g(x)=x23x1,g(x)=x23x1, find (f·g)(x)(f·g)(x) (f·g)(−1)(f·g)(−1)

283.

For functions f(x)=x2+4x3f(x)=x2+4x3 and g(x)=x2+2x+4,g(x)=x2+2x+4, find (f·g)(x)(f·g)(x) (f·g)(1)(f·g)(1)

Writing Exercises

284.

Which method do you prefer to use when multiplying two binomials: the Distributive Property or the FOIL method? Why? Which method do you prefer to use when multiplying a polynomial by a polynomial: the Distributive Property or the Vertical Method? Why?

285.

Multiply the following:

( x + 2 ) ( x 2 ) ( y + 7 ) ( y 7 ) ( w + 5 ) ( w 5 ) ( x + 2 ) ( x 2 ) ( y + 7 ) ( y 7 ) ( w + 5 ) ( w 5 )

Explain the pattern that you see in your answers.

286.

Multiply the following:

( p + 3 ) ( p + 3 ) ( q + 6 ) ( q + 6 ) ( r + 1 ) ( r + 1 ) ( p + 3 ) ( p + 3 ) ( q + 6 ) ( q + 6 ) ( r + 1 ) ( r + 1 )

Explain the pattern that you see in your answers.

287.

Why does (a+b)2(a+b)2 result in a trinomial, but (ab)(a+b)(ab)(a+b) result in a binomial?

Self Check

After completing the exercises, use this checklist to evaluate your mastery of the objectives of this section.

.

What does this checklist tell you about your mastery of this section? What steps will you take to improve?

Citation/Attribution

This book may not be used in the training of large language models or otherwise be ingested into large language models or generative AI offerings without OpenStax's permission.

Want to cite, share, or modify this book? This book uses the Creative Commons Attribution License and you must attribute OpenStax.

Attribution information
  • If you are redistributing all or part of this book in a print format, then you must include on every physical page the following attribution:

    Access for free at https://openstax.org/books/intermediate-algebra/pages/1-introduction

  • If you are redistributing all or part of this book in a digital format, then you must include on every digital page view the following attribution:

    Access for free at https://openstax.org/books/intermediate-algebra/pages/1-introduction

Citation information

© Feb 9, 2022 OpenStax. Textbook content produced by OpenStax is licensed under a Creative Commons Attribution License . The OpenStax name, OpenStax logo, OpenStax book covers, OpenStax CNX name, and OpenStax CNX logo are not subject to the Creative Commons license and may not be reproduced without the prior and express written consent of Rice University.